Skip to main content

Prior sprint cycling did not enhance training adaptation, but resting salivary hormones were related to workout power and strength

Abstract

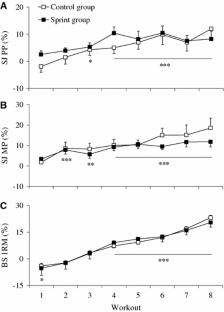
This study examined the effect of cycle sprints as a potentiating stimulus for power and strength adaptation in semi-elite athletes. Eighteen rugby players were assigned into training groups that completed either a 40-s cycle sprint (TSPRINT) or rested (TCONTROL) before each workout (n = 6–8) of a 4-week programme. Squat jump (SJ) peak power (PP) and mean power (MP), and box squat (BS) one repetition maximum (1RM) strength were assessed every workout. Saliva was collected across each workout and assayed for testosterone (Sal-T) and cortisol (Sal-C). The TSPRINT and TCONTROL groups both showed significant improvements in SJ PP (8.2 ± 2.9 vs. 11.9 ± 3.6%), SJ MP (11.8 ± 2.6 vs. 18.6 ± 4.8%) and BS 1RM (20.5 ± 2.6 vs. 23.2 ± 1.3%), respectively. However, there were no group differences in training adaptation, workout performance or the workout hormonal responses. As a combined group (all players), significant relationships were demonstrated between resting Sal-T and/or Sal-C concentrations and absolute SJ power (r = 0.20–0.30) and BS strength (r = 0.36–0.44) across all workouts. For individual players, the respective relationships with SJ power (r = 0.22–0.42) and BS strength (r = 0.41–0.49) were, on average, found to be stronger. In conclusion, leg workouts performed with or without prior cycle sprints can produce similar power and strength improvements in semi-elite rugby players. Resting salivary hormone concentrations appear important for workout performance, especially for individuals, thereby potentially moderating training adaptation.

This is a preview of subscription content, access via your institution.

Fig. 1
Fig. 2
Fig. 3
Fig. 4

References

  • Ahtiainen JP, Pakarinen A, Alen M, Kraemer WJ, Häkkinen K (2003) Muscle hypertrophy, hormonal adaptations and strength development during strength training in strength-trained and untrained men. Eur J Appl Physiol 89:555–563. doi:10.1007/s00421-003-0833-3

    PubMed  Article  CAS  Google Scholar 

  • Alen M, Pakarinen A, Häkkinen K, Komi PV (1988) Responses of serum androgenic-anabolic and catabolic hormones to prolonged strength training. Int J Sports Med 9:229–233. doi:10.1055/s-2007-1025011

    PubMed  Article  CAS  Google Scholar 

  • Beaven MC, Gill ND, Cook CJ (2008) Salivary testosterone and cortisol responses in professional rugby players after four resistance exercise protocols. J Strength Cond Res 22:426–432

    PubMed  Google Scholar 

  • Blazevich AJ, Gill ND, Bronks R, Newton RU (2003) Training-specific muscle architecture adaptation after 5-wk training in athletes. Med Sci Sports Exerc 35:2013–2022. doi:10.1249/01.MSS.0000099092.83611.20

    PubMed  Article  Google Scholar 

  • Bonifazi M, Ginanneschi F, della Volpe R, Rossi A (2004) Effects of gonadal steroids on the input-output relationship of the corticospinal pathway in humans. Brain Res 1011:187–194. doi:10.1016/j.brainres.2004.03.022

    PubMed  Article  CAS  Google Scholar 

  • Bosco C, Tihanyi J, Rivalta L, Parlato G, Tranquilli C, Pulvirenti G, Foti C, Viru A (1996) Hormonal responses in strenuous jumping effort. Jpn J Physiol 46:93–98. doi:10.2170/jjphysiol.46.93

    PubMed  Article  CAS  Google Scholar 

  • Chadwick Smith J, Fry AC, Weiss LW, Li Y, Kinzey SJ (2001) The effects of high-intensity exercise on a 10-second sprint cycle test. J Strength Cond Res 15:344–348. doi:10.1519/1533-4287(2001)015<0344:TEOHIE>2.0.CO;2

    Article  Google Scholar 

  • Chiu LZF, Fry AC, Weiss LW, Schilling BK, Brown LE, Smith SL (2003) Postactivation potentiation response in athletic and recreationally trained individuals. J Strength Cond Res 17:671–677. doi:10.1519/1533-4287(2003)017<0671:PPRIAA>2.0.CO;2

    PubMed  Article  Google Scholar 

  • Coutts A, Reaburn P, Piva TJ, Murphy A (2007) Changes in selected biomechanical, muscular strength, power, and endurance measures during deliberate overreaching and tapering in rugby league players. Int J Sports Med 28:116–124. doi:10.1055/s-2006-924145

    PubMed  Article  CAS  Google Scholar 

  • Crewther B, Keogh J, Cronin J, Cook C (2006) Possible stimuli for strength and power adaptation: acute hormonal responses. Sports Med 36:215–238. doi:10.2165/00007256-200636030-00004

    PubMed  Article  Google Scholar 

  • Crewther BT, Weatherby RP, Lowe T, Gill N (2008) Can testosterone and cortisol priming with supramaximal exercise modify the neuromuscular performance of elite rugby players? In: The National conference for the National Strength and Conditioning Association, Las Vegas, USA, p 238

  • Dabbs JM (1991) Salivary testosterone measurements: collecting, storing, and mailing saliva samples. Physiol Behav 49:815–817. doi:10.1016/0031-9384(91)90323-G

    PubMed  Article  CAS  Google Scholar 

  • Dlouhá H, Vyskočil F (1979) The effect of cortisol on the excitability of the rat muscle fibre membrane and neuromuscular transmission. Physiol Bohemoslov 28:485–494

    PubMed  Google Scholar 

  • Drinkwater EJ, Galna B, McKenna MJ, Hunt PH, Pyne DB (2007) Validation of an optical encoder during free weight resistance movements and analysis of bench press sticking point power during fatigue. J Strength Cond Res 21:510–517. doi:10.1519/R-20406.1

    PubMed  Article  Google Scholar 

  • Durnin JV, Rahaman MM (1967) The assessment of the amount of fat in the human body from measurements of skinfold thickness. Br J Nutr 21:681–689. doi:10.1079/BJN19670070

    PubMed  Article  CAS  Google Scholar 

  • Estrada M, Espinosa A, Müller M, Jaimovich E (2003) Testosterone stimulates intracellular calcium release and mitogen-activated protein kinases via a G protein-coupled receptor in skeletal muscle cells. Endocrinology 144:3586–3597. doi:10.1210/en.2002-0164

    PubMed  Article  CAS  Google Scholar 

  • Gilbert G, Lees A (2005) Changes in the force development characteristics of muscle following repeated maximum force and power exercise. Ergonomics 48:1576–1584. doi:10.1080/00140130500101163

    PubMed  Article  Google Scholar 

  • Goto K, Ishii N, Kurokawa K, Takamatsu K (2007) Attenuated growth hormone response to resistance exercise with prior sprint exercise. Med Sci Sports Exerc 39:108–115. doi:10.1249/01.mss.0000240321.23653.aa

    PubMed  Article  CAS  Google Scholar 

  • Granger DA, Schwartz EB, Booth A, Arentz M (1999) Salivary testosterone determination in studies of child health and development. Horm Behav 35:18–27. doi:10.1006/hbeh.1998.1492

    PubMed  Article  CAS  Google Scholar 

  • Häkkinen K (1989) Neuromuscular and hormonal adaptations during strength and power training. J Sports Med Phys Fitness 29:9–26

    PubMed  Google Scholar 

  • Häkkinen K, Pakarinen A, Alen M, Komi P (1985) Serum hormones during prolonged training of neuromuscular performance. Eur J Appl Physiol Occup Physiol 53:287–293. doi:10.1007/BF00422840

    PubMed  Article  Google Scholar 

  • Häkkinen K, Pakarinen A, Alen M, Kauhanen H, Komi PV (1988) Neuromuscular and hormonal adaptations in athletes to strength training in two years. J Appl Physiol 65:2406–2412

    PubMed  Google Scholar 

  • Hansen S, Kvorning T, Kjaer M, Sjøgaard G (2001) The effect of short-term strength training on human skeletal muscle: the importance of physiologically elevated hormone levels. Scand J Med Sci Sports 11:347–354. doi:10.1034/j.1600-0838.2001.110606.x

    PubMed  Article  CAS  Google Scholar 

  • Hodgson M, Docherty D, Robbins D (2005) Post-activation potentiation: underlying physiology and implications for motor performance. Sports Med 35:585–595. doi:10.2165/00007256-200535070-00004

    PubMed  Article  Google Scholar 

  • Hoffman JR, Ratamess NA, Cooper JJ, Kang J, Chilakos A, Faigenbaum AD (2005) Comparison of loaded and unloaded jump squat training on strength/power performance in college football players. J Strength Cond Res 19:810–815. doi:10.1519/R-16774.1

    PubMed  Article  Google Scholar 

  • Jürimäe J, Jürimäe T (2001) Responses of blood hormones to the maximal rowing ergometer test in college rowers. J Sports Med Phys Fitness 41:73–77

    PubMed  Google Scholar 

  • Kilduff LP, Bevan HR, Kingsley MI, Owen NJ, Bennett MA, Bunce PJ, Hore AM, Maw JR, Cunningham DJ (2007) Postactivation potentiation in professional rugby players: optimal recovery. J Strength Cond Res 21:1134–1138. doi:10.1519/R-20996.1

    PubMed  Article  Google Scholar 

  • Krotkiewski M, Kral JG, Karlsson J (1980) Effects of castration and testosterone substitution on body composition and muscle metabolism in rats. Acta Physiol Scand 109:233–237. doi:10.1111/j.1748-1716.1980.tb06592.x

    PubMed  Article  CAS  Google Scholar 

  • Lander J (1985) Maximum based on reps. Nat Strength Cond Assoc J 6:60–61

    Google Scholar 

  • Madarame H, Neya M, Ochi E, Nakazato K, Sato Y, Ishii N (2008) Cross-transfer effects of resistance training with blood flow restriction. Med Sci Sports Exerc 40:258–263

    PubMed  Article  Google Scholar 

  • Mangus BC, Takahashi M, Mercer JA, Holcomb WR, McWhorter JW, Sanchez R (2006) Investigation of vertical jump performance after completing heavy squat exercises. J Strength Cond Res 20:597–600. doi:10.1519/R-18005.1

    PubMed  Article  Google Scholar 

  • McBride JM, Triplett-McBride T, Davie A, Newton RU (2002) The effect of heavy- vs. light-load jump squats on the development of strength, power and speed. J Strength Cond Res 16:75–82. doi:10.1519/1533-4287(2002)016<0075:TEOHVL>2.0.CO;2

    PubMed  Article  Google Scholar 

  • Morelius E, Nelson N, Theodorsson E (2004) Salivary cortisol and administration of concentrated oral glucose in newborn infants: improved detection limit and smaller sample volumes without glucose interference. Scand J Clin Lab Invest 64:113–118. doi:10.1080/00365510410004452

    PubMed  Article  CAS  Google Scholar 

  • Obmiński Z, Borkowski L, Ladyga M, Hübner-Woźniak E (1998) Concentrations of cortisol, testosterone and lactate, and power output in repeated, supramaximal exercise in elite fencers. Biol Sport 15:19–24

    Google Scholar 

  • Passaquin AC, Lhote P, Rüegg UT (1998) Calcium influx inhibition by steroids and analogs in C2C12 skeletal muscle cells. Br J Pharmacol 124:1751–1759. doi:10.1038/sj.bjp.0702036

    PubMed  Article  CAS  Google Scholar 

  • Raastad T, Glomsheller T, Bjøro T, Hallén J (2001) Changes in human skeletal muscle contractility and hormone status during 2 weeks of heavy strength training. Eur J Appl Physiol 84:54–63. doi:10.1007/s004210000328

    PubMed  Article  CAS  Google Scholar 

  • Rixon KP, Lamont HS, Bemben MG (2007) Influence of type of muscle contraction, gender, and lifting experience on postactivation potentiation performance. J Strength Cond Res 21:500–505. doi:10.1519/R-18855.1

    PubMed  Article  Google Scholar 

  • Saez Saez de Villarreal E, Gonzalez-Badillo JJ, Izquierdo M (2007) Optimal warm-up stimuli of muscle activation to enhance short and long-term acute jumping performance. Eur J Appl Physiol 100:393–401. doi:10.1007/s00421-007-0440-9

    PubMed  Article  Google Scholar 

  • Sedliak M, Finni T, Cheng S, Kraemer WJ, Häkkinen K (2007) Effect of time-of-day-specific strength training on serum hormone concentrations and isometric strength in men. Chronobiol Int 24:1159–1177. doi:10.1080/07420520701800686

    PubMed  Article  CAS  Google Scholar 

  • Słowińska-Lisowska M, Witkowski K (2001) The influence of exercise on the functioning of the pituitary-gonadal axis in physically active older and younger men. Aging Male 4:145–150. doi:10.1080/713604632

    Article  Google Scholar 

  • Viru A, Karelson K, Smirnova T (1992) Stability and variability in hormonal responses to prolonged exercise. Int J Sports Med 13:230–235. doi:10.1055/s-2007-1021259

    PubMed  Article  CAS  Google Scholar 

Download references

Acknowledgments

The authors would like to thank Dr. Christian Cook for his feedback during the preparation of this manuscript. Support for this study was provided by the Horticulture and Food Research Institute of New Zealand, the Maori Education Trust and the Ngati Whakaue Education Endowment Trust Board.

Author information

Affiliations

Authors

Corresponding author

Correspondence to Blair T. Crewther.

Rights and permissions

Reprints and Permissions

About this article

Cite this article

Crewther, B.T., Lowe, T., Weatherby, R.P. et al. Prior sprint cycling did not enhance training adaptation, but resting salivary hormones were related to workout power and strength. Eur J Appl Physiol 105, 919 (2009). https://doi.org/10.1007/s00421-008-0978-1

Download citation

  • Accepted:

  • Published:

  • DOI: https://doi.org/10.1007/s00421-008-0978-1

Keywords

  • Testosterone
  • Cortisol
  • Saliva
  • Rugby
  • Training