Abstract
Purpose
This study compared changes in indirect muscle damage markers after maximal eccentric exercise of the elbow flexors (EF) among pre-adolescent (9–10 years), adolescent (14–15 years) and post-adolescent (20–25 years) men to test the hypothesis that the magnitude of muscle damage would increase with increase in age.
Methods
Thirteen untrained men of each age group performed two bouts (ECC1, ECC2) of 30 maximal EF eccentric contractions. Several indirect muscle damage markers were measured from the exercised arm before, immediately after, and 1–5 days post-exercise. Changes in maximal voluntary concentric contraction torque of the EF (MVC), range of motion of the elbow joint, upper arm circumference (CIR), muscle passive stiffness, muscle soreness, plasma creatine kinase activity and myoglobin concentration after ECC1 and ECC2 were compared amongst groups by a mixed-design two-way ANOVA.
Results
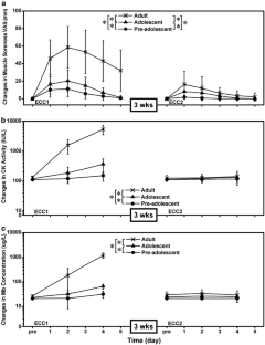
MVC before exercise was smaller (P < 0.05) for pre-adolescent (8.9 ± 1.9 Nm) than adolescent (25.1 ± 3.9 Nm) and adult (35.3 ± 4.6 Nm), and for adolescent than adult. Changes in all variables after ECC1 were smaller (P < 0.05) for pre-adolescent and adolescent when compared with adult, and all except CIR changes were smaller (P < 0.05) for pre-adolescent than adolescent. After ECC2, changes in all variables were smaller (P < 0.05) than those after ECC1 for all groups, but the magnitude of the changes was different among groups (P < 0.05) in the same way as that after ECC1.
Conclusion
These results indicate that the magnitude of muscle damage is increased from pre-adolescent, adolescent to post-adolescent men.





Abbreviations
- ANOVA:
-
Analysis of variance
- AUC:
-
The area under the curve
- BMI:
-
Body mass index
- CIR:
-
Upper arm circumference
- CK:
-
Creatine kinase
- CV:
-
Coefficient of variation
- DOMS:
-
Delayed onset muscle soreness
- EDTA:
-
Ethylenediaminetetraacetic acid
- ECC1:
-
The first bout of maximal eccentric exercise
- ECC2:
-
The second bout of maximal eccentric exercise
- Mb:
-
Myoglobin
- MPS:
-
Muscle passive stiffness
- MVC:
-
Maximal voluntary contraction
- MVC–EE:
-
Maximal voluntary isokinetic concentric contraction torque of the elbow extensors
- MVC–EF:
-
Maximal voluntary isokinetic concentric contraction torque of the elbow flexors
- PTA:
-
Peak torque angle
- R:
-
An intraclass correlation coefficient
- RM:
-
Repetition maximum
- ROM:
-
Range of motion
- SOR:
-
Muscle soreness
- VAS:
-
Visual analogue scale
References
Barnes JN, Trombold JR, Dhindsa M, Lin H, Tanaka H (2010) Arterial stiffening following eccentric exercise-induced muscle damage. J Appl Physiol 109:1102–1108
Boone DC, Azen SP (1979) Normal range of motion of joints in male subjects. J Bone Joint Surg Am 61:756–759
Brancaccio P, Maffulli N, Limongelli FM (2007) Creatine kinase monitoring in sport medicine. Br Med Bull 81–82:209–230
Brockett C, Morgan DL, Proske U (2001) Human hamstring muscles adapt to eccentric exercise by changing optimum length. Med Sci Sports Exerc 33:783–790
Chen TC, Nosaka K, Sacco P (2007) Intensity of eccentric exercise, shift of optimum angle and the magnitude of repeated bout effect. J Appl Physiol 102:992–999
Chen TC, Chen HL, Lin MJ, Wu CJ, Nosaka K (2010) Potent protective effect conferred by four bouts of low intensity eccentric exercise. Med Sci Sports Exerc 42:1004–1012
Chen CH, Nosaka K, Chen HL, Lin MJ, Tseng KW, Chen TC (2011) Effects of flexibility training on eccentric exercise-induced muscle damage. Med Sci Sports Exerc 43:491–500
Chen TC, Chen HL, Lin MJ, Chen CH, Pearce AJ, Nosaka K (2013) Effect of two maximal isometric contractions on eccentric exercise induced muscle damage of the elbow flexors. Eur J Appl Physiol 113:1545–1554
Duarte JA, Magalhaes JF, Monteiro L, Almeida-Dias A, Soares JMC, Appell HJ (1999) Exercise-induced signs of muscle overuse in children. Int J Sports Med 20:103–108
Friden J, Lieber RL (1992) Structural and mechanical basis of exercise-induced muscle injury. Med Sci Sports Exerc 24:521–530
Friden J, Sjostrom M, Ekblom B (1983) Myofibrillar damage following intense eccentric exercise in man. Int J Sports Med 4:170–176
Gorianovas G, Skurvydas A, Streckis V, Brazaitis M, Kamandulis S, McHugh MP (2013) Repeated bout effect was more expressed in young adult males than in elderly males and boys. BioMed Res Int 2013:218970. doi:10.1155/2013/218970
Hawes MR, Martin AD (2001) Human body composition. In: Eston R, Reilly T (eds) Kinanthropometry and exercise physiology laboratory manual: tests, procedures and data. Routledge, London, pp 40–43
Hung CJ, Hsieh CL, Yang PL, Lin JJ (2010) Relationship between posterior shoulder muscle stiffness and rotation in patients with stiff shoulder. J Rehabil Med 42:216–220
Jamurtas AZ, Theocharis V, Tofas T et al (2005) Comparison between leg and arm eccentric exercises of the same relative intensity on indices of muscle damage. Eur J Appl Physiol 95:179–185
Jones DA, Newham DJ, Round JM, Tolfree SE (1986) Experimental human muscle damage: morphological changes in relation to other indices of damage. J Physiol 375:435–448
Koley S, Singh A (2008) Trends of active range of motion at three important joints in school-going boys of Amritsar, Punjab. Anthropologist 10:225–227
Kubo K, Kanehisa H, Kawakami Y, Fukanaga T (2001) Growth changes in the elastic properties of human tendon structures. Int J Sports Med 22:138–143
Kubo K, Ohgo K, Takeishi R, Yoshinaga K, Tsunoda N, Kanehisa H, Fukunaga T (2006) Effects of series elasticity on the human knee extension torque–angle relationship in vivo. Res Q Exerc Sport 77:408–416
Larsen PR, Kronenberg HM, Melmed S, Polonsky K (2002) William’s textbook of endocrinology, reference values. WB Saunders, Philadelphia
Leonard CT, Brown JS, Price TR, Queen SA, Mikhailenok EL (2004) Comparison of surface electromyography and myotonometric measurements during voluntary isometric contractions. J Electromyogr Kinesiol 14:709–714
Lexell J, Sjostrom M, Nordlund AS, Taylor CC (1992) Growth and development of human muscle: a quantitative morphological study of whole vastus lateralis from childhood to adult age. Muscle Nerve 15:404–409
Marginson V, Rowlands AV, Gleeson NP, Eston RG (2005) Comparison of the symptoms of exercise-induced muscle damage after an initial and repeated bout of plyometric exercise in men and boys. J Appl Physiol 99:1174–1181
Martha PA Jr, Rogol AD Jr, Veldhuis JD, Kerrigan JR, Goodman DW, Blizzard RM (1989) Alterations in the pulsatile properties of circulating growth hormone concentrations during puberty in boys. J Clin Endocrinol Metab 69:563–570
McHugh MP, Pasiskos S (2004) The role of exercising muscle length in the protective adaptation to a single bout of eccentric exercise. Eur J Appl Physiol 93:286–293
McHugh MP, Tetro DT (2003) Changes in the relationship between joint angle and torque production associated with the repeated bout effect. J Sports Sci 21:927–932
McHugh MP, Connolly DAJ, Eston RG, Kremenic IJ, Nicholas SJ, Gleim GW (1999) The role of passive stiffness in symptoms of exercise- induced muscle damage. Am J Sports Med 27:594–599
Nosaka K, Sakamoto K, Newton M, Sacco P (2001) The repeated bout effect of reduced-load eccentric exercise on elbow flexor muscle damage. Eur J Appl Physiol 85:34–40
Pratt M, Macera CA, Blanton C (1999) Levels of physical activity and inactivity in children and adults in the United States: current evidence and research issues. Med Sci Sports Exerc 31:S526–S533
Pullinen T, Mero A, Huttunen P, Pakarinen A, Komi PV (2011) Resistance exercise-induced hormonal response under the influence of delayed onset muscle soreness in men and boys. Scand J Med Sci Sports 21:e184–e194
Rosano TG, Kenny MA (1977) A radioimmunoassay for human serum myoglobin: method development and normal values. Clin Chem 23:69–75
Rowland TW (1996) Developmental exercise physiology. Human Kinetics, Champaign
Soares JMC, Mota P, Duarte JA, Appell HJ (1996) Children are less susceptible to exercise-induced muscle damage than adults: a preliminary investigation. Pediatr Exerc Sci 8:361–367
Tanner JM (1962) Growth at adolescence: with a general consideration of the effects of hereditary and environmental factors upon growth and maturation from birth to maturity. Blackwell, London
Tietz NW (1995) Clinical guide to laboratory tests. WB Saunders, Philadelphia
Wang C, Catlin DH, Demers LM, Starcevic B, Swerdloff RS (2004) Measurement of total serum testosterone in adult men: comparison of current laboratory methods versus liquid chromatography-tandem mass spectrometry. J Clin Endocrinol Metab 89:534–543
Webber LM, Byrnes WC, Rowland TW, Foster VL (1989) Serum creatine kinase activity and delayed onset muscle soreness in prepubescent children: a preliminary study. Pediatr Exerc Sci 1:351–359
Acknowledgments
We would like to dedicate this article to Professor Priscilla M. Clarkson (University of Massachusetts) who passed away on 25th of August 2013. She has been mentoring and inspiring us for more than 20 years, and our passion on muscle damage research was given by her. We thank Mr. Shueh-Chien Ko for his assistance in data collection, and Mr. Cheng-Yuang Lu for his assistance in subject recruitment. This research was supported by the National Science Council (NSC 101-2628-H-415-001), “Aim for the Top University Plan” of National Taiwan Normal University and the Ministry of Education, TAIWAN.
Conflict of interest
The authors declare that we have no any potential conflict of interest.
Ethical standards
The authors declare that the experiments comply with the current laws of the country in which we were performed.
Author information
Authors and Affiliations
Corresponding author
Additional information
Communicated by William J. Kraemer.
Rights and permissions
About this article
Cite this article
Chen, T.C., Chen, HL., Liu, YC. et al. Eccentric exercise-induced muscle damage of pre-adolescent and adolescent boys in comparison to young men. Eur J Appl Physiol 114, 1183–1195 (2014). https://doi.org/10.1007/s00421-014-2848-3
Received:
Accepted:
Published:
Issue Date:
DOI: https://doi.org/10.1007/s00421-014-2848-3