Abstract
Purpose
The NF-κB signaling pathway regulates multiple cellular processes following exercise stress. This study aims to examine the effects of an acute lower-body resistance exercise protocol and subsequent recovery on intramuscular NF-κB signaling.
Methods
Twenty-eight untrained males were assigned to either a control (CON; n = 11) or exercise group (EX; n = 17) and completed a lower-body resistance exercise protocol consisting of the back squat, leg press, and leg extension exercises. Skeletal muscle microbiopsies were obtained from the vastus lateralis pre-exercise (PRE), 1-hour (1H), 5-hours (5H), and 48-hours (48H) post-resistance exercise. Multiplex signaling assay kits (EMD Millipore, Billerica, MA, USA) were used to quantify the total protein (TNFR1, c-Myc) or phosphorylation status of proteins belonging to the NF-κB signaling pathway (IKKa/b, IkBα, NF-κB) using multiplex protein assay. Repeated measures ANOVA analysis was used to determine the effects of the exercise bout on intramuscular signaling at each time point. Additionally, change scores were analyzed by magnitude based inferences to determine a mechanistic interpretation.
Results
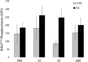
Repeated measures ANOVA indicated a trend for a two-way interaction between the EX and CON Group (p = 0.064) for c-Myc post resistance exercise. Magnitude based inference analysis suggest a “Very Likely” increase in total c-Myc from PRE-5H and a “Likely” increase in IkBα phosphorylation from PRE-5H post-resistance exercise.
Conclusion
Results indicated that c-Myc transcription factor is elevated following acute intense resistance exercise in untrained males. Future studies should examine the role that post-resistance exercise NF-κβ signaling plays in c-Myc induction, ribosome biogenesis and skeletal muscle regeneration.
This is a preview of subscription content, access via your institution.



Abbreviations
- ANOVA:
-
Analysis of variance
- CK:
-
Creatine kinase
- ELISA:
-
Enzyme-linked immunosorbent assay
- ERK1/2:
-
Extracellular-signal-regulated kinase 1 and 2
- LDH:
-
Lactate dehydrogenase
- mRNA:
-
Messenger ribonucleic acid
- MAPK:
-
Mitogen activated protein kinase
- mTOR:
-
Mammalian target of rapamycin
- NF-κB:
-
Nuclear factor kappa beta
- ROS:
-
Reactive oxygen species
- TNF-α:
-
Tumor necrosis factor alpha
References
Arabi A, Wu S, Ridderstråle K et al (2005) c-Myc associates with ribosomal DNA and activate RNA polymerase I transcription. Nat Cell Biol 7:303–310
Bakkar N, Guttridge DC (2010) NF-kappaB signaling: a tale of two pathways in skeletal myogenesis. Physiol Rev 90:495–511. doi:10.1152/physrev.00040.2009
Batterham AM, Hopkins WG (2006) Making meaningful inferences about magnitudes. Int J Sports Physiol Perform 1(1):50–57
Beck TW (2013) The importance of a priori sample size estimation in strength and conditioning research. J Strength Cond Res 27(8):2323–2337
Chaillou T, Kirby TJ, McCarthy JJ (2014) Ribosome biogenesis: emerging evidence for a central role in the regulation of skeletal muscle mass. J Cell Physiol 229:1584–1594
Coffey VG, Hawley JA (2007) The molecular bases of training adaptation. Sports Med 37(9):737–763
Coffey VG, Zhong Z, Shield A et al (2006) Early signaling responses to divergent exercise stimuli in skeletal muscle from well-trained humans. FASEB J 20(1):190–192
Constantin-Teodosiu D, Casey A, Short A, Hultman E, Greenhaff P (1996) The effect of repeated muscle biopsy sampling on ATP and glycogen resynthesis following exercise in man. Eur J Appl Physiol Occup Physiol 73:186–190
Dahlman JM, Bakkar N, He W, Guttridge DC (2010) NF-kappaB functions in stromal fibroblasts to regulate early postnatal muscle development. J Biol Chem 285:5479–5487. doi:10.1074/jbc.M109.075606
Dang CV (1999) c-Myc target genes involved in cell growth, apoptosis, and metabolism. Mol Cell Biol 19:1–11
Durham WJ, Li YP, Gerken E et al (2004) Fatiguing exercise reduces DNA binding activity of NF-kappaB in skeletal muscle nuclei. J Appl Physiol (1985) 97:1740–1745. doi:10.1152/japplphysiol.00088.2004
Gomez-Roman N, Grandori C, Eisenman RN, White RJ (2003) Direct activation of RNA polymerase III transcription by c-Myc. Nature 421:290–294
Gonzalez AM, Hoffman JR, Townsend JR et al (2015) Association between myosin heavy chain protein isoforms and intramuscular anabolic signaling following resistance exercise in trained men. Physiol Rep 3(1):e12268
Grandori C, Gomez-Roman N, Felton-Edkins ZA et al (2005) c-Myc binds to human ribosomal DNA and stimulates transcription of rRNA genes by RNA polymerase I. Nat Cell Biol 7:311–318
Green S, Salkind N, Akey T (2000) Methods for controlling type I error across multiple hypothesis tests. Using SPSS Windows Anal Underst Data 2:395–396
Hacker H, Karin M (2006) Regulation and function of IKK and IKK-related kinases. Sci Stke 357:12–14
Hayden MS, Ghosh S (2004) Signaling to NF-kappaB. Genes Dev 18:2195–2224. doi:10.1101/gad.1228704
Ho RC, Hirshman MF, Li Y et al (2005) Regulation of IkappaB kinase and NF-kappaB in contracting adult rat skeletal muscle. Am J Physiol Cell Physiol 289:C794–C801. doi:10.1152/ajpcell.00632.2004
Hoffman J (2006) Norms for fitness, performance, and health. Human Kinetics, Champaign
Hollander J, Fiebig R, Gore M, Ookawara T, Ohno H, Ji L (2001) Superoxide dismutase gene expression is activated by a single bout of exercise in rat skeletal muscle. Pfluegers Arch 442:426–434
Hopkins WG (2002) Probabilities of clinical or practical significance. Sportscience 6:201
Hopkins W (2007) A spreadsheet for deriving a confidence interval, mechanistic inference and clinical inference from ap value. Sportscience 11:16–20
Hughes K, Antonsson Å, Grundstrøm T (1998) Calmodulin dependence of NFκB activation. FEBS Lett 441:132–136
Hughes K, Edin S, Antonsson A, Grundstrom T (2001) Calmodulin-dependent kinase II mediates T cell receptor/CD3- and phorbol ester-induced activation of IkappaB kinase. J Biol Chem 276:36008–36013. doi:10.1074/jbc.M106125200
Hunter RB, Stevenson E, Koncarevic A, Mitchell-Felton H, Essig DA, Kandarian SC (2002) Activation of an alternative NF-kappaB pathway in skeletal muscle during disuse atrophy. FASEB J 16:529–538
Hyldahl RD, Xin L, Hubal MJ, Moeckel-Cole S, Chipkin S, Clarkson PM (2011) Activation of nuclear factor-kappaB following muscle eccentric contractions in humans is localized primarily to skeletal muscle-residing pericytes. FASEB J 25:2956–2966. doi:10.1096/fj.10-177105
Ji LL, Gomez-Cabrera MC, Steinhafel N, Vina J (2004) Acute exercise activates nuclear factor (NF)-kappaB signaling pathway in rat skeletal muscle. FASEB J 18:1499–1506. doi:10.1096/fj.04-1846com
Kiuchi N, Nakajima K, Ichiba M et al (1999) STAT3 is required for the gp130-mediated full activation of the c-myc gene. J Exp Med 189:63–73
Kramer HF, Goodyear LJ (2007) Exercise, MAPK, and NF-kappaB signaling in skeletal muscle. J Appl Physiol (1985) 103:388–395. doi:10.1152/japplphysiol.00085.2007
Lee J, Burckart GJ (1998) Nuclear factor kappa B: important transcription factor and therapeutic target. J Clin Pharmacol 38:981–993
Li H, Lin X (2008) Positive and negative signaling components involved in TNFα-induced NF-κB activation. Cytokine 41:1–8
Li YP, Reid MB (2000) NF-kappaB mediates the protein loss induced by TNF-alpha in differentiated skeletal muscle myotubes. Am J Physiol Regul Integr Comp Physiol 279:R1165–R1170
Mahoney DJ, Safdar A, Parise G et al (2008) Gene expression profiling in human skeletal muscle during recovery from eccentric exercise. Am J Physiol Regul Integr Comp Physiol 294:R1901–R1910. doi:10.1152/ajpregu.00847.2007
Malm C, Nyberg P, Engström M et al (2000) Immunological changes in human skeletal muscle and blood after eccentric exercise and multiple biopsies. J Physiol (Lond) 529:243–262
Malm C, Sjödin B, Sjöberg B et al (2004) Leukocytes, cytokines, growth factors and hormones in human skeletal muscle and blood after uphill or downhill running. J Physiol (Lond) 556:983–1000
Masuda M, Suzui M, Yasumatu R et al (2002) Constitutive activation of signal transducers and activators of transcription 3 correlates with cyclin D1 overexpression and may provide a novel prognostic marker in head and neck squamous cell carcinoma. Cancer Res 62:3351–3355
McKay BR, De Lisio M, Johnston AP et al (2009) Association of interleukin-6 signalling with the muscle stem cell response following muscle-lengthening contractions in humans. PLoS One 4:e6027
Mobley CB, Fox CD, Thompson RM et al (2016) Comparative effects of whey protein versus l-leucine on skeletal muscle protein synthesis and markers of ribosome biogenesis following resistance exercise. Amino Acids 48:733–750. doi:10.1007/s00726-015-2121-z
Møller AB, Vendelbo MH, Rahbek SK et al (2013) Resistance exercise, but not endurance exercise, induces IKKβ phosphorylation in human skeletal muscle of training-accustomed individuals. Pflügers Arch Eur J Physiol 465:1785–1795
Mourkioti F, Rosenthal N (2008) NF-κB signaling in skeletal muscle: prospects for intervention in muscle diseases. J Mol Med 86:747–759
Nader GA, von Walden F, Liu C et al (2014) Resistance exercise training modulates acute gene expression during human skeletal muscle hypertrophy. J Appl Physiol (1985) 116:693–702. doi:10.1152/japplphysiol.01366.2013
Peake JM, Suzuki K, Wilson G et al (2005) Exercise-induced muscle damage, plasma cytokines, and markers of neutrophil activation. Med Sci Sports Exerc 37:737–745
Pedersen BK, Toft AD (2000) Effects of exercise on lymphocytes and cytokines. Br J Sports Med 34:246–251
Powers SK, Jackson MJ (2008) Exercise-induced oxidative stress: cellular mechanisms and impact on muscle force production. Physiol Rev 88:1243–1276. doi:10.1152/physrev.00031.2007
Reid MB, Durham WJ (2002) Generation of reactive oxygen and nitrogen species in contracting skeletal muscle. Ann N Y Acad Sci 959:108–116
Schmidt EV (1999) The role of c-myc in cellular growth control. Oncogene 18:2988–2896. doi:10.1038/sj.onc.1202751
Schmitz ML, Baeuerle PA (1991) The p65 subunit is responsible for the strong transcription activating potential of NF-kappa B. EMBO J 10:3805–3817
Toft AD, Jensen LB, Bruunsgaard H et al (2002) Cytokine response to eccentric exercise in young and elderly humans. Am J Physiol Cell Physiol 283:C289–C295
Townsend JR, Hoffman JR, Fragala MS et al (2016) A microbiopsy method for immunohistological and morphological analysis: a pilot study. Med Sci Sports Exerc 48:331–335. doi:10.1249/MSS.0000000000000772
Van Riggelen J, Yetil A, Felsher DW (2010) MYC as a regulator of ribosome biogenesis and protein synthesis. Nat Rev Cancer 10:301–309
Vella L, Caldow MK, Larsen AE et al (2012) Resistance exercise increases NF-kappaB activity in human skeletal muscle. Am J Physiol Regul Integr Comp Physiol 302:R667–R673. doi:10.1152/ajpregu.00336.2011
Vissing K, McGee S, Farup J, Kjølhede T, Vendelbo M, Jessen N (2013) Differentiated mTOR but not AMPK signaling after strength vs endurance exercise in training-accustomed individuals. Scand J Med Sci Sports 23:355–366
Wei Q, Paterson BM (2001) Regulation of MyoD function in the dividing myoblast. FEBS Lett 490:171–178
Wellen KE, Hotamisligil GS (2005) Inflammation, stress, and diabetes. J Clin Invest 115:1111–1119. doi:10.1172/JCI25102
West DW, Baehr LM, Marcotte GR et al (2016) Acute resistance exercise activates rapamycin-sensitive and-insensitive mechanisms that control translational activity and capacity in skeletal muscle. J Physiol (Lond) 594:453–468
Whitelaw PF, Hesketh JE (1992) Expression of c-myc and c-fos in rat skeletal muscle. Evidence for increased levels of c-myc mRNA during hypertrophy. Biochem J 281(Pt 1):143–147
Wilson A, Murphy MJ, Oskarsson T et al (2004) c-Myc controls the balance between hematopoietic stem cell self-renewal and differentiation. Genes Dev 18:2747–2763
Xin L, Hyldahl RD, Chipkin SR, Clarkson PM (2014) A contralateral repeated bout effect attenuates induction of NF-kappaB DNA binding following eccentric exercise. J Appl Physiol (1985) 116:1473–1480. doi:10.1152/japplphysiol.00133.2013
Yamaoka S, Courtois G, Bessia C et al (1998) Complementation cloning of NEMO, a component of the IκB kinase complex essential for NF-κB activation. Cell 93:1231–1240
Yaron A, Hatzubai A, Davis M et al (1998) Identification of the receptor component of the IκBα–ubiquitin ligase. Nature 396:590–594
Yu BP (1994) Cellular defenses against damage from reactive oxygen species. Physiol Rev 74:139–162
Zaldivar F, Wang-Rodriguez J, Nemet D et al (2006) Constitutive pro-and anti-inflammatory cytokine and growth factor response to exercise in leukocytes. J Appl Physiol 100:1124–1133
Zandi E, Rothwarf DM, Delhase M, Hayakawa M, Karin M (1997) The IκB kinase complex (IKK) contains two kinase subunits, IKKα and IKKβ, necessary for IκB phosphorylation and NF-κB activation. Cell 91:243–252
Author information
Authors and Affiliations
Corresponding author
Ethics declarations
Conflict of interest
There are no conflicts of interest to report.
Funding
This study was not supported by extramural funding. We certify that this work has not previously been published/presented in any form.
Additional information
Communicated by William J. Kraemer.
Rights and permissions
About this article
Cite this article
Townsend, J.R., Stout, J.R., Jajtner, A.R. et al. Resistance exercise increases intramuscular NF-κb signaling in untrained males. Eur J Appl Physiol 116, 2103–2111 (2016). https://doi.org/10.1007/s00421-016-3463-2
Received:
Accepted:
Published:
Issue Date:
DOI: https://doi.org/10.1007/s00421-016-3463-2
Keywords
- Ribosome biogenesis
- Immune function
- Recovery
- Muscle damage