Skip to main content

Finger skin temperatures in 8- to 11-year-old children: determinants including physical characteristics and seasonal variation. The Physical Activity and Nutrition in Children (PANIC) Study

Abstract

Purpose

The fingertip skin temperature (FST) reflects skin blood flow, and FST measurement has been suggested for the investigation of vascular responses. As a limitation, the multifactorial nature and the seasonal variation in measured values have been earlier described in adults but not in children. In the present study, we identify the modifiers of FST in a population sample of Finnish children.

Methods

FST was measured in children (age range 8–11 years, n = 432) with infrared thermometer, and its possible determinants including the subjects’ physical characteristics and seasonal variables, such as daylight time and outdoor temperature, were identified.

Results

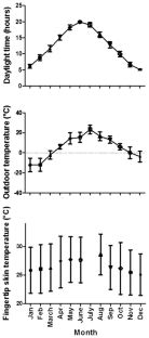
In univariate regression models, FST was dependent on the sex, age and anthropometric characteristics of the children with the higher body fat content-related variables and a lower surface area-to-mass ratio as strongest single modifiers of FST. There was interaction between sex and puberty with FST. In addition, FST was directly related to daylight time and outdoor temperature although the children had stayed inside for at least 2 h before the measurements. The FST values were lowest in the winter and highest in the summer. In multivariate regression model, main determinants of FST were a higher body fat percentage (standardized regression coefficient β = 0.472; p < 0.001), male sex (β = 0.291; p < 0.001) and longer daylight time (0.226; p < 0.001).

Conclusions

Altogether, complex effects of body composition and sex with the confounding effect of seasonal variation may complicate the use of FST as a tool to study the vascular function in children.

This is a preview of subscription content, access via your institution.

Fig. 1
Fig. 2
Fig. 3
Fig. 4

Abbreviations

FST:

Fingertip skin temperature

SDS:

Standard deviation scores

References

  • Chamberlain JM, Terndrup TE, Alexander DT, Silverstone FA, Wolf-Klein G, O’Donnell R, Grandner J (1995) Determination of normal ear temperature with an infrared emission detection thermometer. Ann Emerg Med 25:15–20

    PubMed  Article  CAS  Google Scholar 

  • Charkoudian N (2003) Skin blood flow in adult human thermoregulation: how it works, when it does not, and why. Mayo Clin Proc 78:603–612

    PubMed  Article  Google Scholar 

  • Charkoudian N, Johnson JM (2000) Female reproductive hormones and thermoregulatory control of skin blood flow. Exerc Sport Sci Rev 28:108–112

    PubMed  CAS  Google Scholar 

  • Chen F, Liu ZY, Holmér I (1996) Hand and finger skin temperatures in convective and contact cold exposure. Eur J Appl Physiol Occup Physiol 72:372–379

    PubMed  Article  CAS  Google Scholar 

  • Chen Y, Dangardt F, Osika W, Berggren K, Gronowitz E, Friberg P (2012) Age-and sex-related differences in vascular function and vascular response to mental stress. Longitudinal and crosssectional studies in a cohort of healthy children and adolescents. Atherosclerosis 220:269–274

    PubMed  Article  CAS  Google Scholar 

  • Cramer MN, Jay O (2014) Selecting the correct exercise intensity for unbiased comparisons of thermoregulatory responses between groups of different mass and surface area. J Appl Physiol 116:1123–1132

    PubMed  Article  Google Scholar 

  • Dulloo AG, Jacquet J (2001) An adipose-specific control of thermogenesis in body weight regulation. Int J Obes Relat Metab Disord 2:S22–S29

    Article  Google Scholar 

  • Eyre EL, Duncan MJ, Birch SL, Fisher JP (2014) The influence of age and weight status on cardiac autonomic control in healthy children: a review. Auton Neurosci 186:8–21

    PubMed  Article  CAS  Google Scholar 

  • Falk B (1998) Effects of thermal stress during rest and exercise in the paediatric population. Sports Med 25:221–240

    PubMed  Article  CAS  Google Scholar 

  • Gardner-Medwin JM, Macdonald IA, Taylor JY, Riley PH, Powell RJ (2001) Seasonal differences in finger skin temperature and microvascular blood flow in healthy men and women are exaggerated in women with primary Raynaud’s phenomenon. Br J Clin Pharmacol 52:17–23

    PubMed  PubMed Central  Article  CAS  Google Scholar 

  • Gul KM, Ahmadi N, Wang Z, Jamieson C, Nasir K, Metcalfe R, Hecht HS, Hartley CJ, Naghavi M (2009) Digital thermal monitoring of vascular function: a novel tool to improve cardiovascular risk assessment. Vasc Med 14:143–148

    PubMed  PubMed Central  Article  Google Scholar 

  • Haapala EA, Poikkeus A-M, Tompuri T, Kukkonen-Harjula K, Leppänen PHT, Lindi V, Lakka TA (2014) Associations of motor and cardiovascular performance with academic skills in children. Med Sci Sports Exerc 46:1016–1024

    PubMed  Article  Google Scholar 

  • Harada N, Iwamoto M, Laskar MS, Hirosawa I, Nakamoto M, Shirono S, Wakui T (1998) Effects of room temperature, seasonal condition and food intake on finger skin temperature during cold exposure test for diagnosing hand-arm vibration syndrome. Ind Health 36:166–170

    PubMed  Article  CAS  Google Scholar 

  • Heldmaier G, Steinlechner S, Ruf T, Wiesinger H, Klingenspor M (1989) Photoperiod and thermoregulation in vertebrates: body temperature rhythms and thermogenic acclimation. J Biol Rhythms 4:251–265

    PubMed  Article  CAS  Google Scholar 

  • Inoue Y, Nakamura S, Yonehiro K, Kuwahara T, Ueda H, Araki T (2006) Regional differences in peripheral vasoconstriction of prepubertal boys. Eur J Appl Physiol 96:397–403

    PubMed  Article  Google Scholar 

  • Kim H, Richardson C, Roberts J, Gren L, Lyon JL (1998) Cold hands, warm heart. Lancet 351:1492

    PubMed  Article  CAS  Google Scholar 

  • Kolosovas-Machuca ES, González FJ (2011) Distribution of skin temperature in Mexican children. Skin Res Technol 17:326–331

    PubMed  Article  Google Scholar 

  • Krogstad AL, Elam M, Karlsson T, Wallin BG (1995) Arteriovenous anastomoses and the thermoregulatory shift between cutaneous vasoconstrictor and vasodilator reflexes. J Auton Nerv Sys 53:215–222

    Article  CAS  Google Scholar 

  • LeBlanc J (1954) Subcutaneous fat and skin temperature. Can J Biochem Physiol 32:354–358

    PubMed  Article  CAS  Google Scholar 

  • LeBlanc J, Ducharme MB, Pasto L, Thompson M (2003) Response to thermal stress and personality. Physiol Behav 80:69–74

    PubMed  Article  CAS  Google Scholar 

  • Ley O, Dhindsa M, Sommerlad SM, Barnes JN, Devan AE, Naghavi M, Tanaka H (2011) Use of temperature alterations to characterize vascular reactivity. Clin Physiol Funct Imaging 31:66–72

    PubMed  Article  Google Scholar 

  • Livingston SD, Nolan RW, Frim J, Reed LD, Limmer RE (1987) A thermographic study of the effect of body composition and ambient temperature on the accuracy of mean skin temperature calculations. Eur J Appl Physiol Occup Physiol 56:120–125

    PubMed  Article  CAS  Google Scholar 

  • Lossius K, Eriksen M, Walløe L (1993) Fluctuations in blood flow to acral skin in humans: connection with heart rate and blood pressure variability. J Physiol 460:641–655

    PubMed  PubMed Central  Article  CAS  Google Scholar 

  • Mäkinen TM, Pääkkönen T, Palinkas LA, Rintamäki H, Leppäluoto J, Hassi J (2004) Seasonal changes in thermal responses of urban residents to cold exposure. Comp Biochem Physiol A: Mol Integr Physiol 139:229–238

    Article  CAS  Google Scholar 

  • Mercer JB (2003) Cold–an underrated risk factor for health. Environ Res 92:8–13

    PubMed  Article  CAS  Google Scholar 

  • Miersch A, Vogel M, Gausche R, Siekmeyer W, Pfäffle R, Dittrich K, Kiess W (2013) Influence of seasonal variation on blood pressure measurements in children, adolescents and young adults. Pediatr Nephrol 28:2343–2349

    PubMed  Article  Google Scholar 

  • Modesti PA (2013) Season, temperature and blood pressure: a complex interaction. Eur J Intern Med 24:604–607

    PubMed  Article  Google Scholar 

  • Mosteller RD (1987) Simplified calculation of body-surface area. N Engl J Med 317:1098

    PubMed  CAS  Google Scholar 

  • Näyhä S (2002) Cold and the risk of cardiovascular diseases. A review. Int J Circumpolar Health 61:373–380

    PubMed  Google Scholar 

  • Pilz S, Tomaschitz A, Ritz E, Pieber TR (2009) Vitamin D status and arterial hypertension: a systematic review. Nat Rev Cardiol 6:621–630

    PubMed  Article  CAS  Google Scholar 

  • Robinson L, Ojha S, Symonds ME, Budge H (2014) Body mass index as a determinant of brown adipose tissue function in healthy children. J Pediatr 164:318–322

    PubMed  Article  Google Scholar 

  • Rosenthal T (2004) Seasonal variations in blood pressure. Am J Geriatr Cardiol. 13:267–272

    PubMed  Article  Google Scholar 

  • Saari A, Sankilampi U, Hannila ML, Kiviniemi V, Kesseli K, Dunkel L (2011) New Finnish growth references for children and adolescents aged 0 to 20 years: length/height-for-age, weight-for-length/height, and body mass index-for-age. Ann Med 43:235–248

    PubMed  Article  Google Scholar 

  • Savastano DM, Gorbach AM, Eden HS, Brady SM, Reynolds JC, Yanovski JA (2009) Adiposity and human regional body temperature. Am J Clin Nutr 90:1124–1131

    PubMed  PubMed Central  Article  CAS  Google Scholar 

  • Schwimmer JB, Deutsch R, Rauch JB, Behling C, Newbury R, Lavine JE (2003) Obesity, insulin resistance, and other clinicopathological correlates of pediatric nonalcoholic fatty liver disease. J Pediatr 143:500–505

    PubMed  Article  Google Scholar 

  • Sessler DI (2003) Skin-temperature gradients are a validated measure of fingertip perfusion. Eur J Appl Physiol 89:401–402

    PubMed  Article  Google Scholar 

  • Tanner J (1962) Growth at adolescence. Blackwell, Oxford

    Google Scholar 

  • Taylor NA, Tipton MJ, Kenny GP (2014) Considerations for the measurement of core, skin and mean body temperatures. J Therm Biol 46:72–101

    PubMed  Article  Google Scholar 

  • Umemiya N (2006) Seasonal variations of physiological characteristics and thermal sensation under identical thermal conditions. J Physiol Anthropol 25:29–39

    PubMed  Article  Google Scholar 

  • van Ooijen AMJ, van Marken Lichtenbelt WD, Westerterp KR (2001) Individual differences in body temperature and the relation to energy expenditure: the influence of mild cold. J Therm Biol 26:455–459

    Article  Google Scholar 

  • van Ooijen AM, van Marken Lichtenbelt WD, van Steenhoven AA, Westerterp KR (2004) Seasonal changes in metabolic and temperature responses to cold air in humans. Physiol Behav 82:545–553

    PubMed  Article  CAS  Google Scholar 

  • Veijalainen A, Tompuri T, Laitinen T, Lintu N, Viitasalo A, Laaksonen DE, Jääskeläinen J, Lakka TA (2013) Metabolic risk factors are associated with stiffness index, reflection index and finger skin temperature in children–Physical Activity and Nutrition in Children (PANIC) study. Circ J 77:1281–1288

    PubMed  Article  CAS  Google Scholar 

  • Verbraecken J, Van de Heyning P, De Backer W, Van Gaal L (2006) Body surface area in normal-weight, overweight, and obese adults. A comparison study. Metabolism 55:515–524

    PubMed  CAS  Google Scholar 

  • Viitasalo A, Laaksonen DE, Lindi V, Eloranta AM, Jääskeläinen J, Tompuri T, Väisänen S, Lakka HM, Lakka TA (2012) Clustering of metabolic risk factors is associated with high-normal levels of liver enzymes among 6- to 8-year-old children: the PANIC Study. Metab Syndr Relat Disord 5:337–343

    Article  CAS  Google Scholar 

  • Wallin BG, Charkoudian N (2007) Sympathetic neural control of integrated cardiovascular function: insights from measurement of human sympathetic nerve activity. Muscle Nerve 36:595–614

    PubMed  Article  CAS  Google Scholar 

  • Widlansky ME, Vita JA, Keyes MJ, Larson MG, Hamburg NM, Levy D, Mitchell GF, Osypiuk EW, Vasan RS, Benjamin EJ (2007) Relation of season and temperature to endothelium-dependent flow-mediated vasodilation in subjects without clinical evidence of cardiovascular disease (from the Framingham Heart Study). Am J Cardiol 100:518–523

    PubMed  PubMed Central  Article  Google Scholar 

  • Wijers SL, Saris WH, van Marken Lichtenbelt WD (2010) Cold-induced adaptive thermogenesis in lean and obese. Obesity (Silver Spring) 18:1092–1099

    Article  Google Scholar 

  • Wright CI, Kroner CI, Draijer R (2006) Non-invasive methods and stimuli for evaluating the skin’s microcirculation. J Pharmacol Toxicol Methods 54:1–25

    PubMed  Article  CAS  Google Scholar 

Download references

Acknowledgments

We are grateful to all children and their parents participating in the PANIC Study. We are also indebted to the members of the PANIC research team for their skillful contribution in performing the study.

Financial support

This work was financially supported by Grants from Ministry of Social Affairs and Health of Finland, Ministry of Education and Culture of Finland, Finnish Innovation Fund Sitra, Social Insurance Institution of Finland, Finnish Cultural Foundation, Juho Vainio Foundation, Foundation for Paediatric Research, Paavo Nurmi Foundation, Diabetes Research Foundation, Research Committee of the Kuopio University Hospital Catchment Area (State Research Funding), Kuopio University Hospital (EVO funding number 5031343) and the City of Kuopio.

Author information

Affiliations

Authors

Corresponding author

Correspondence to Nina Zaproudina.

Ethics declarations

Conflict of interest

The authors declare that they have no conflict of interest.

Ethical approval

All procedures performed in studies involving human participants were in accordance with the ethical standards of the institutional and national research committees and with the 1964 Helsinki declaration and its later amendments or comparable ethical standards.

Informed consent

Informed consent was obtained from all individual participants included in the study and their parents.

Additional information

Communicated by Narihiko Kondo.

Rights and permissions

Reprints and Permissions

About this article

Verify currency and authenticity via CrossMark

Cite this article

Zaproudina, N., Närhi, M., Veijalainen, A. et al. Finger skin temperatures in 8- to 11-year-old children: determinants including physical characteristics and seasonal variation. The Physical Activity and Nutrition in Children (PANIC) Study. Eur J Appl Physiol 116, 405–413 (2016). https://doi.org/10.1007/s00421-015-3297-3

Download citation

  • Received:

  • Accepted:

  • Published:

  • Issue Date:

  • DOI: https://doi.org/10.1007/s00421-015-3297-3

Keywords

  • Children
  • Body fat content
  • Skin blood flow
  • Fingertip skin temperature
  • Seasonal variation