Skip to main content

Nucleus of solitary tract mediates cardiac sympathetic afferent reflex in rats

Abstract

This study is to determine whether the nucleus of solitary tract (NTS) is an important component of the central neurocircuitry of the cardiac sympathetic afferent reflex (CSAR) and whether the γ-aminobutyric acid (GABA) in the NTS modulates the CSAR. Renal sympathetic nerve activity (RSNA) and mean arterial pressure (MAP) were recorded in sinoaortic-denervated and cervical-vagotomized anesthetized rats. The CSAR was evaluated by the RSNA response to epicardial application of capsaicin. The NTS microinjection of lidocaine or NTS electrolytic lesion inhibited the CSAR without significant effect on the RSNA and MAP. Selective lesion of the neuronal perikarya in NTS with kainic acid inhibited the CSAR and induced rapid decreases in RSNA and MAP followed by a slight increase in MAP. The NTS microinjection of GABAA receptor agonist isoguvacine or GABAB receptor agonist baclofen enhanced the CSAR, and increased the RSNA and MAP. GABAA receptor antagonist gabazine or GABAB receptor antagonist CGP-35348 attenuated the CSAR, and decreased the RSNA and MAP. The effects of isoguvacine and baclofen were abolished by the pretreatment with gabazine and CGP-35348, respectively. Nine days after iontophoretic injection of biotin-dextran (a retrograde tracer) into the dorsal horn of upper thoracic spinal cord, biotin-dextran-labeled terminations were found in the vicinity of glutamic acid decarboxylase (a marker for GABA neurons) staining neurons. The results indicate that the NTS is an important component of the central neurocircuitry of the CSAR. Both GABAA and GABAB receptors in NTS modulate the CSAR and these receptors play a tonic role in enhancing the CSAR.

This is a preview of subscription content, access via your institution.

Fig. 1
Fig. 2
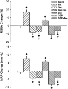
Fig. 3
Fig. 4
Fig. 5
Fig. 6
Fig. 7

References

  1. Bowery NG, Hudson AL, Price GW (1987) GABAA and GABAB receptor site distribution in the rat central nervous system. Neuroscience 20:365–383

    Article  PubMed  CAS  Google Scholar 

  2. Brown JT, Davies CH, Randall AD (2007) Synaptic activation of GABAB receptors regulates neuronal network activity and entrainment. Eur J Neurosci 25:2982–2990

    Article  PubMed  Google Scholar 

  3. Catelli JM, Giakas WJ, Sved AF (1987) GABAergic mechanisms in nucleus tractus solitarius alter blood pressure and vasopressin release. Brain Res 403:279–289

    Article  PubMed  CAS  Google Scholar 

  4. Cervero F (1994) Sensory innervation of the viscera: peripheral basis of visceral pain. Physiol Rev 74:95–138

    PubMed  CAS  Google Scholar 

  5. Chen CY, Bechtold AG, Tabor J, Bonham AC (2009) Exercise reduces GABA synaptic input onto nucleus tractus solitarii baroreceptor second-order neurons via NK1 receptor internalization in spontaneously hypertensive rats. J Neurosci 29:2754–2761

    Article  PubMed  CAS  Google Scholar 

  6. Chitravanshi VC, Sapru HN (1995) Chemoreceptor-sensitive neurons in commissural subnucleus of nucleus tractus solitarius of the rat. Am J Physiol 268:R851–R858

    PubMed  CAS  Google Scholar 

  7. Coyle JT (1987) Kainic acid: insights into excitatory mechanisms causing selective neuronal degeneration. Ciba Found Symp 126:186–203

    PubMed  CAS  Google Scholar 

  8. Dietrich WD, Lowry OH, Loewy AD (1982) The distribution of glutamate, GABA and aspartate in the nucleus tractus solitarius of the cat. Brain Res 237:254–260

    Article  PubMed  CAS  Google Scholar 

  9. Du YH, Chen AF (2007) A “love triangle” elicited by electrochemistry: complex interactions among cardiac sympathetic afferent, chemo-, and baroreflexes. J Appl Physiol 102:9–10

    Article  PubMed  CAS  Google Scholar 

  10. Fernandes KB, Tavares RF, Pelosi GG, Correa FM (2007) The paraventricular nucleus of hypothalamus mediates the pressor response to noradrenergic stimulation of the medial prefrontal cortex in unanesthetized rats. Neurosci Lett 426:101–105

    Article  PubMed  CAS  Google Scholar 

  11. Guo ZL, Lai HC, Longhurst JC (2002) Medullary pathways involved in cardiac sympathoexcitatory reflexes in the cat. Brain Res 925:55–66

    Article  PubMed  CAS  Google Scholar 

  12. Han Y, Zhang Y, Wang HJ, Gao XY, Wang W, Zhu GQ (2005) Reactive oxygen species in paraventricular nucleus modulates cardiac sympathetic afferent reflex in rats. Brain Res 1058:82–90

    Article  PubMed  CAS  Google Scholar 

  13. Hua F, Harrison T, Qin C, Reifsteck A, Ricketts B, Carnel C, Williams CA (2004) c-Fos expression in rat brain stem and spinal cord in response to activation of cardiac ischemia-sensitive afferent neurons and electrostimulatory modulation. Am J Physiol Heart Circ Physiol 287:H2728–H2738

    Article  PubMed  CAS  Google Scholar 

  14. Izzo PN, Sykes RM, Spyer KM (1992) gamma-Aminobutyric acid immunoreactive structures in the nucleus tractus solitarius: a light and electron microscopic study. Brain Res 591:69–78

    Article  PubMed  CAS  Google Scholar 

  15. Kannan H, Yamashita H (1985) Connections of neurons in the region of the nucleus tractus solitarius with the hypothalamic paraventricular nucleus: their possible involvement in neural control of the cardiovascular system in rats. Brain Res 329:205–212

    Article  PubMed  CAS  Google Scholar 

  16. Kuo DC, Oravitz JJ, DeGroat WC (1984) Tracing of afferent and efferent pathways in the left inferior cardiac nerve of the cat using retrograde and transganglionic transport of horseradish peroxidase. Brain Res 321:111–118

    Article  PubMed  CAS  Google Scholar 

  17. Li DP, Averill DB, Pan HL (2001) Differential roles for glutamate receptor subtypes within commissural NTS in cardiac-sympathetic reflex. Am J Physiol Regul Integr Comp Physiol 281:R935–R943

    PubMed  CAS  Google Scholar 

  18. Liu Y, Broman J, Zhang M, Edvinsson L (2009) Brainstem and thalamic projections from a craniovascular sensory nervous centre in the rostral cervical spinal dorsal horn of rats. Cephalalgia. doi:10.1111/j.1468-2982.2008.01829.x

    Google Scholar 

  19. Malliani A, Montano N (2002) Emerging excitatory role of cardiovascular sympathetic afferents in pathophysiological conditions. Hypertension 39:63–68

    Article  PubMed  CAS  Google Scholar 

  20. Metzner W, Juranek J (1997) A method to biotinylate and histochemically visualize ibotenic acid for pharmacological inactivation studies. J Neurosci Methods 76:143–150

    Article  PubMed  CAS  Google Scholar 

  21. Olazabal DE, Ferreira A (1997) Maternal behavior in rats with kainic acid-induced lesions of the hypothalamic paraventricular nucleus. Physiol Behav 61:779–784

    Article  PubMed  CAS  Google Scholar 

  22. Paxinos G, Watson C (2005) The rat brain in stereotaxic coordinates, 4th edn. Elsevier, San Diego

    Google Scholar 

  23. Ricardo JA, Koh ET (1978) Anatomical evidence of direct projections from the nucleus of the solitary tract to the hypothalamus, amygdala, and other forebrain structures in the rat. Brain Res 153:1–26

    Article  PubMed  CAS  Google Scholar 

  24. Saha S, Sieghart W, Fritschy JM, Mcwilliam PN, Batten TF (2001) Gamma-aminobutyric acid receptor (GABAA) subunits in rat nucleus tractus solitarii (NTS) revealed by polymerase chain reaction (PCR) and immunohistochemistry. Mol Cell Neurosci 17:241–257

    Article  PubMed  CAS  Google Scholar 

  25. Sandkuhler J, Maisch B, Zimmermann M (1987) The use of local anaesthetic microinjections to identify central pathways: a quantitative evaluation of the time course and extent of the neuronal block. Exp Brain Res 68:168–178

    Article  PubMed  CAS  Google Scholar 

  26. Schreihofer AM, Sved AF (1992) Nucleus tractus solitarius and control of blood pressure in chronic sinoaortic denervated rats. Am J Physiol 263:R258–R266

    PubMed  CAS  Google Scholar 

  27. Serafini R, Ma W, Maric D, Maric I, Lahjouji F, Sieghart W, Barker JL (1998) Initially expressed early rat embryonic GABAA receptor Cl- ion channels exhibit heterogeneous channel properties. Eur J Neurosci 10:1771–1783

    Article  PubMed  CAS  Google Scholar 

  28. Shi Z, Chen AD, Xu Y, Chen Q, Gao XY, Wang W, Zhu GQ (2009) Long-term administration of tempol attenuates postinfarct ventricular dysfunction and sympathetic activity in rats. Pflugers Arch 945:785–794

    Google Scholar 

  29. Siemers ER, Rea MA, Felten DL, Aprison MH (1982) Distribution and uptake of glycine, glutamate and gamma-aminobutyric acid in the vagal nuclei and eight other regions of the rat medulla oblongata. Neurochem Res 7:455–468

    Article  PubMed  CAS  Google Scholar 

  30. Sved AF, Sved JC (1990) Endogenous GABA acts on GABAB receptors in nucleus tractus solitarius to increase blood pressure. Brain Res 526:235–240

    Article  PubMed  CAS  Google Scholar 

  31. Swanson LW, Sawchenko PE (1983) Hypothalamic integration: organization of the paraventricular and supraoptic nuclei. Annu Rev Neurosci 6:269–324

    Article  PubMed  CAS  Google Scholar 

  32. Tafoya LC, Mameli M, Miyashita T, Guzowski JF, Valenzuela CF, Wilson MC (2006) Expression and function of SNAP-25 as a universal SNARE component in GABAergic neurons. J Neurosci 26:7826–7838

    Article  PubMed  CAS  Google Scholar 

  33. Tjen AL, Bonham A, Longhurst J (1997) Interactions between sympathetic and vagal cardiac afferents in nucleus tractus solitarii. Am J Physiol 272:H2843–H2851

    Google Scholar 

  34. Wang HJ, Zhang F, Zhang Y, Gao XY, Wang W, Zhu GQ (2005) AT1 receptor in paraventricular nucleus mediates the enhanced cardiac sympathetic afferent reflex in rats with chronic heart failure. Auton Neurosci 121:56–63

    Article  PubMed  CAS  Google Scholar 

  35. Wang W, Ma R (2000) Cardiac sympathetic afferent reflexes in heart failure. Heart Fail Rev 5:57–71

    Article  PubMed  CAS  Google Scholar 

  36. Wang WZ, Gao L, Pan YX, Zucker IH, Wang W (2006) Differential effects of cardiac sympathetic afferent stimulation on neurons in the nucleus tractus solitarius. Neurosci Lett 409:146–150

    Article  PubMed  CAS  Google Scholar 

  37. Wang WZ, Gao L, Pan YX, Zucker IH, Wang W (2007) AT1 receptors in the nucleus tractus solitarii mediate the interaction between the baroreflex and the cardiac sympathetic afferent reflex in anesthetized rats. Am J Physiol Regul Integr Comp Physiol 292:R1137–R1145

    PubMed  CAS  Google Scholar 

  38. Wang WZ, Gao L, Wang HJ, Zucker IH, Wang W (2008) Interaction between cardiac sympathetic afferent reflex and chemoreflex is mediated by the NTS AT1 receptors in heart failure. Am J Physiol Heart Circ Physiol 295:H1216–H1226

    Article  PubMed  CAS  Google Scholar 

  39. Xie Q, Itoh M, Miyamoto K, Li L, Takeuchi Y (1999) Cardiac afferents to the nucleus of the tractus solitarius: a WGA-HRP study in the rat. Ann Thorac Cardiovasc Surg 5:370–375

    PubMed  CAS  Google Scholar 

  40. Yu Y, Zhong MK, Li J, Sun XL, Xie GQ, Wang W, Zhu GQ (2007) Endogenous hydrogen peroxide in paraventricular nucleus mediating cardiac sympathetic afferent reflex and regulating sympathetic activity. Pflugers Arch 454:551–557

    Article  PubMed  CAS  Google Scholar 

  41. Zhong MK, Duan YC, Chen AD, Xu B, Gao XY, De W, Zhu GQ (2008) Paraventricular nucleus is involved in the central pathway of cardiac sympathetic afferent reflex in rats. Exp Physiol 93:746–753

    Article  PubMed  Google Scholar 

  42. Zhong MK, Shi Z, Zhou LM, Gao J, Liao ZH, Wang W, Gao XY, Zhu GQ (2008) Regulation of cardiac sympathetic afferent reflex by GABAA and GABAB receptors in paraventricular nucleus in rats. Eur J Neurosci 27:3226–3232

    Article  PubMed  Google Scholar 

  43. Zhu GQ, Gao L, Li Y, Patel KP, Zucker IH, Wang W (2004) AT1 receptor mRNA antisense normalizes enhanced cardiac sympathetic afferent reflex in rats with chronic heart failure. Am J Physiol Heart Circ Physiol 287:H1828–H1835

    Article  PubMed  CAS  Google Scholar 

Download references

Acknowledgement

The present study was supported by Chinese National Natural Science Fund (30670768 and 30870908) and Jiangsu Qinglan Project.

Author information

Affiliations

Authors

Corresponding author

Correspondence to Guo-Qing Zhu.

Rights and permissions

Reprints and Permissions

About this article

Cite this article

Duan, YC., Xu, B., Shi, Z. et al. Nucleus of solitary tract mediates cardiac sympathetic afferent reflex in rats. Pflugers Arch - Eur J Physiol 459, 1 (2009). https://doi.org/10.1007/s00424-009-0699-2

Download citation

  • Received:

  • Revised:

  • Accepted:

  • Published:

  • DOI: https://doi.org/10.1007/s00424-009-0699-2

Keywords

  • Nucleus of solitary tract
  • GABA receptor
  • Cardiovascular reflex
  • Sympathetic activity
  • Blood pressure