Skip to main content

Sex differences in muscular load among house painters performing identical work tasks

Abstract

Purpose

The present study aimed to estimate possible differences in upper body muscular load between male and female house painters performing identical work tasks. Sex-related differences in muscular load may help explain why women, in general, have more musculoskeletal complaints than men.

Methods

In a laboratory setting, 16 male and 16 female house painters performed nine standardised work tasks common to house painters. Unilateral electromyography (EMG) recordings were obtained from the supraspinatus muscle by intramuscular electrodes and from the trapezius, extensor and flexor carpi radialis muscles by surface electrodes. Relative muscular loads in %EMGmax as well as exerted force in Newton, based on ramp calibrations, were assessed. Sex differences were tested using a mixed model approach.

Results

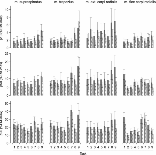
Women worked at about 50 % higher relative muscular loads than men in the supraspinatus and forearm muscles at all percentiles and in all tasks. Women exerted about 30 % less force in the trapezius muscle at the 50th percentile.

Conclusions

Female house painters had a higher relative muscular load than their male colleagues without exerting more force. The effects of a higher relative muscular load accumulated over years of work may in part explain why musculoskeletal complaints in the upper body occur more frequently among women than men.

This is a preview of subscription content, access via your institution.

Fig. 1
Fig. 2
Fig. 3
Fig. 4
Fig. 5
Fig. 6

Abbreviations

APDF:

Amplitude probability distribution function

EMG:

Electromyography

EMGmax :

Maximum EMG amplitude

CI:

Confidence interval

MSD:

Musculoskeletal disorders

MVC:

Maximal voluntary contraction

P10:

10 % percentile

P50:

50 % percentile

P90:

90 % percentile

SD:

Standard deviation

References

  • Akesson I, Hansson GA, Balogh I, Moritz U, Skerfving S (1997) Quantifying work load in neck, shoulders and wrists in female dentists. Int Arch Occup Environ Health 69(6):461–474

    CAS  PubMed  Article  Google Scholar 

  • Andersen LL, Christensen KB, Holtermann A, Poulsen OM, Sjogaard G, Pedersen MT, Hansen EA (2010) Effect of physical exercise interventions on musculoskeletal pain in all body regions among office workers: a one-year randomized controlled trial. Man Ther 15(1):100–104

    PubMed  Article  Google Scholar 

  • Andersen LL, Jakobsen MD, Pedersen MT, Mortensen OS, Sjogaard G, Zebis MK (2012) Effect of specific resistance training on forearm pain and work disability in industrial technicians: cluster randomised controlled trial. BMJ Open 2(1):e000412

    PubMed Central  PubMed  Article  Google Scholar 

  • Bingefors K, Isacson D (2004) Epidemiology, co-morbidity, and impact on health-related quality of life of self-reported headache and musculoskeletal pain—a gender perspective. Eur J Pain 8(5):435–450

    PubMed  Article  Google Scholar 

  • Borg G (1990) Psychophysical scaling with applications in physical work and the perception of exertion. Scand J Work Environ Health 16(Suppl 1):55–58

    PubMed  Article  Google Scholar 

  • Borg E, Kaijser L (2006) A comparison between three rating scales for perceived exertion and two different work tests. Scand J Med Sci Sports 16(1):57–69

    CAS  PubMed  Google Scholar 

  • Borg G, Hassmen P, Lagerstrom M (1987) Perceived exertion related to heart rate and blood lactate during arm and leg exercise. Eur J Appl Physiol Occup Physiol 56(6):679–685

    CAS  PubMed  Google Scholar 

  • Burden A (2010) How should we normalize electromyograms obtained from healthy participants? What we have learned from over 25 years of research. J Electromyogr Kinesiol 20:1023–1035

    PubMed  Article  Google Scholar 

  • Capodaglio EM (2001) Comparison between the CR10 Borg’s scale and the VAS (visual analogue scale) during an arm-cranking exercise. J Occup Rehabil 11(2):69–74

    CAS  PubMed  Article  Google Scholar 

  • Chen HC, Chang CM, Liu YP, Chen CY (2010) Ergonomic risk factors for the wrists of hairdressers. Appl Ergon 41(1):98–105

    PubMed  Article  Google Scholar 

  • Christensen H (1986) Muscle activity and fatigue in the shoulder muscles of assembly-plant employees. Scand J Work Environ Health 12(6):582–587

    CAS  PubMed  Article  Google Scholar 

  • Dahlberg R, Karlqvist L, Bildt C, Nykvist K (2004) Do work technique and musculoskeletal symptoms differ between men and women performing the same type of work tasks? Appl Ergon 35(6):521–529

    PubMed  Article  Google Scholar 

  • de Zwart BC, Frings-Dresen MH, Kilbom A (2001) Gender differences in upper extremity musculoskeletal complaints in the working population. Int Arch Occup Environ Health 74(1):21–30

    PubMed  Article  Google Scholar 

  • DiDomenico A, Nussbaum MA (2008) Interactive effects of physical and mental workload on subjective workload assessment. Int J Ind Ergon 38(11–12):977–983

    Article  Google Scholar 

  • Hansson GA, Balogh I, Ohlsson K, Palsson B, Rylander L, Skerfving S (2000) Impact of physical exposure on neck and upper limb disorders in female workers. Appl Ergon 31(3):301–310

    CAS  PubMed  Article  Google Scholar 

  • Hansson GA, Balogh I, Ohlsson K, Granqvist L, Nordander C, Arvidsson I, Akesson I, Unge J, Rittner R, Stromberg U, Skerfving S (2009) Physical workload in various types of work: Part I. Wrist and forearm. Int J Ind Ergon 39(1):221–233

    Article  Google Scholar 

  • Hansson GA, Balogh I, Ohlsson K, Granqvist L, Nordander C, Arvidsson I, Akesson I, Unge J, Rittner R, Stromberg U, Skerfving S (2010) Physical workload in various types of work: Part II. Neck, shoulder and upper arm. Int J Ind Ergon 40(3):267–281

    Article  Google Scholar 

  • Hooftman WE, van Poppel MN, van der Beek AJ, Bongers PM, van Mechelen W (2004) Gender differences in the relations between work-related physical and psychosocial risk factors and musculoskeletal complaints. Scand J Work Environ Health 30(4):261–278

    PubMed  Article  Google Scholar 

  • Hurley RW, Adams MC (2008) Sex, gender, and pain: an overview of a complex field. Anesth Analg 107(1):309–317

    PubMed Central  PubMed  Article  Google Scholar 

  • Jensen BR, Schibye B, Sogaard K, Simonsen EB, Sjogaard G (1993) Shoulder muscle load and muscle fatigue among industrial sewing-machine operators. Eur J Appl Physiol Occup Physiol 67(5):467–475

    CAS  PubMed  Google Scholar 

  • Jensen BR, Jorgensen K, Sjogaard G (1994) The effect of prolonged isometric contractions on muscle fluid balance. Eur J Appl Physiol Occup Physiol 69(5):439–444

    CAS  PubMed  Google Scholar 

  • Jensen C, Finsen L, Hansen K, Christensen H (1999) Upper trapezius muscle activity patterns during repetitive manual material handling and work with a computer mouse. J Electromyogr Kinesiol 9(5):317–325

    CAS  PubMed  Article  Google Scholar 

  • Jonsson B (1978) Quantitative electromyographic evaluation of muscular load during work. Scand J Rehabil Med Suppl 6:69–74

    CAS  PubMed  Google Scholar 

  • Jonsson B (1982) Measurement and evaluation of local muscular strain in the shoulder during constrained work. J Hum Ergol 11(1):73–88

    CAS  Google Scholar 

  • Kennedy SM, Koehoorn M (2003) Exposure assessment in epidemiology: does gender matter? Am J Ind Med 44(6):576–583

    PubMed  Article  Google Scholar 

  • Leijon O, Bernmark E, Karlqvist L, Harenstam A (2005) Awkward work postures: association with occupational gender segregation. Am J Ind Med 47(5):381–393

    PubMed  Article  Google Scholar 

  • Lundberg U (2002) Psychophysiology of work: stress, gender, endocrine response, and work-related upper extremity disorders. Am J Ind Med 41(5):383–392

    PubMed  Article  Google Scholar 

  • Mathiassen SE (1996) The statistical confidence of load estimates based on ramp calibration of upper trapezius EMG. J Electromyogr Kinesiol 6(1):59–65

    CAS  PubMed  Article  Google Scholar 

  • Maughan RJ, Watson JS, Weir J (1983) Strength and cross-sectional area of human skeletal muscle. J Physiol 338:37–49

    CAS  PubMed Central  PubMed  Google Scholar 

  • McGorry RW, Lin JH, Dempsey PG, Casey JS (2010) Accuracy of the Borg CR10 scale for estimating grip forces associated with hand tool tasks. J Occup Environ Hyg 7(5):298–306

    PubMed  Article  Google Scholar 

  • Miller AEJ, Macdougall JD, Tarnopolsky MA, Sale DG (1993) Gender differences in strength and muscle-fiber characteristics. Eur J Appl Physiol Occup Physiol 66(3):254–262

    CAS  PubMed  Google Scholar 

  • Moore JS, Garg A (1995) The strain index: a proposed method to analyze jobs for risk of distal upper extremity disorders. Am Ind Hyg Assoc J 56(5):443–458

    CAS  PubMed  Article  Google Scholar 

  • Nordander C, Ohlsson K, Balogh I, Hansson GA, Axmon A, Persson R, Skerfving S (2008) Gender differences in workers with identical repetitive industrial tasks: exposure and musculoskeletal disorders. Int Arch Occup Environ Health 81(8):939–947

    PubMed  Article  Google Scholar 

  • Nordander C, Ohlsson K, Akesson I, Arvidsson I, Balogh I, Hansson GA, Stromberg U, Rittner R, Skerfving S (2013) Exposure-response relationships in work-related musculoskeletal disorders in elbows and hands—a synthesis of group-level data on exposure and response obtained using uniform methods of data collection. Appl Ergon 44(2):241–253

    PubMed  Article  Google Scholar 

  • Norlund A, Palsson B, Ohlsson K, Skerfving S (2000) Economic consequences of occupational disorders in women with repetitive industrial work. Eur J Public Health 10(2):127–132

    Article  Google Scholar 

  • Perotto A (2005) Anatomical guide for the electromyographer: the limbs and trunk. Charles C Thomas, Springfield

  • Pincivero DM, Coelho AJ, Campy RM, Salfetnikov Y, Bright A (2001) The effects of voluntary contraction intensity and gender on perceived exertion during isokinetic quadriceps exercise. Eur J Appl Physiol 84(3):221–226

    CAS  PubMed  Article  Google Scholar 

  • Pincivero DM, Coelho AJ, Campy RM (2004) Gender differences in perceived exertion during fatiguing knee extensions. Med Sci Sports Exerc 36(1):109–117

    PubMed  Article  Google Scholar 

  • Rudroff T (2008) Kinesiological fine wire EMG, 1st edn. Noraxon U.S.A., Inc., Scottsdale

    Google Scholar 

  • Staudenmann D, Roeleveld K, Stegeman DF, van Dieen JH (2010) Methodological aspects of SEMG recordings for force estimation—a tutorial and review. J Electromyogr Kinesiol 20(3):375–387

    PubMed  Article  Google Scholar 

  • Svendsen SW, Bonde JP, Mathiassen SE, Stengaard-Pedersen K, Frich LH (2004a) Work related shoulder disorders: quantitative exposure-response relations with reference to arm posture. Occup Environ Med 61(10):844–853

    CAS  PubMed Central  PubMed  Article  Google Scholar 

  • Svendsen SW, Gelineck J, Mathiassen SE, Bonde JP, Frich LH, Stengaard-Pedersen K, Egund N (2004b) Work above shoulder level and degenerative alterations of the rotator cuff tendons: a magnetic resonance imaging study. Arthritis Rheum 50(10):3314–3322

    PubMed  Article  Google Scholar 

  • Troiano A, Naddeo F, Sosso E, Camarota G, Merletti R, Mesin L (2008) Assessment of force and fatigue in isometric contractions of the upper trapezius muscle by surface EMG signal and perceived exertion scale. Gait Posture 28(2):179–186

    PubMed  Article  Google Scholar 

  • van der Beek AJ, Kluver BD, Frings-Dresen MH, Hoozemans MJ (2000) Gender differences in exerted forces and physiological load during pushing and pulling of wheeled cages by postal workers. Ergonomics 43(2):269–281

    PubMed  Article  Google Scholar 

  • van Rijn RM, Huisstede BM, Koes BW, Burdorf A (2009) Associations between work-related factors and specific disorders at the elbow: a systematic literature review. Rheumatology 48(5):528–536

    PubMed  Article  Google Scholar 

  • van Rijn RM, Huisstede BM, Koes BW, Burdorf A (2010) Associations between work-related factors and specific disorders of the shoulder—a systematic review of the literature. Scand J Work Environ Health 36(3):189–201

    PubMed  Article  Google Scholar 

  • Veiersted KB, Westgaard RH, Andersen P (1990) Pattern of muscle-activity during stereotyped work and its relation to muscle pain. Int Arch Occup Environ Health 62(1):31–41

    CAS  PubMed  Article  Google Scholar 

  • Waite DL, Brookham RL, Dickerson CR (2010) On the suitability of using surface electrode placements to estimate muscle activity of the rotator cuff as recorded by intramuscular electrodes. J Electromyogr Kinesiol 20(5):903–911

    PubMed  Article  Google Scholar 

  • Wijnhoven HA, de Vet HC, Picavet HS (2006) Prevalence of musculoskeletal disorders is systematically higher in women than in men. Clin J Pain 22(8):717–724

    PubMed  Article  Google Scholar 

  • Won EJ, Johnson PW, Punnett L, Dennerlein JT (2009) Upper extremity biomechanics in computer tasks differ by gender. J Electromyogr Kinesiol 19(3):428–436

    PubMed  Article  Google Scholar 

Download references

Acknowledgments

The present study was supported by grants from The Danish Rheumatism Association and The Danish Working Environment Research Fund. The authors wish to thank co-workers at The University Hospital in Lund and Bispebjerg University Hospital, especially student Hatice Yilmaz for assistance during data collection and Jacob Louis Marott for statistical guidance. Also the collaboration of the Painters’ Union in Denmark is highly appreciated.

Conflict of interest

The authors declare that they have no conflict of interest.

Author information

Affiliations

Authors

Corresponding author

Correspondence to Jacob Meyland.

Additional information

Communicated by Peter Krustrup.

Rights and permissions

Reprints and Permissions

About this article

Verify currency and authenticity via CrossMark

Cite this article

Meyland, J., Heilskov-Hansen, T., Alkjær, T. et al. Sex differences in muscular load among house painters performing identical work tasks. Eur J Appl Physiol 114, 1901–1911 (2014). https://doi.org/10.1007/s00421-014-2918-6

Download citation

  • Received:

  • Accepted:

  • Published:

  • Issue Date:

  • DOI: https://doi.org/10.1007/s00421-014-2918-6

Keywords

  • Electromyography
  • EMG
  • Surface EMG
  • Intramuscular EMG
  • Force
  • Upper extremity
  • Musculoskeletal complaints
  • Occupational medicine