Skip to main content

Twitch potentiation after voluntary versus electrically induced isometric contractions in human knee extensor muscles

Abstract

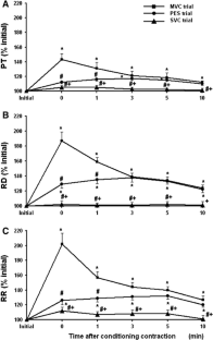
Twitch potentiation in knee extensor (KE) muscles after a 7-s conditioning isometric maximal voluntary contraction (MVC trial), submaximal (25% MVC) voluntary contraction (SVC trial) and submaximal tetanic contraction (25% MVC) induced by percutaneous electrical stimulation at 100 Hz (PES trial) was compared in 12 men aged 19–25 years. Isometric twitch characteristics of KE muscles were measured before conditioning contraction and following 10-min recovery by supramaximal electrical stimulation of the femoral nerve. During MVC trial, twitch peak torque (Pt) potentiated (P < 0.05) immediately after the conditioning contraction with sharp decline during the first and third minute of recovery. No significant potentiation of twitch Pt was observed in SVC trial. During PES trial, twitch Pt was potentiated (P < 0.05) within 3–10 min of recovery. The time-course of isometric twitch was not significantly altered by conditioning contractions. It was concluded that twitch potentiation in the KE muscles differed markedly following the three conditioning contractions.

This is a preview of subscription content, access via your institution.

Fig. 1
Fig. 2
Fig. 3

References

  • Baudry S, Duchateau J (2004) Postactivation potentiation in human muscle is not related to the type of maximal conditioning contraction. Muscle Nerve 30:328–336. doi:10.1002/mus.20101

    PubMed  Article  Google Scholar 

  • Baudry S, Duchateau J (2007) Postactivation potentiation in a human muscle: effect on the rate of torque development of tetanic and voluntary isometric contractions. J Appl Physiol 102:1394–1401

    PubMed  Article  Google Scholar 

  • Beltman JGM, de Haan A, Haan H, Gerrits HL, van Mechelen W, Sargeant AJ (2004) Metabolically assessed muscle fiber recruitment in brief isometric contractions at different intensities. Eur J Appl Physiol 92:485–492. doi:10.1007/s00421-004-1105-6

    PubMed  Article  CAS  Google Scholar 

  • Binder-Macleod SA, Dean JC, Ding J (2002) Electrical stimulation factors in potentiation of human quadriceps femoris. Muscle Nerve 25:271–279. doi:10.1002/mus.10027

    PubMed  Article  Google Scholar 

  • Brown IE, Loeb GE (1998) Post-activation potentiation—a clue for simplifying models of muscle dynamics. Am Zool 38:743–754

    Google Scholar 

  • De Luca CJ, LeFever RS, McCue MP, Xenakis AP (1982) Behaviour of human motor units in different muscles during linearly varying contractions. J Physiol 329:113–128

    PubMed  Google Scholar 

  • Desmedt JE, Godaux E (1978) Ballistic contractions in fast or slow human muscles: discharge patterns of single motor units. J Physiol 285:185–196

    PubMed  CAS  Google Scholar 

  • Desmedt JE, Hainaut K (1968) Kinetics of myofilament activation in potentiated contraction: staircase phenomenon in human skeletal muscle. Nature 217:529–532. doi:10.1038/217529a0

    PubMed  Article  CAS  Google Scholar 

  • Ding J, Wexler AS, Binder-Macleod SA (2002) A mathematical model that predicts the force-frequency relationship of human skeletal muscle. Muscle Nerve 26:477–485. doi:10.1002/mus.10198

    PubMed  Article  Google Scholar 

  • Ding J, Storaska JA, Binder-Macleod SA (2003) Effect of potentiation on the catchlike property of human skeletal muscles. Muscle Nerve 27:312–319

    PubMed  Article  Google Scholar 

  • Edwards RHT, Hill DK, Jones DA, Merton PA (1977) Fatigue of long duration in human skeletal muscle after exercise. J Physiol 272:769–778

    PubMed  CAS  Google Scholar 

  • Feiereisen P, Duchateau J, Hainaut K (1997) Motor unit recruitment order during voluntary and electrically induced contractions in the tibialis anterior. Exp Brain Res 114:117–123. doi:10.1007/PL00005610

    PubMed  Article  CAS  Google Scholar 

  • Gossen ER, Allingham K, Sale DG (2001) Effect of temperature on post-tetanic potentiation in human dorsiflexor muscles. Can J Physiol Pharmacol 79:49–58. doi:10.1139/cjpp-79-1-49

    PubMed  Article  CAS  Google Scholar 

  • Grange RW, Vandenboom R, Houston ME (1993) Physiological significance of myosin phosphorylation in skeletal muscle. Can J Appl Physiol 18:229–242

    PubMed  CAS  Google Scholar 

  • Grimby L, Hannerz J, Hedman B (1981) The fatigue and voluntary discharge properties of single motor units in man. J Physiol 316:545–554

    PubMed  CAS  Google Scholar 

  • Hamada T, Sale DG, MacDougall JD, Tarnopolsky MA (2000) Postactivation potentiation, fiber type, and twitch contraction time in human knee extensor muscles. J Appl Physiol 88:2131–2137

    PubMed  CAS  Google Scholar 

  • Hamada T, Sale DG, MacDougall JD, Tarnopolsky MA (2003) Interactions of fiber type, potentiation and fatigue in human knee extensor muscles. Acta Physiol Scand 178:165–173. doi:10.1046/j.1365-201X.2003.01121.x

    PubMed  Article  CAS  Google Scholar 

  • Houston ME, Grange RW (1990) Myosin phosphorylation, twitch potentiation, and fatigue in human skeletal muscle. Can J Physiol Pharmacol 68:908–913

    PubMed  CAS  Google Scholar 

  • Houston ME, Lingley MD, Stuart DS, Grange RW (1987) Myosin light chain phosphorylation in intact human muscle. Pflugers Arch 403:348–352. doi:10.1007/BF00589245

    Article  Google Scholar 

  • Knaflitz M, Merletti R, De Luca CJ (1990) Interference of motor unit recruitment order in voluntary and electrically elicited contractions. J Appl Physiol 68:1657–1667

    PubMed  CAS  Google Scholar 

  • Krarup C (1981) Enhancement and diminution of mechanical tension evoked by staircase and by tetanus in rat muscle. J Physiol 311:355–372

    PubMed  CAS  Google Scholar 

  • Kufel TJ, Pineda LA, Mador MJ (2002) Comparison of potentiated and unpotentiated twitches as an index of muscle fatigue. Muscle Nerve 25:438–444. doi:10.1002/mus.10047

    PubMed  Article  Google Scholar 

  • Kugelberg E, Thornell LE (1983) Contraction time, histochemical type, and terminal cisternae volume of rat motor units. Muscle Nerve 6:149–153. doi:10.1002/mus.880060211

    PubMed  Article  CAS  Google Scholar 

  • Moore RL, Stull JT (1984) Myosin light chain phosphorylation in fast and slow skeletal muscles in situ. Am J Physiol 247:C462–C471

    PubMed  CAS  Google Scholar 

  • O’Leary DD, Hope K, Sale DG (1997) Posttetanic potentiation of human dorsiflexors. J Appl Physiol 83:2131–2138

    PubMed  CAS  Google Scholar 

  • O’Leary DD, Hope K, Sale DG (1998) Influence of gender on post-tetanic potentiation in human dorsiflexors. Can J Physiol Pharmacol 76:772–779. doi:10.1139/cjpp-76-7-8-772

    PubMed  Article  CAS  Google Scholar 

  • Pääsuke M, Ereline J, Gapeyeva H (1998) Twitch potentiation capacity of plantarflexor muscles in endurance and power athletes. Biol Sport 15:171–178

    Google Scholar 

  • Pääsuke M, Ereline J, Gapeyeva H, Torop T (2002) Twitch contractile properties of plantarflexor muscles in female power-trained athletes. Med Sport 55:279–286

    Google Scholar 

  • Pääsuke M, Saapar L, Ereline J, Gapeyeva H, Requena B, Ööpik V (2007) Postactivation potentiation of knee extensor muscles in power- and endurance-trained, and untrained women. Eur J Appl Physiol 101:577–585. doi:10.1007/s00421-007-0532-6

    PubMed  Article  Google Scholar 

  • Petrella RJ, Cunningham DA, Vandervoort AA, Paterson DH (1989) Comparison of twitch potentiation in the gastrocnemius of young and elderly men. Eur J Appl Physiol 58:395–399. doi:10.1007/BF00643515

    Article  CAS  Google Scholar 

  • Rassier DE, MacIntosh BR (2000) Coexistence of potentiation and fatigue in skeletal muscle. Braz J Med Biol Res 33:499–508. doi:10.1590/S0100-879X2000000500003

    PubMed  Article  CAS  Google Scholar 

  • Raudsepp L, Pääsuke M (1995) Gender differences in fundamental movement patterns, motor performances and strength measurements of prepubertal children. Pediatr Exerc Sci 7:294–304

    Google Scholar 

  • Requena B, Ereline J, Gapeyeva H, Pääsuke M (2005) Posttetanic potentiation in knee extensors at high-frequency submaximal percutaneous electrical stimulation. J Sport Rehabil 14:248–257

    Google Scholar 

  • Sale DG (2002) Postactivation potentiation: role in human performance. Exerc Sport Sci Rev 30:138–143. doi:10.1097/00003677-200207000-00008

    PubMed  Article  Google Scholar 

  • Shima N, Rice CL, Ota Y, Yabe K (2006) The effect of postactivation potentiation on the mechanomyogram. Eur J Appl Physiol 96:17–23. doi:10.1007/s00421-005-0053-0

    PubMed  Article  Google Scholar 

  • Sieck GC, Prakash YS (1995) Fatigue at the neuromuscular junction: branch point vs. presynaptic mechanisms. Adv Exp Med Biol 384:83–100

    PubMed  CAS  Google Scholar 

  • Söderlund K, Greenhaff PL, Hultman E (1990) Energy metabolism in type I and type II human muscle fibers during short term electrical stimulation at different frequencies. Acta Physiol Scand 144:15–22

    Article  Google Scholar 

  • Stein RB, Parmiggiani F (1979) Optimal motor patterns for activating mammalian muscle. Brain Res 175:372–376. doi:10.1016/0006-8993(79)91019-9

    PubMed  Article  CAS  Google Scholar 

  • Strojnik V (1995) Muscle activation level during maximal voluntary effort. Eur J Appl Physiol 72:144–149. doi:10.1007/BF00964129

    Article  CAS  Google Scholar 

  • Sweeney HL, Bowman BF, Stull JT (1993) Myosin light chain phosphorylation in vertebrate striated muscle: regulation and function. Am J Physiol Cell Physiol 264:C1085–C1095

    CAS  Google Scholar 

  • Vandenboom R, Houston ME (1996) Phosphorylation of myosin and twitch potentiation in fatigued skeletal muscle. Can J Physiol Pharmacol 74:1315–1321. doi:10.1139/cjpp-74-12-1315

    PubMed  Article  CAS  Google Scholar 

  • Vandenboom R, Xeni J, Bestic NM, Houston ME (1997) Increased force development rates of fatigued mouse skeletal muscle are graded to myosin light chain phosphate content. Am J Physiol 272:R1980–R1984

    PubMed  CAS  Google Scholar 

  • Vandervoort AA, Quinlan J, McComas AJ (1983) Twitch potentiation after voluntary contraction. Exp Neurol 81:141–152. doi:10.1016/0014-4886(83)90163-2

    PubMed  Article  CAS  Google Scholar 

  • Ward AR, Shkuratova N (2002) Russian electrical stimulation: the early experiments. Phys Ther 82:1019–1030

    PubMed  Google Scholar 

  • Zhi G, Ryder JW, Huang J, Ding P, Chen Y, Zhao Y et al (2005) Myosin light chain kinase and myosin phosphorylation effect frequency-dependent potentiation of skeletal muscle contraction. Proc Natl Acad Sci USA 48:17519–17524. doi:10.1073/pnas.0506846102

    Article  CAS  Google Scholar 

Download references

Author information

Affiliations

Authors

Corresponding author

Correspondence to Bernardo Requena.

Rights and permissions

Reprints and Permissions

About this article

Cite this article

Requena, B., Gapeyeva, H., García, I. et al. Twitch potentiation after voluntary versus electrically induced isometric contractions in human knee extensor muscles. Eur J Appl Physiol 104, 463 (2008). https://doi.org/10.1007/s00421-008-0793-8

Download citation

  • Accepted:

  • Published:

  • DOI: https://doi.org/10.1007/s00421-008-0793-8

Keywords

  • Postactivation potentiation
  • Human knee extensor muscles
  • Electrical stimulation
  • Twitch contraction