Skip to main content

Differentiated thick ascending limb (TAL) cultured cells derived from SV40 transgenic mice express functional apical NHE2 isoform: effect of nitric oxide

Abstract

Studying the apical Na/H exchanger NHE2 is difficult in the intact thick ascending limb (TAL) because of its weak expression and transport activity compared with the co-expressed NHE3. From a mouse transgenic for a recombinant plasmid adeno-SV40 (PK4), we developed an immortalized TAL cell line, referred to as MKTAL, which selectively expresses NHE2 protein and activity. The immortalized cells retain the main properties of TAL cells. They have a stable homogeneous epithelial-like phenotype, express SV40 T antigen and exhibit polarity with an apical domain bearing few microvilli and separated from lateral domains by typical epithelial-type junctional complexes expressing ZO1 protein. Tamm-Horsfall protein is present on the apical membrane. MKTAL cells express NHE2 and NHE1 proteins but not NHE3 and NHE4, whereby NHE2 protein is expressed selectively in the apical domain of the plasma membrane. NHE2 contributed about half of the total Na/H exchange activity. mRNAs for the Na-K-2Cl cotransporter-2 (NKCC2) and the anion exchangers AE2 and AE3 were also present. While acute exposure to NO donors did not alter NHE2 activity, chronic exposure inhibited NHE2 activity selectively and down-regulated NHE2 mRNA abundance. In conclusion, MKTAL cells retain structural and functional properties of their in vivo TAL counterparts and express functional NHE2 protein in the apical membrane, which may be inhibited by NO. Thus, MKTAL cells may be an appropriate model for studying the cellular mechanisms of NHE2 regulation.

This is a preview of subscription content, access via your institution.

Fig. 1A, B.
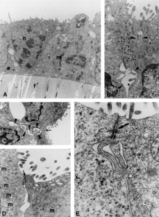
Fig. 2A–E.
Fig. 3A, B.
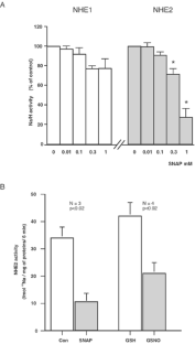
Fig. 4A, B.
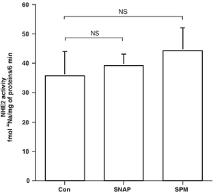
Fig. 5A–E.
Fig. 6.
Fig. 7.
Fig. 8.
Fig. 9A, B.
Fig. 10A, B.

References

  1. Altschul SF, Madden TL, Schaffer AA, Zhang J, Zhang Z, Miller W, Lipman DJ (1997) Gapped BLAST and PSI-BLAST: a new generation of protein database search programs. Nucleic Acids Res 25:3389–3402

    PubMed  Google Scholar 

  2. Amemiya M, Loffing J, Lotscher M, Kaissling B, Alpern RJ, Moe OW (1995) Expression of NHE-3 in the apical membrane of rat renal proximal tubule and thick ascending limb. Kidney Int 48:1206–1215

    CAS  PubMed  Google Scholar 

  3. Borensztein P, Froissart M, Laghmani K, Bichara M, Paillard M (1995) RT-PCR analysis of Na+/H+ exchanger mRNAs in rat medullary thick ascending limb. Am J Physiol 268:F1224–F1228

    CAS  PubMed  Google Scholar 

  4. Buc-Caron MH, Launay JM, Lamblin D, Kellermann O (1990) Serotonin uptake, storage, and synthesis in an immortalized committed cell line derived from mouse teratocarcinoma. Proc Natl Acad Sci USA 87:1922–1926

    CAS  PubMed  Google Scholar 

  5. Cavet ME, Akhter S, de Medina FS, Donowitz M, Tse CM (1999) Na+/H+ exchangers (NHE1–3) have similar turnover numbers but different percentages on the cell surface. Am J Physiol 277:C1111–C1121

    CAS  PubMed  Google Scholar 

  6. Cavet ME, Akhter S, Murtazina R, Sanchez de Medina F, Tse CM, Donowitz M (2001) Half-lives of plasma membrane Na+/H+ exchangers NHE1–3: plasma membrane NHE2 has a rapid rate of degradation. Am J Physiol 281:C2039–C2048

    CAS  Google Scholar 

  7. Chalumeau C, Lamblin D, Bourgeois S, Borensztein P, Chambrey R, Bruneval P, Duong Van Huyen JP, Biber J, Froissart M, Paillard M, Kellermann O, Poggioli J (1999) Kidney cortical cells derived from SV40 transgenic mice retain properties of polarized proximal tubule cells. Kidney Int 56:559–570

    Article  CAS  PubMed  Google Scholar 

  8. Chambrey R, Warnock DG, Podevin R-A, Bruneval P, Mandet C, Belair M-F, Bariéty J, Paillard M (1998) Immunolocalization of the Na+/H+ exchanger isoform NHE2 in rat kidney. Am J Physiol 275:F379–F386

    CAS  PubMed  Google Scholar 

  9. Chambrey R, St John P, Eladari D, Quentin F, Warnock D, Abrahamson D, Podevin R, Paillard M (2001) Localization and functional characterization of Na+/H+ exchanger isoform NHE4 in rat thick ascending limbs. Am J Physiol 281:F707–F717

    CAS  Google Scholar 

  10. Choi JY, Shah M, Lee MG, Schultheis PJ, Shull GE, Muallem S, Baum M (2000) Novel amiloride-sensitive sodium-dependant proton secretion in the mouse proximal convoluted tubule. J Clin Invest 105:1141–1146

    CAS  PubMed  Google Scholar 

  11. Counillon L, Scholz W, Lang HJ, Pouyssegur J (1993) Pharmacological characterization of stably transfected Na+/H+ antiporter isoforms using amiloride analogs and a new inhibitor exhibiting anti-ischemic properties. Mol Pharmacol 44:1041–1045

    CAS  PubMed  Google Scholar 

  12. Delpire E, Rauchman MI, Beier DR, Hebert SC, Gullans SR (1994) Molecular cloning and chromosome localization of a putative basolateral Na+-K+-2Cl cotransporter from mouse inner medullary collecting duct (mIMCD-3) cells. J Biol Chem 269:25677–25683

    CAS  PubMed  Google Scholar 

  13. Eveloff J, Haase W, Kinne R (1980) Separation of renal medullary cells: isolation of cells from the thick ascending limb of Henle's loop. J Cell Biol 87:672–681

    CAS  PubMed  Google Scholar 

  14. Garvin JL, Hong NJ (1999) Nitric oxide inhibits sodium/hydrogen exchange activity in the thick ascending limb. Am J Physiol 277:F377–F382

    CAS  PubMed  Google Scholar 

  15. Gill RK, Saksena S, Syed IA, Tyagi S, Alrefai WA, Malakooti J, Ramaswamy K, Dudeja PK (2002) Regulation of NHE3 by nitric oxide in Caco-2 cells. Am J Physiol 283:G747–G756

    CAS  Google Scholar 

  16. Good DW, George T, Watts BA III (1995) Basolateral membrane Na+/H+ exchange enhances HCO3 absorption in rat medullary thick ascending limb: evidence for functional coupling between basolateral and apical membrane Na+/H+ exchangers. Proc Natl Acad Sci USA 92:12525–12529

    CAS  PubMed  Google Scholar 

  17. Goyal S, Vanden Heuvel G, Aronson PS (2003) Renal expression of novel Na+-H+ exchanger isoform NHE8. Am J Physiol 284:F467–F473

    CAS  Google Scholar 

  18. Grinstein S, Woodside M, Sardet C, Pouyssegur J, Rotin D (1992) Activation of the Na+/H+ antiporter during cell volume regulation. Evidence for a phosphorylation-independent mechanism. J Biol Chem 267:23823–23828

    CAS  PubMed  Google Scholar 

  19. Igarashi P, Vanden Heuvel GB, Payne JA, Forbush Br (1995) Cloning, embryonic expression, and alternative splicing of a murine kidney-specific Na-K-Cl cotransporter. Am J Physiol 269:F405–F418

    CAS  PubMed  Google Scholar 

  20. Janecki AJ, Montrose MH, Zimniak P, Zweibaum A, Tse CM, Khurana S, Donowitz M (1998) Subcellular redistribution is involved in acute regulation of the brush border Na+/H+ exchanger isoform 3 in human colon adenocarcinoma cell line Caco-2. Protein kinase C-mediated inhibition of the exchanger. J Biol Chem 273:8790–8798

    Article  CAS  PubMed  Google Scholar 

  21. Janecki AJ, Montrose MH, Tse CM, de Medina FS, Zweibaum A, Donowitz M (1999) Development of an endogenous epithelial Na+/H+ exchanger (NHE3) in three clones of caco-2 cells. Am J Physiol 277:G292–G305

    CAS  PubMed  Google Scholar 

  22. Keil A, Blom IE, Goldschmeding R, Rupprecht HD (2002) Nitric oxide down-regulates connective tissue growth factor in rat mesangial cells. Kidney Int 62:401–411

    Article  CAS  PubMed  Google Scholar 

  23. Kellermann O, Kelly F (1986) Immortalization of early embryonic cell derivatives after the transfer of the early region of simian virus 40 into F9 teratocarcinoma cells. Differentiation 32:74–81

    CAS  PubMed  Google Scholar 

  24. Kellermann O, Buc-Caron MH, Gaillard J (1987) Immortalization of precursors of endodermal, neuroectodermal and mesodermal lineages, following the introduction of the simian virus (SV40) early region into F9 cells. Differentiation 35:197–205

    CAS  PubMed  Google Scholar 

  25. Kovacs G, Peti-Peterdi J, Rosivall L, Bell PD (2002) Angiotensin II directly stimulates macula densa Na-2Cl-K cotransport via apical AT(1) receptors. Am J Physiol 282: F301–F306

    Google Scholar 

  26. Laghmani K, Borensztein P, Ambühl P, Froissart M, Bichara M, Moe OW, Alpern RJ, Paillard M (1997) Chronic metabolic acidosis enhances NHE-3 protein abundance and transport activity in the rat thick ascending limb by increasing NHE-3 mRNA. J Clin Invest 99:24–30

    CAS  PubMed  Google Scholar 

  27. Laghmani K, Richer C, Borensztein P, Paillard M, Froissart M (2001) Expression of rat thick limb Na/H exchangers in potassium depletion and chronic metabolic acidosis. Kidney Int 60:1386–1396

    Article  CAS  PubMed  Google Scholar 

  28. McNicholas CM, MacGregor GG, Islas LD, Yang Y, Hebert SC, Giebisch G (1998) pH-dependent modulation of the cloned renal K+ channel, ROMK. Am J Physiol 275:F972–F981

    CAS  PubMed  Google Scholar 

  29. Noel J, Roux D, Pouyssegur J (1996) Differential localization of Na+/H+ exchanger isoforms (NHE1 and NHE3) in polarized epithelial cell lines. J Cell Sci 109:929–939

    CAS  PubMed  Google Scholar 

  30. Orlowski J (1993) Heterologous expression and functional properties of amiloride high affinity (NHE1) and low affinity (NHE3) isoforms of the rat Na/H exchanger. J Biol Chem 268:16369–16377

    CAS  PubMed  Google Scholar 

  31. Ortiz P, Hong N, Garvin J (2001) NO decreases thick ascending limb chloride absorption by reducing Na+-K+-2Cl cotransporter activity. Am J Physiol 281:F819–F825

    CAS  Google Scholar 

  32. Paillard M (1998) H+ and HCO3 transporters in the medullary thick ascending limb of the kidney: molecular mechanisms, function and regulation. Kidney Int 53 (Suppl 65):S36–S41

    Google Scholar 

  33. Peti Peterdi J, Bell P (1998) Regulation of macula densa Na:H exchange by angiotensin II. Kidney Int 54:2021–2028

    Article  PubMed  Google Scholar 

  34. Peti Peterdi J, Chambrey R, Bebok Z, Biemesderfer D, St John P, Abrahamson D, Warnock D, Bell P (2000) Macula densa Na+/H+ exchange activities mediated by apical NHE2 and basolateral NHE4 isoforms. Am J Physiol 278:F452–F463

    CAS  Google Scholar 

  35. Plato CF, Stoos BA, Wang D, Garvin JL (1999) Endogenous nitric oxide inhibits chloride transport in the thick ascending limb. Am J Physiol 276:F159–F163

    CAS  PubMed  Google Scholar 

  36. Poliard A, Nifuji A, Lamblin D, Plee E, Forest C, Kellermann O (1995) Controlled conversion of an immortalized mesodermal progenitor cell towards osteogenic, chondrogenic, or adipogenic pathways. J Cell Biol 130:1461–1472

    CAS  PubMed  Google Scholar 

  37. Preisig PA, Alpern RJ (1991) Basolateral membrane H/HCO3 transport in renal tubules. Kidney Int 39:1077–1086

    CAS  PubMed  Google Scholar 

  38. Rocha F, Musch MW, Lishanskiy L, Bookstein C, Sugi K, Xie Y, Chang EB (2001) IFN-gamma downregulates expression of Na+/H+ exchangers NHE2 and NHE3 in rat intestine and human Caco-2/bbe cells. Am J Physiol 280:C1224–C1232

    CAS  Google Scholar 

  39. Ross R, Kleinz R, Reske-Kunz AB (1995) A method for rapid generation of competitive standard molecules for RT-PCR avoiding the problem of competitor/probe cross-reaction. PCR Methods Applications 4:371–375

    CAS  Google Scholar 

  40. Sardet C, Counillon L, Franchi A, Pouysségur J (1990) Growth factors induce phosphorylation of the Na+/H+ antiporter, a glycoprotein of 110 kD. Science 247:723–726

    CAS  PubMed  Google Scholar 

  41. Schnermann J, Briggs JP, McNicholas CM, MacGregor GG, Islas LD, Yang Y, Hebert SC, Giebisch G (1999) The macula densa is worth its salt. J Clin Invest 104:1007–1009

    CAS  PubMed  Google Scholar 

  42. Scholz W, Albus U, Counillon L, Gogelein H, Lang HJ, Linz W, Weichert A, Scholkens BA (1995) Protective effects of HOE642, a selective sodium hydrogen exchange subtype 1 inhibitor, on cardiac ischaemia and reperfusion. Cardiovasc Res 29:260–268

    CAS  PubMed  Google Scholar 

  43. Schultheis PJ, Clarke LL, Meneton P, Harline M, Boivin GP, Stemmermann G, Duffy JJ, Doetschman T, Miller ML, Shull GE (1998) Targeted disruption of the murine Na+/H+ exchanger isoform 2 gene causes reduced viability of gastric parietal cells and loss of net acid secretion. J Clin Invest 101:1243–1253

    CAS  PubMed  Google Scholar 

  44. Scott DM, Zierold K, Kinne R (1986) Development of differentiated characteristics in cultured kidney (thick ascending loop of Henle) cells. Exp Cell Res 162:521–529

    CAS  PubMed  Google Scholar 

  45. Stoos BA, Naray-Fejes-Toth A, Carretero OA, Ito S, Fejes-Toth G (1991) Characterization of a mouse cortical collecting duct cell line. Kidney Int 39:1168–1175

    CAS  Google Scholar 

  46. Sun AM (1998) Expression of Cl/HCO3 exchanger in the basolateral membrane of mouse medullary thick ascending limb. Am J Physiol 274: F358–F364

    CAS  PubMed  Google Scholar 

  47. Thomson SC, Bachmann S, Bostanjoglo M, Ecelbarger CA, Peterson OW, Schwartz D, Bao D, Blantz RC (1999) Temporal adjustment of the juxtaglomerular apparatus during sustained inhibition of proximal reabsorption. J Clin Invest 104:1149–1158

    CAS  PubMed  Google Scholar 

  48. Tournois C, Mutel V, Manivet P, Launay JM, Kellermann O (1998) Cross-talk between 5-hydroxytryptamine receptors in a serotonergic cell line. Involvement of arachidonic acid metabolism. J Biol Chem 273:17498–17503

    Article  CAS  PubMed  Google Scholar 

  49. Valentich JD, Stokols MF (1986) An established cell line from mouse kidney medullary thick ascending limb. I. Cell culture techniques, morphology, and antigenic expression. Am J Physiol 251:C299–C311

    CAS  PubMed  Google Scholar 

  50. Wang T, Hropot M, Aronson P, Giebisch G (2001) Role of NHE isoforms in mediating bicarbonate reabsorption along the nephron. Am J Physiol 281:F1117–F1122

    CAS  Google Scholar 

  51. Wilcox C, Welch W, Murad F, Gross S, Taylor G, Levi R, Schmidt H (1992) Nitric oxide synthase in macula densa regulates glomerular capillary pressure. Proc Natl Acad Sci USA 89:11993–11997

    CAS  PubMed  Google Scholar 

  52. Yu FH, Shull GE, Orlowski J (1993) Functional properties of the rat Na/H exchanger NHE-2 isoform expressed in Na/H exchanger-deficient Chinese hamster ovary cells. J Biol Chem 268:25536–25541

    CAS  PubMed  Google Scholar 

Download references

Acknowledgements

Part of this work was presented in an abstract form at the 1998 and 1999 meetings of the American Society of Nephrology. We thank Dr S. Grinstein for antiNHE1 antibody, Dr O. W. Moe for antiNHE3 antibody, Dr P. Méneton for the NHE2 null mice, Dr H. L. Lang for HOECHST 642, C. Rismondo, S. Demaretz and D. Lamblin for excellent technical assistance, M. F. Belair who performed electron microscopy and P. Kitmacher for photographs.

Author information

Affiliations

Authors

Corresponding author

Correspondence to Soline Bourgeois.

Rights and permissions

Reprints and Permissions

About this article

Cite this article

Bourgeois, S., Rossignol, P., Grelac, F. et al. Differentiated thick ascending limb (TAL) cultured cells derived from SV40 transgenic mice express functional apical NHE2 isoform: effect of nitric oxide. Pflugers Arch - Eur J Physiol 446, 672–683 (2003). https://doi.org/10.1007/s00424-003-1108-x

Download citation

  • Received:

  • Revised:

  • Accepted:

  • Published:

  • Issue Date:

  • DOI: https://doi.org/10.1007/s00424-003-1108-x

Keywords

  • Kidney
  • Cell culture
  • Sodium-hydrogen antiporter
  • Ion transport
  • Nitric oxide