Skip to main content

Blood flow restriction does not result in prolonged decrements in torque

Abstract

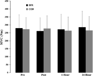
We sought to determine if blood flow restriction (BFR) by itself or in combination with exercise would result in prolonged decrements in torque when using restriction pressures relative to the participants’ limb size. Sixteen participants were randomized into Experiment A (n = 9) or Experiment B (n = 7). Experiment A participants performed unilateral knee extensions at 30 % of their one repetition maximum (1RM) with moderate blood flow restriction on one leg (BFR + Exercise) and exercised the other leg without BFR (CON + Exercise). Experiment B participants rested for 4 min with BFR applied to one leg and rested for 4 min without any treatment on the other leg (CON). Maximal voluntary isometric torque (MVC) was measured before and immediately after the exercise or 4 min of rest, 1 h post, and 24 h post. Ratings of perceived exertion (RPE) and discomfort were taken before and after each set. MVC was significantly reduced following both exercise conditions with BFR + Exercise having the largest reduction in torque. However, torque quickly recovered by 1 h post exercise and was back to baseline by 24 h. No changes in torque were observed in Experiment B. RPE and discomfort were rated consistently higher for those in the BFR + Exercise and BFR conditions compared to control. In conclusion, BFR + Exercise does not result in prolonged decrements in torque. The acute changes in torque are due to fatigue and quickly recover back to baseline within 24 h of exercise. In addition, BFR in the absence of exercise has no effect on torque at any time point.

This is a preview of subscription content, access via your institution.

Fig. 1
Fig. 2
Fig. 3

References

  • Abe T, Kearns CF, Sato Y (2006) Muscle size and strength are increased following walk training with restricted venous blood flow from the leg muscle, Kaatsu-walk training. J Appl Physiol 100(5):1460–1466

    PubMed  Article  CAS  Google Scholar 

  • Abe T, Sakamaki M, Fujita S, Ozaki H, Sugaya M, Sato Y, Nakajima T (2010) Effects of low-intensity walk training with restricted leg blood flow on muscle strength and aerobic capacity in older adults. J Geriatr Phys Ther 33(1):34–40

    PubMed  Google Scholar 

  • Fahs CA, Rossow LM, Seo DI, Loenneke JP, Sherk VD, Kim E, Bemben DA, Bemben MG (2011) Effect of different types of resistance exercise on arterial compliance and calf blood flow. Eur J Appl Physiol 111(12):2969–2975

    PubMed  Article  Google Scholar 

  • Fahs CA, Rossow LM, Loenneke JP, Thiebaud RS, Kim D, Bemben DA, Bemben MG (2012) Effect of different types of lower body resistance training on arterial compliance and calf blood flow. Clin Physiol Funct Imaging 32(1):45–51

    PubMed  Article  Google Scholar 

  • Fitts RH (2008) The cross-bridge cycle and skeletal muscle fatigue. J Appl Physiol 104(2):551–558

    PubMed  Article  CAS  Google Scholar 

  • Garber CE, Blissmer B, Deschenes MR, Franklin BA, Lamonte MJ, Lee IM, Nieman DC, Swain DP, American College of Sports Medicine Position Stand (2011) Quantity and quality of exercise for developing and maintaining cardiorespiratory, musculoskeletal, and neuromotor fitness in apparently healthy adults: guidance for prescribing exercise. Med Sci Sports Exerc 43(7):1334–1359

    PubMed  Article  Google Scholar 

  • Gualano B, Neves M Jr, Lima FR, Pinto AL, Laurentino G, Borges C, Baptista L, Artioli GG, Aoki MS, Moriscot A, Lancha AH Jr, Bonfa E, Ugrinowitsch C (2010) Resistance training with vascular occlusion in inclusion body myositis: a case study. Med Sci Sports Exerc 42(2):250–254

    PubMed  Article  Google Scholar 

  • Hollander DB, Durand RJ, Trynicki JL, Larock D, Castracane VD, Hebert EP, Kraemer RR (2003) RPE, pain, and physiological adjustment to concentric and eccentric contractions. Med Sci Sports Exerc 35(6):1017–1025

    PubMed  Article  Google Scholar 

  • Iversen E, Rostad V (2010) Low-load ischemic exercise-induced rhabdomyolysis. Clin J Sport Med 20(3):218–219

    PubMed  Article  Google Scholar 

  • Karabulut M, Abe T, Sato Y, Bemben MG (2010) The effects of low-intensity resistance training with vascular restriction on leg muscle strength in older men. Eur J Appl Physiol 108(1):147–155

    PubMed  Article  Google Scholar 

  • Laurentino GC, Ugrinowitsch C, Roschel H, Aoki MS, Soares AG, Neves M Jr, Aihara AY, da Rocha Correa Fernandes A, Tricoli V (2012) Strength training with blood flow restriction diminishes myostatin gene expression. Med Sci Sports Exerc 44(3):406–412

    PubMed  Article  CAS  Google Scholar 

  • Loenneke JP, Abe T (2012) Does blood flow restricted exercise result in prolonged torque decrements and muscle damage? Eur J Appl Physiol. doi:10.1007/s00421-012-2312-1

    Google Scholar 

  • Loenneke JP, Wilson GJ, Wilson JM (2010) A Mechanistic Approach to Blood Flow Occlusion. Int J Sports Med 31(1):1–4

    PubMed  Article  CAS  Google Scholar 

  • Loenneke JP, Fahs CA, Rossow LM, Sherk VD, Thiebaud RS, Abe T, Bemben DA, Bemben MG (2012a) Effects of cuff width on arterial occlusion: implications for blood flow restricted exercise. Eur J Appl Physiol 112(8):2903–2912

    PubMed  Article  Google Scholar 

  • Loenneke JP, Wilson JM, Marin PJ, Zourdos MC, Bemben MG (2012b) Low intensity blood flow restriction training: a meta-analysis. Eur J Appl Physiol 112:1849–1859

    PubMed  Article  Google Scholar 

  • Loenneke JP, Young KC, Wilson JM, Andersen JC (2012c) Rehabilitation of an osteochondral fracture using blood flow restricted exercise: A case review. J Bodyw Mov Ther. doi:10.1016/j.jbmt.2012.04.006

    PubMed  Google Scholar 

  • Madarame H, Neya M, Ochi E, Nakazato K, Sato Y, Ishii N (2008) Cross-transfer effects of resistance training with blood flow restriction. Med Sci Sports Exerc 40(2):258–263

    PubMed  Article  Google Scholar 

  • Motykie GD, Zebala LP, Caprini JA, Lee CE, Arcelus JI, Reyna JJ, Cohen EB (2000) A guide to venous thromboembolism risk factor assessment. J Thromb Thrombolysis 9(3):253–262

    PubMed  Article  CAS  Google Scholar 

  • Ogawa M, Loenneke JP, Yasuda T, Fahs CA, Rossow LM, Thiebaud RS, Bemben MG, Abe T (2012) Time course changes in muscle size and fatigue during walking with restricted leg blood flow in young men. JPESM 3(1):14–19

    Google Scholar 

  • Patterson SD, Ferguson RA (2011) Enhancing strength and postocclusive calf blood flow in older people with training with blood-flow restriction. J Aging Phys Act 19(3):201–213

    PubMed  Google Scholar 

  • Rhea MR (2004) Determining the magnitude of treatment effects in strength training research through the use of the effect size. J Strength Cond Res 18(4):918–920

    PubMed  Google Scholar 

  • Rossow LM, Fahs CA, Sherk VD, Seo DI, Bemben DA, Bemben MG (2011) The effect of acute blood-flow-restricted resistance exercise on postexercise blood pressure. Clin Physiol Funct Imaging 31(6):429–434

    PubMed  Article  Google Scholar 

  • Rossow LM, Fahs CA, Loenneke JP, Thiebaud RS, Sherk VD, Abe T, Bemben MG (2012) Cardiovascular and perceptual responses to blood-flow-restricted resistance exercise with differing restrictive cuffs. Clin Physiol Funct Imaging 32(5):331–337

    PubMed  Article  Google Scholar 

  • Sugaya M, Yasuda T, Suga T, Okita K, Abe T (2011) Change in intramuscular inorganic phosphate during multiple sets of blood flow-restricted low-intensity exercise. Clin Physiol Funct Imaging 31(5):411–413

    PubMed  Article  Google Scholar 

  • Takarada Y, Nakamura Y, Aruga S, Onda T, Miyazaki S, Ishii N (2000a) Rapid increase in plasma growth hormone after low-intensity resistance exercise with vascular occlusion. J Appl Physiol 88(1):61–65

    PubMed  CAS  Google Scholar 

  • Takarada Y, Takazawa H, Ishii N (2000b) Applications of vascular occlusion diminish disuse atrophy of knee extensor muscles. Med Sci Sports Exerc 32(12):2035–2039

    PubMed  Article  CAS  Google Scholar 

  • Takarada Y, Sato Y, Ishii N (2002) Effects of resistance exercise combined with vascular occlusion on muscle function in athletes. Eur J Appl Physiol 86(4):308–314

    PubMed  Article  Google Scholar 

  • Umbel JD, Hoffman RL, Dearth DJ, Chleboun GS, Manini TM, Clark BC (2009) Delayed-onset muscle soreness induced by low-load blood flow-restricted exercise. Eur J Appl Physiol 107(6):687–695

    PubMed  Article  Google Scholar 

  • Weir JP (2005) Quantifying test–retest reliability using the intraclass correlation coefficient and the SEM. J Strength Cond Res 19(1):231–240

    PubMed  Google Scholar 

  • Wernbom M, Paulsen G, Nilsen TS, Hisdal J, Raastad T (2011) Contractile function and sarcolemmal permeability after acute low-load resistance exercise with blood flow restriction. Eur J Appl Physiol. doi:10.1007/s00421-011-2172-0

    PubMed  Google Scholar 

  • Yasuda T, Ogasawara R, Sakamaki M, Bemben MG, Abe T (2011a) Relationship between limb and trunk muscle hypertrophy following high-intensity resistance training and blood flow-restricted low-intensity resistance training. Clin Physiol Funct Imaging 31(5):347–351

    PubMed  Article  Google Scholar 

  • Yasuda T, Ogasawara R, Sakamaki M, Ozaki H, Sato Y, Abe T (2011b) Combined effects of low-intensity blood flow restriction training and high-intensity resistance training on muscle strength and size. Eur J Appl Physiol 111:2525–2533

    PubMed  Article  Google Scholar 

Download references

Acknowledgments

The authors are not aware of any affiliations, memberships, funding, or financial holdings that might be perceived as affecting the objectivity of this manuscript. This study was not supported by any funding.

Conflict of interest

None of the authors report a conflict of interest.

Author information

Affiliations

Authors

Corresponding author

Correspondence to Jeremy P. Loenneke.

Additional information

Communicated by Toshio Moritani.

Rights and permissions

Reprints and Permissions

About this article

Cite this article

Loenneke, J.P., Thiebaud, R.S., Fahs, C.A. et al. Blood flow restriction does not result in prolonged decrements in torque. Eur J Appl Physiol 113, 923–931 (2013). https://doi.org/10.1007/s00421-012-2502-x

Download citation

  • Received:

  • Accepted:

  • Published:

  • Issue Date:

  • DOI: https://doi.org/10.1007/s00421-012-2502-x

Keywords

  • KAATSU
  • MVC
  • Strength
  • Muscle damage