Skip to main content

Tumor size is a major determinant of prognosis of resected stage I hepatocellular carcinoma

Abstract

Purpose

The current American Joint Committee on Cancer (AJCC) staging system for hepatocellular carcinoma (HCC) includes all solitary tumors without vascular invasion as stage I, regardless of tumor size. The aim of this study is to determine the prognostic significance of tumor size in stage I HCC patients.

Methods

A total of 230 stage I primary HCCs were selected retrospectively. Based on univariate and multivariate analyses, clinical and pathological factors correlated with 5-year disease-free survival (DFS) and 5-year overall survival (OS) were determined.

Results

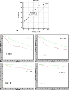
Univariate and multivariate analyses showed significant correlations of low serum α-fetoprotein levels (≤20 ng/ml), small tumor size (≤3 cm), wide resection margin (≥ 1 cm), and absence of cirrhotic liver with better DFS, while smaller tumor size, and wide resection margin with better OS. Of all the parameters, tumor size is the most statistically significant markers for DFS and OS. Interestingly, liver cirrhosis exerted prognostic significance in patients with small-size tumors, while resection margin exerted prognostic significance in patients with large-size tumors.

Conclusions

Our results indicated that tumor size is the most important determinant of DFS and OS in resected primary stage I HCC patients. Therefore, we advocate redefining solitary tumors of ≤3 cm as T1a disease and tumors >3 cm as T1b disease. This stratification of stage I HCC patients could aid in the determination of prognosis and the development of superior protocols for patient management. However, further analysis of big registry cohorts is needed to establish a common consensus.

This is a preview of subscription content, access via your institution.

Fig. 1
Fig. 2

References

  1. Schafer DF, Sorrell MF (1999) Hepatocellular carcinoma. Lancet 353(9160):1253–1257

    CAS  Article  PubMed  Google Scholar 

  2. Dong W, Zhang T, Wang ZG, Liu H (2014) Clinical outcome of small hepatocellular carcinoma after different treatments: a meta-analysis. World J Gastroenterol 20(29):10174–10182

    PubMed Central  Article  PubMed  Google Scholar 

  3. Llovet JM, Bru C, Bruix J (1999) Prognosis of hepatocellular carcinoma: the BCLC staging classification. Semin Liver Dis 19(3):329–338

    CAS  Article  PubMed  Google Scholar 

  4. Okuda K, Ohtsuki T, Obata H, Tomimatsu M, Okazaki N, Hasegawa H, Nakajima Y, Ohnishi K (1985) Natural history of hepatocellular carcinoma and prognosis in relation to treatment. Study of 850 patients. Cancer 56(4):918–928

    CAS  Article  PubMed  Google Scholar 

  5. Anonymous (1998) A new prognostic system for hepatocellular carcinoma: a retrospective study of 435 patients. The Cancer of the Liver Italian Program (CLIP) investigators. Hepatology 28(3):751–755

    Article  Google Scholar 

  6. Kudo M, Chung H, Osaki Y (2003) Prognostic staging system for hepatocellular carcinoma (CLIP score): its value and limitations, and a proposal for a new staging system, the Japan Integrated Staging Score (JIS score). J Gastroenterol 38(3):207–215

    Article  PubMed  Google Scholar 

  7. Henderson JM, Sherman M, Tavill A, Abecassis M, Chejfec G, Gramlich T (2003) AHPBA/AJCC consensus conference on staging of hepatocellular carcinoma: consensus statement. HPB (Oxford) 5(4):243–250

    CAS  Article  Google Scholar 

  8. Edge SB, Byrd DR, Compton CC, Fritz AG, Greene FL, Trotti A (eds) (2010) AJCC cancer staging manual, 7th edn. Springer, New York

    Google Scholar 

  9. Subramaniam S, Kelley RK, Venook AP (2013) A review of hepatocellular carcinoma (HCC) staging systems. Chin Clin Oncol 2(4):33. doi:10.3978/j.issn.2304-3865

    PubMed  Google Scholar 

  10. Vauthey JN, Lauwers GY, Esnaola NF, Do KA, Belghiti J, Mirza N, Curley SA, Ellis LM, Regimbeau JM, Rashid A et al (2002) Simplified staging for hepatocellular carcinoma. J Clin Oncol 20(6):1527–1536

    Article  PubMed  Google Scholar 

  11. Edmondson HA, Steiner PE (1954) Primary carcinoma of the liver: a study of 100 cases among 489,000 necropsies. Cancer 7(3):462–503

    CAS  Article  PubMed  Google Scholar 

  12. Bruix J, Sherman M (2005) Management of hepatocellular carcinoma. Hepatology 42(5):1208–1236

    Article  PubMed  Google Scholar 

  13. Kishi Y, Saiura A, Yamamoto J, Koga R, Seki M, Morimura R, Yoshioka R, Kokudo N, Yamaguchi T (2011) Repeat treatment for recurrent hepatocellular carcinoma: is it validated? Langenbeck’s Arch Surg 396(7):1093–1100

    Article  Google Scholar 

  14. Tabrizian P, Jibara G, Shrager B, Schwartz M, Roayaie S (2015) Recurrence of hepatocellular cancer after resection: patterns, treatments, and prognosis. Ann Surg 261(5):947–955

    Article  PubMed  Google Scholar 

  15. Vauthey JN, Pawlik TM, Lauwers GY, Nagorney DM, Roh MS, Curley SA, Poon RT, Belghiti J, Greene F, Michael Henderson J (2004) Critical evaluation of the different staging systems for hepatocellular carcinoma (Br J Surg 2004; 91: 400-408). Br J Surg 91(8):1072

    Article  PubMed  Google Scholar 

  16. Izumi R, Shimizu K, Ii T, Yagi M, Matsui O, Nonomura A, Miyazaki I (1994) Prognostic factors of hepatocellular carcinoma in patients undergoing hepatic resection. Gastroenterology 106(3):720–727

    CAS  PubMed  Google Scholar 

  17. Staudacher C, Chiappa A, Biella F, Audisio RA, Bertani E, Zbar AP (2000) Validation of the modified TNM-Izumi classification for hepatocellular carcinoma. Tumori 86(1):8–11

    CAS  PubMed  Google Scholar 

  18. Vauthey JN, Klimstra D, Blumgart LH (1995) A simplified staging system for hepatocellular carcinomas. Gastroenterology 108(2):617–618

    CAS  Article  PubMed  Google Scholar 

  19. Greene FL, Page DL, Fleming ID, Fritz AG, Balch CM, Haller DG, Morrow M (eds) (2002) AJCC cancer staging manual, 6th edn. Springer, New York

    Google Scholar 

  20. Chan AC, Fan ST, Poon RT, Cheung TT, Chok KS, Chan SC, Lo CM (2013) Evaluation of the seventh edition of the American Joint Committee on Cancer tumour-node-metastasis (TNM) staging system for patients undergoing curative resection of hepatocellular carcinoma: implications for the development of a refined staging system. HPB (Oxford) 15(6):439–448

    Article  Google Scholar 

  21. Minagawa M, Ikai I, Matsuyama Y, Yamaoka Y, Makuuchi M (2007) Staging of hepatocellular carcinoma: assessment of the Japanese TNM and AJCC/UICC TNM systems in a cohort of 13,772 patients in Japan. Ann Surg 245(6):909–922

    PubMed Central  Article  PubMed  Google Scholar 

  22. Chen MH, Dai Y, Yan K, Fan ZH, Yin SS, Yang W, Wu W, Wang YB, Li JY (2006) The role of contrast-enhanced ultrasound on the diagnosis of small hepatocellular carcinoma (</=3cm) in patients with cirrhosis. Hepatol Res 35(4):281–288

    Article  PubMed  Google Scholar 

  23. Ohnishi K, Nomura F, Ito S, Fujiwara K (1996) Prognosis of small hepatocellular carcinoma (less than 3 cm) after percutaneous acetic acid injection: study of 91 cases. Hepatology 23(5):994–1002

    CAS  Article  PubMed  Google Scholar 

  24. Kang TW, Kim JM, Rhim H, Lee MW, Kim YS, Lim HK, Choi D, Song KD, Kwon CH, Joh JW et al (2015) Small hepatocellular carcinoma: radiofrequency ablation versus nonanatomic resection-propensity score analyses of long-term outcomes. Radiology 275(3):908–919

    Article  PubMed  Google Scholar 

  25. Takayama T, Makuuchi M, Hirohashi S, Sakamoto M, Yamamoto J, Shimada K, Kosuge T, Okada S, Takayasu K, Yamasaki S (1998) Early hepatocellular carcinoma as an entity with a high rate of surgical cure. Hepatology 28(5):1241–1246

    CAS  Article  PubMed  Google Scholar 

  26. Roayaie S, Obeidat K, Sposito C, Mariani L, Bhoori S, Pellegrinelli A, Labow D, Llovet JM, Schwartz M, Mazzaferro V (2013) Resection of hepatocellular cancer ≤2 cm: results from two Western centers. Hepatology 57(4):1426–1435

    PubMed Central  Article  PubMed  Google Scholar 

  27. Tsai TJ, Chau GY, Lui WY, Tsay SH, King KL, Loong CC, Hsia CY, Wu CW (2000) Clinical significance of microscopic tumor venous invasion in patients with resectable hepatocellular carcinoma. Surgery 127(6):603–608

    CAS  Article  PubMed  Google Scholar 

  28. El-Assal ON, Yamanoi A, Soda Y, Yamaguchi M, Yu L, Nagasue N (1997) Proposal of invasiveness score to predict recurrence and survival after curative hepatic resection for hepatocellular carcinoma. Surgery 122(3):571–577

    CAS  Article  PubMed  Google Scholar 

  29. Tang YH, Wen TF, Chen X (2012) Resection margin in hepatectomy for hepatocellular carcinoma: a systematic review. Hepatogastroenterology 59(117):1393–1397

    PubMed  Google Scholar 

  30. Sasaki K, Matsuda M, Ohkura Y, Kawamura Y, Inoue M, Hashimoto M, Ikeda K, Kumada H, Watanabe G (2015) The influence of histological differentiation grade on the outcome of liver resection for hepatocellular carcinomas 2 cm or smaller in size. World J Surg 39(5):1134–1141

    Article  PubMed  Google Scholar 

  31. Gluer AM, Cocco N, Laurence JM, Johnston ES, Hollands MJ, Pleass HC, Richardson AJ, Lam VW (2012) Systematic review of actual 10-year survival following resection for hepatocellular carcinoma. HPB (Oxford) 14(5):285–290

    Article  Google Scholar 

  32. Chau GY, Lui WY, Tsay SH, King KL, Loong CC, Chiu JH, Wu CW, P'eng FK (1997) Prognostic significance of surgical margin in hepatocellular carcinoma resection: an analysis of 165 childs’ a patients. J Surg Oncol 66(2):122–126

    CAS  Article  PubMed  Google Scholar 

  33. Hirokawa F, Hayashi M, Miyamoto Y, Asakuma M, Shimizu T, Komeda K, Inoue Y, Uchiyama K (2014) Outcomes and predictors of microvascular invasion of solitary hepatocellular carcinoma. Hepatol Res 44(8):846–853

    CAS  Article  PubMed  Google Scholar 

  34. Shi M, Guo RP, Lin XJ, Zhang YQ, Chen MS, Zhang CQ, Lau WY, Li JQ (2007) Partial hepatectomy with wide versus narrow resection margin for solitary hepatocellular carcinoma: a prospective randomized trial. Ann Surg 245(1):36–43

    PubMed Central  Article  PubMed  Google Scholar 

  35. Sasaki K, Matsuda M, Ohkura Y, Kawamura Y, Hashimoto M, Ikeda K, Kumada H, Watanabe G (2013) Minimum resection margin should be based on tumor size in hepatectomy for hepatocellular carcinoma in hepatoviral infection patients. Hepatol Res 43(12):1295–1303

    Article  PubMed  Google Scholar 

Download references

Disclosure of commercial interest

None

Conflicts of interest

The authors declare no conflicts of interest regarding the subject of this study.

Author contributions

Study conception and design was done by WJH YMJ RHY. Acquisition of data was performed by FYBS PLL. Analysis and interpretation of data was conducted by WJH YMJ HSL RHY. Drafting of manuscript was written by WJH HSL. Critical revision of manuscript was made YMJ RHY.

Author information

Affiliations

Authors

Corresponding author

Correspondence to Ray-Hwang Yuan.

Rights and permissions

Reprints and Permissions

About this article

Verify currency and authenticity via CrossMark

Cite this article

Huang, WJ., Jeng, YM., Lai, HS. et al. Tumor size is a major determinant of prognosis of resected stage I hepatocellular carcinoma. Langenbecks Arch Surg 400, 725–734 (2015). https://doi.org/10.1007/s00423-015-1329-4

Download citation

  • Received:

  • Accepted:

  • Published:

  • Issue Date:

  • DOI: https://doi.org/10.1007/s00423-015-1329-4

Keywords

  • Tumor size
  • Disease-free survival
  • Overall survival
  • Hepatocellular carcinoma
  • Tumor staging