Abstract
Purpose
This study investigated whether regular precooling would help to maintain day-to-day training intensity and improve 20-km cycling time trial (TT) performed in the heat. Twenty males cycled for 10 day × 60 min at perceived exertion equivalent to 15 in the heat (35 °C, 50% relative humidity), preceded by no cooling (CON, n = 10) or 30-min water immersion at 22 °C (PRECOOL, n = 10).
Methods
19 participants (n = 9 and 10 for CON and PRECOOL, respectively) completed heat stress tests (25-min at 60% \({\dot{\text{V}}\text{O}}_{{{\text{2peak}}}}\) and 20-km TT) before and after heat acclimation.
Results
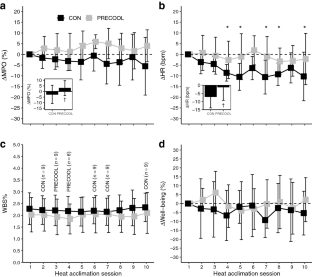
Changes in mean power output (∆MPO, P = 0.024) and heart rate (∆HR, P = 0.029) during heat acclimation were lower for CON (∆MPO − 2.6 ± 8.1%, ∆HR − 7 ± 7 bpm), compared with PRECOOL (∆MPO + 2.9 ± 6.6%, ∆HR − 1 ± 8 bpm). HR during constant-paced cycling was decreased from the pre-acclimation test in both groups (P < 0.001). Only PRECOOL demonstrated lower rectal temperature (Tre) during constant-paced cycling (P = 0.002) and lower Tre threshold for sweating (P = 0.042). However, skin perfusion and total sweat output did not change in either CON or PRECOOL (all P > 0.05). MPO (P = 0.016) and finish time (P = 0.013) for the 20-km TT were improved in PRECOOL but did not change in CON (P = 0.052 for MPO, P = 0.140 for finish time).
Conclusion
Precooling maintains day-to-day training intensity and does not appear to attenuate adaptation to training in the heat.



Abbreviations
- ∆:
-
Delta change
- CON:
-
Control
- CVC:
-
Cutaneous vascular conductance
- CWI:
-
Cold water immersion
- HR:
-
Heart rate
- LSR:
-
Local sweat rate
- MPO:
-
Mean power output
- PRECOOL:
-
Precooling
- PU:
-
Perfusion units
- RH:
-
Relative humidity
- RPE:
-
Rating of perceived exertion
- T arm :
-
Forearm skin temperature
- T ca :
-
Calf skin temperature
- T re :
-
Rectal temperature
- T sk :
-
Weighted mean skin temperature
- T st :
-
Sternal skin temperature
- TT:
-
Time trial
- T th :
-
Thigh skin temperature
- USG:
-
Urine specific gravity
- \({\dot{\text{V}}\text{O}}_{{{\text{2max}}}}\) :
-
Maximal oxygen uptake
- \({\dot{\text{V}}\text{O}}_{{{\text{2peak}}}}\) :
-
Peak oxygen uptake
- WBS:
-
Whole body sweat loss
References
Amano T, Inoue Y, Koga S, Nishiyasu T, Kondo N (2015) Influence of exercise training with thigh compression on heat-loss responses. Scand J Med Sci Sports 25:173–182
Armstrong LE, Maresh CM, Castellani JW, Bergeron MF, Kenefick RW, LaGasse KE, Riebe D (1994) Urinary indices of hydration status. Int J Sport Nutr 4:265–279
Bae J-S, Lee J-B, Matsumoto T, Othman T, Min Y-K, Yang H-M (2006) Prolonged residence of temperate natives in the tropics produces a suppression of sweating Pflügers. Archiv 453:67–72
Bongers CC, Thijssen DH, Veltmeijer MT, Hopman MT, Eijsvogels TM (2015) Precooling and percooling (cooling during exercise) both improve performance in the heat: a meta-analytical review. Br J Sports Med 49:377–384
Borg GA (1982) Psychophysical bases of perceived exertion. Med Sci Sports Exerc 14:377–381
Buono MJ, Numan TR, Claros RM, Brodine SK, Kolkhorst FW (2009) Is active sweating during heat acclimation required for improvements in peripheral sweat gland function? Am J Physiol Regul Integr Comp Physiol 297:R1082–R1085
Castle P, Mackenzie RW, Maxwell N, Webborn AD, Watt PW (2011) Heat acclimation improves intermittent sprinting in the heat but additional pre-cooling offers no further ergogenic effect. J Sports Sci 29:1125–1134
Chen T-I, Tsai P-H, Lin J-H, Lee N-Y, Liang MT (2013) Effect of short-term heat acclimation on endurance time and skin blood flow in trained athletes Open Access. J Sports Med 4:161
Cheuvront SN, Bearden SE, Kenefick RW, Ely BR, DeGroot DW, Sawka MN, Montain SJ (2009) A simple and valid method to determine thermoregulatory sweating threshold and sensitivity. J Appl Physiol 107:69–75
Choo HC, Nosaka K, Peiffer JJ, Ihsan M, Yeo CC, Abbiss CR (2016) Peripheral blood flow changes in response to post-exercise cold water immersion. Clin Physiol Funct Imaging 38:46–55
Choo HC, Nosaka K, Peiffer JJ, Ihsan M, Abbiss CR (2017) Ergogenic effects of precooling with cold water immersion and ice ingestion: a meta-analysis. Eur J Sport Sci 18:170–181
Choo HC, Peiffer JJ, Lopes-Silva JP, Mesquita RN, Amano T, Kondo N, Abbiss CR (2019) Effect of ice slushy ingestion and cold water immersion on thermoregulatory behavior. PLoS One 14:e0212966
Cohen J (1992) A power primer. Psychol Bull 112:155–159
Colin J, Timbal J, Houdas Y, Boutelier C, Guieu JD (1971) Computation of mean body temperature from rectal and skin temperatures. J Appl Physiol 31:484–489
Collins K, Crockford G, Weiner J (1966) The local training effect of secretory activity on the response of eccrine sweat glands. J Physiol 184:203–214
Foster C et al (2001) A new approach to monitoring exercise training. J Strength Cond Res 15:109–115
Fox R, Goldsmith R, Hampton I, Lewis H (1964) The nature of the increase in sweating capacity produced by heat acclimatization. J Physiol 171:368–376
Fujii N, Honda Y, Ogawa T, Tsuji B, Kondo N, Koga S, Nishiyasu T (2012) Short-term exercise-heat acclimation enhances skin vasodilation but not hyperthermic hyperpnea in humans exercising in a hot environment. Eur J Appl Physiol 112:295–307
Garrett AT, Goosens NG, Rehrer NG, Patterson MJ, Cotter JD (2009) Induction and decay of short-term heat acclimation. Eur J Appl Physiol 107:659–670
Garrett AT, Creasy R, Rehrer NJ, Patterson MJ, Cotter JD (2012) Effectiveness of short-term heat acclimation for highly trained athletes. Eur J Appl Physiol 112:1827–1837
Heathcote SL, Hassmén P, Zhou S, Stevens CJ (2018) Passive heating: reviewing practical heat acclimation strategies for endurance athletes. Front Physiol 9:1851
Ihsan M, Watson G, Abbiss CR (2016) What are the physiological mechanisms for post-exercise cold water immersion in the recovery from prolonged endurance and intermittent exercise? Sports Med 46:1095–1109
Ihsan M, Tan F, Sahrom S, Choo HC, Chia M, Aziz AR (2017) Pre-game perceived wellness highly associates with match running performances during an international field hockey tournament. Eur J Sport Sci 17:593–602
Lee JK, Nio AQ, Fun DC, Teo YS, Von Chia E, Lim CL (2012) Effects of heat acclimatisation on work tolerance and thermoregulation in trained tropical natives. J Therm Biol 37:366–373
Lorenzo S, Minson CT (2010) Heat acclimation improves cutaneous vascular function and sweating in trained cyclists. J Appl Physiol 109:1736–1743
Magalhães FC et al (2010) Thermoregulatory efficiency is increased after heat acclimation in tropical natives. J Physiol Anthropol 29:1–12
Nielsen B, Strange S, Christensen NJ, Warberg J, Saltin B (1997) Acute and adaptive responses in humans to exercise in a warm, humid environment. Pflugers Arch 434:49–56
Notley SR, Taylor EA, Ohnishi N, Taylor NA (2018) Cutaneous vasomotor adaptation following repeated, isothermal heat exposures: evidence of adaptation specificity. Appl Physiol Nutr Metab 43:415–418
Pandolf KB, Cadarette BS, Sawka MN, Young AJ, Francesconi RP, Gonzalez RR (1988) Thermoregulatory responses of middle-aged and young men during dry-heat acclimation. J Appl Physiol 65:65–71
Patterson MJ, Stocks JM, Taylor NA (2004) Humid heat acclimation does not elicit a preferential sweat redistribution toward the limbs. Am J Physiol Regul Integr Comp Physiol 286:R512–R518
Périard JD, Thompson MW, Caillaud C, Quaresima V (2013) Influence of heat stress and exercise intensity on vastus lateralis muscle and prefrontal cortex oxygenation. Eur J Appl Physiol 113:211–222
Périard JD, Travers GJ, Racinais S, Sawka MN (2016) Cardiovascular adaptations supporting human exercise-heat acclimation. Auton Neurosci 196:52–62
Poirier MP, Gagnon D, Friesen BJ, Hardcastle SG, Kenny GP (2015) Whole-body heat exchange during heat acclimation and its decay. Med Sci Sports Exerc 47:390–400
Poirier MP, Gagnon D, Kenny GP (2016) Local versus whole-body sweating adaptations following 14 days of traditional heat acclimation. Appl Physiol Nutr Metab 41:816–824
Ramanathan NL (1964) A new weighting system for mean surface temperature of the human body. J Appl Physiol 19:531–533
Reeve T, Gordon R, Laursen PB, Lee JK, Tyler CJ (2019) Impairment of cycling capacity in the heat in well-trained endurance athletes after high-intensity short-term heat acclimation. Int J Sports Physiol Perform 14(8):1058–1065
Regan JM, Macfarlane DJ, Taylor NAS (1996) An evaluation of the role of skin temperature during heat adaptation. Acta Physiol Scand 158:365–375
Saat M, Sirisinghe RG, Singh R, Tochihara Y (2005) Effects of short-term exercise in the heat on thermoregulation, blood parameters, sweat secretion and sweat composition of tropic-dwelling subjects. J Physiol Anthropol Appl Human Sci 24:541–549
Schmit C, Duffield R, Hausswirth C, Brisswalter J, Le Meur Y (2017) Optimizing heat acclimation for endurance athletes: high-vs low-intensity training. Int J Sports Physiol Perform 13(6):816–823
Schmit C, Le Meur Y, Duffield R, Robach P, Oussedik N, Coutts A, Hausswirth C (2017) Heat-acclimatization and pre-cooling: a further boost for endurance performance? Scand J Med Sci Sports 27:55–65
Skein M, Duffield R, Cannon J, Marino FE (2012) Self-paced intermittent-sprint performance and pacing strategies following respective pre-cooling and heating. Eur J Appl Physiol 112:253–266
Stanley J, Peake JM, Buchheit M (2013) Consecutive days of cold water immersion: effects on cycling performance and heart rate variability. Eur J Appl Physiol 113:371–384
Taylor NA, Cotter JD (2006) Heat adaptation: guidelines for the optimisation of human performance. Int Sportmed J 7:33–57
Tebeck ST, Buckley JD, Bellenger CR, Stanley J (2019) Differing physiological adaptations induced by dry and humid short-term heat acclimation. Int J Sports Physiol Perform 1:1–8
Tyler CJ, Reeve T, Hodges GJ, Cheung SS (2016) The effects of heat adaptation on physiology, perception and exercise performance in the heat: a meta-analysis. Sports Med 46:1699–1724
Vaile J, Halson S, Gill N, Dawson B (2008) Effect of hydrotherapy on recovery from fatigue. Int J Sports Med 29:539–544
Versey NG, Halson SL, Dawson BT (2013) Water immersion recovery for athletes: effect on exercise performance and practical recommendations. Sports Med 43:1101–1130
Wingfield GL, Gale R, Minett GM, Marino FE, Skein M (2016) The effect of high versus low intensity heat acclimation on performance and neuromuscular responses. J Therm Biol 58:50–59
Wingo JE, Low DA, Keller DM, Brothers RM, Shibasaki M, Crandall CG (2010) Skin blood flow and local temperature independently modify sweat rate during passive heat stress in humans. J Appl Physiol 109:1301–1306
Young AJ, Sawka MN, Epstein Y, DeCristofano B, Pandolf KB (1987) Cooling different body surfaces during upper and lower body exercise. J Appl Physiol 63:1218–1223
Zurawlew MJ, Walsh NP, Fortes MB, Potter C (2016) Post-exercise hot water immersion induces heat acclimation and improves endurance exercise performance in the heat. Scand J Med Sci Sports 26:745–754
Acknowledgements
The experiments were carried out at Singapore Sport Institute. The authors wish to thank all the participants for volunteering. The authors also thank Man Tong Chua, Nurul Shafiqah Binte Mohamed Saiful, and Kin Ming Chow for their assistance in data collection.
Funding
This study was funded by the School of Medical and Health Sciences, Edith Cowan University. At the time of the study was conducted, HCC was supported by the International Postgraduate Research Scholarship and Edith Cowan University.
Author information
Authors and Affiliations
Contributions
Conception and design of research: HCC, CRA, JJP, and MI; acquisition of data: HCC and JWJP; formal analysis of data: HCC; interpretation of data: HCC, CRA, JJP, JWJP, ARA, and MI; writing of the original draft: HCC; review and editing of manuscript: HCC, CRA, JJP, JWJP, FHYT, MI, ARA, and JKWL; supervision of research: CRA, JJP, ARA, FHYT, and JKWL.
Corresponding author
Ethics declarations
Conflict of interest
No conflicts of interest, financial or otherwise, are declared by the authors.
Ethical approval
All procedures performed in studies involving human participants were in accordance with the ethical standards of Edith Cowan University Human Research Ethics Committee (Reference number: 15078 CHOO) and Institutional Review Board of the Singapore Sport Institute (Reference number: PH-ECP-022) and with the 1964 Helsinki Declaration and its later amendments or comparable ethical standards.
Informed consent
Informed consent was obtained from all individual participants included in the study.
Additional information
Communicated by Narihiko Kondo.
Publisher's Note
Springer Nature remains neutral with regard to jurisdictional claims in published maps and institutional affiliations.
Electronic supplementary material
Below is the link to the electronic supplementary material.
Rights and permissions
About this article
Cite this article
Choo, H.C., Peiffer, J.J., Pang, J.W.J. et al. Effect of regular precooling on adaptation to training in the heat. Eur J Appl Physiol 120, 1143–1154 (2020). https://doi.org/10.1007/s00421-020-04353-1
Received:
Accepted:
Published:
Issue Date:
DOI: https://doi.org/10.1007/s00421-020-04353-1