Skip to main content

Comparison between leg and arm eccentric exercises of the same relative intensity on indices of muscle damage

Abstract

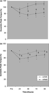
Many exercise models have demonstrated associations between eccentric muscle actions and muscle damage. However, the magnitude of muscle damage varies among the models. It appears that responses to eccentric exercise are different between leg and arm muscles but this has not been systematically clarified. This study compared leg and arm eccentric exercises of the same relative intensity for indices of muscle damage. Eleven healthy untrained males [Age: 21.2 (1.0) years, Height: 179.4 (3.0) cm, Weight: 78.4 (3.1) kg] performed a sub-maximal eccentric exercise of the knee extensors (LEGS) and the elbow flexors (ARMS), separately. Both LEGS and ARMS consisted of six sets of 12 repetitions with an intensity corresponding to 75% of the predetermined maximal eccentric peak torque (EPT) of each muscle. Range of motion (ROM), delayed onset muscle soreness (DOMS), serum creatine kinase (CK) and lactate dehydrogenase (LDH) activities, myoglobin (Mb) concentration, and muscle strength [EPT and isometric peak torque (IPT)] were assessed before and 24, 48, 72, and 96 h following exercise. Significant (P<0.05) changes in DOMS and ROM were observed up to 96 h after both exercise bouts, and the magnitude of the change was similar between LEGS and ARMS. Increases in CK and Mb were significantly (P<0.05) larger after ARMS than LEGS at 72 and 96 h post-exercise. EPT and IPT were significantly (P<0.05) lower than the baseline up to 96 h post-exercise for ARMS but were fully recovered by 96 h post-exercise for LEGS. Decreases in muscle strength were significantly (p<0.05) larger following ARMS than LEGS at 48, 72, and 96 h post-exercise for EPT, and from 24 h to 96 h post-exercise for IPT. These results suggest that the magnitude of muscle damage is greater and the recovery of muscle function was slower after eccentric exercise of arm elbow flexors than the knee extensors.

This is a preview of subscription content, access via your institution.

Fig. 1

References

  • Brown SJ, Child RB, Day SH, Donnelly AE (1997) Indices of skeletal muscle damage and connective tissue breakdown following eccentric muscle contractions. Eur J Appl Physiol Occup Physiol 75(4):369–374

    CAS  PubMed  Google Scholar 

  • Clarkson PM, Tremblay I (1988) Exercise-induced muscle damage, repair and adaptation in humans. J Appl Physiol 65(1):1–6

    CAS  PubMed  Google Scholar 

  • Clarkson PM, Nosaka K, Braun B (1992) Muscle function after exercise-induced muscle damage and rapid adaptation. Med Sci Sports Exerc 24(5):512–520

    CAS  PubMed  Google Scholar 

  • Dolezal BA, Potteiger JA, Jacobsen DJ, Benedict SH (2000) Muscle damage and resting metabolic rate after acute resistance exercise with an eccentric overload. Med Sci Sports Exerc 32(7):1202–1207

    CAS  PubMed  Google Scholar 

  • Friden J (1984) Changes in human skeletal muscle induced by long-term eccentric exercise. Cell Tissue Res 236(2):365–372

    CAS  PubMed  Google Scholar 

  • Friden J, Lieber RL (2001) Eccentric exercise-induced injuries to contractile and cytoskeletal muscle fiber components. Acta Physiol Scand 171:321–326

    CAS  PubMed  Google Scholar 

  • Hortobagyi T, Houmard J, Fraser D, Dudek R, Lambert J, Tracy J (1998) Normal forces and myofibrillar disruption after repeated eccentric exercise. J Appl Physiol 84(2):492–498

    CAS  PubMed  Google Scholar 

  • Jamurtas AZ, Fatouros IG, Buckenmeyer P, Kokkinidis E, Kambas A, Kyriazis G (2000) Effects of plyometric exercise on muscle soreness and plasma creatine kinase levels and its comparison with eccentric and concentric exercise. J Strength Cond Res 14(1):68–74

    Google Scholar 

  • Jones DA, Newham DJ, Clarkson PM (1987) skeletal muscle stiffness and pain following eccentric exercise of the elbow flexors. Pain 30(2):233–242

    CAS  PubMed  Google Scholar 

  • Jones D, Round J, de Haan A (2004) Muscle pain and damage. In: Jones D, Round J, de Haan A (eds) Skeletal muscle from molecules to movement. Churchill and Livingstone, London, pp 135–150

    Google Scholar 

  • Kellis E, Baltzopoulos V (1995) Isokinetic eccentric exercise. Sports Med 19(3):202–222

    CAS  PubMed  Google Scholar 

  • Klein CS, Marsh GD, Petrella RJ, Rice CL (2003) Muscle fiber number in the biceps brachii muscle of young and old men. Muscle Nerve 28(1):62–8

    PubMed  Google Scholar 

  • Lee J, Clarkson PM (2003) Plasma creatine kinase activity and glutathione after eccentric exercise. Med Sci Sports Exerc 35(6):930–936

    CAS  PubMed  Google Scholar 

  • Lieber RL, Friden J (1988) Selective damage of fast glycolytic muscle fibers with eccentric contraction of the rabbit tibialis anterior. Acta Physiol Scand 133:587–588

    CAS  PubMed  Google Scholar 

  • McHugh MP (2003) Recent advances in the understanding of the repeated bout effect: the protective effect against muscle damage from a single bout of eccentric exercise. Scand J Med Sci Sports 13(2):88–97

    PubMed  Google Scholar 

  • Mense S, Schmidt RF (1977) Muscle pain: which receptors are responsible for the transmission of noxious stimuli? In: Rose FC (ed) Physiological aspects of Clinical Neurology. Blackwell, Oxford, pp 265–278

    Google Scholar 

  • Newham DJ, Jones DA, Ghosh G, Aurora P (1988) Muscle fatigue and pain after eccentric contractions at long and short length. Clin Sci (Lond) 74(5):553–557

    CAS  Google Scholar 

  • Nosaka K, Clarkson PM (1995) Muscle damage following repeated bouts of high force eccentric exercise. Med Sci Sports Exerc 27(9):1263–1269

    CAS  PubMed  Google Scholar 

  • Nosaka K, Newton M (2002) Difference in the magnitude of muscle damage between maximal and submaximal eccentric loading. J Strength Cond Res 16(2):202–208

    PubMed  Google Scholar 

  • Nosaka K, Clarkson PM, McGuiggin ME, Byrne JM (1991) Time course of muscle adaptation after high force eccentric exercise. Eur J Appl Physiol 63:70–76

    CAS  Google Scholar 

  • Nosaka K, Sakamoto K, Newton M, Sacco P (2001) The repeated bout effect of reduced-load eccentric exercise on elbow flexor muscle damage. Eur J Appl Physiol 85(1–2):34–40

    CAS  PubMed  Google Scholar 

  • Nosaka K, Newton M, Sacco P (2002) Delayed-onset muscle soreness does not reflect the magnitude of eccentric exercise-induced muscle damage. Scand J Med Sci Sports 12(6):337–346

    PubMed  Google Scholar 

  • Paddon-Jones D, Abernethy PJ (2001) Acute adaptation to low volume eccentric exercise. Med Sci Sports Exerc 33(7):1213–1219

    CAS  PubMed  Google Scholar 

  • Prou E, Guevel A, Benezet P, Marini JF (1999) Exercise-induced muscle damage: absence of adaptive effect after a single session of eccentric isokinetic heavy resistance exercise. J Sports Med Phys Fitness 39(3):226–232

    CAS  PubMed  Google Scholar 

  • Sorichter S, Mair J, Koller A, Calzolari C, Huonker M, Pau B, Puschendorf B (2001). Release of muscle proteins after downhill running in male and female subjects. Scand J Med Sci Sports 11(1):28–32

    CAS  PubMed  Google Scholar 

  • Thomas JR, Nelson JK (1996) Research methods in physical activity. Human Kinetics, Champaign, pp 194–211

    Google Scholar 

  • Travnik L, Pernus F, Erzen I (1995) Histochemical and morphometric characteristics of the normal human vastus medialis longus and vastus medialis obliquus muscles. J Anat 187(2):403–411

    PubMed  Google Scholar 

  • Warren GL, Lowe DA, Arnstrong RB (1999) Measurement tools used in the study of eccentric contraction-induced injury. Sports Med 27(1):43–59

    CAS  PubMed  Google Scholar 

Download references

Author information

Affiliations

Authors

Corresponding author

Correspondence to Athanasios Z. Jamurtas.

Rights and permissions

Reprints and Permissions

About this article

Cite this article

Jamurtas, A.Z., Theocharis, V., Tofas, T. et al. Comparison between leg and arm eccentric exercises of the same relative intensity on indices of muscle damage. Eur J Appl Physiol 95, 179–185 (2005). https://doi.org/10.1007/s00421-005-1345-0

Download citation

  • Accepted:

  • Published:

  • Issue Date:

  • DOI: https://doi.org/10.1007/s00421-005-1345-0

Keywords

  • Isokinetic torque
  • Muscle soreness
  • Creatine kinase
  • Myoglobin
  • Range of motion
  • Elbow flexors
  • Knee extensors