Skip to main content

The effect of postactivation potentiation on the mechanomyogram

Abstract

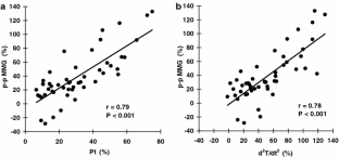
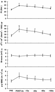
To examine whether postactivation potentiation (PAP) was related to changes in the electromyogram (EMG) and in the mechanomyogram (MMG), evoked twitch torque properties were compared before and after a 10 s plantar flexion MVC in ten male subjects. Peak twitch torque (Pt), and the peak acceleration of the twitch torque development (d2 T/dt 2) were measured from electrical tibial nerve stimulation. In addition, from the medial gastrocnemius muscle, peak to peak MMG (p-p MMG) by means of accelerometer, and peak to peak EMG (M-wave) amplitudes were recorded. Immediately (2 s) following the MVC there were significant increases in Pt (47%), d2 T/dt 2 (86%), and p-p MMG (70%), but no change in the M-wave. At 2 s, 15 s, 30 s after the MVC, individual percent changes in p-p MMG were significantly and positively correlated with individual percent changes in both Pt and d2 T/dt 2. These results indicate that evoked MMG reflects acute enhanced force output elicited by PAP, and that the increases in twitch contraction properties represent intrinsic mechanical changes of the muscle, that are not associated with electrical changes. Furthermore, measurements of the evoked p-p MMG signal following PAP support the utility of describing the gross lateral movement phase of the MMG signal.

This is a preview of subscription content, access via your institution.

Fig. 1
Fig. 2
Fig. 3
Fig. 4
Fig. 5
Fig. 6

References

  • Akataki K, Mita K, Watakabe M, Itoh K (2001) Mechanomyogram and force relationship during voluntary isometric ramp contractions of the biceps brachii muscle. Eur J Appl Physiol 84:19–25

    PubMed  Article  CAS  Google Scholar 

  • Akataki K, Mita K, Watakabe M, Itoh K (2002) Age-related change in motor unit activation strategy in force production: a mechanomyographic investigation. Muscle Nerve 25:505–512

    PubMed  Article  Google Scholar 

  • Akataki K, Mita K, Watakabe M, Itoh K (2003) Mechanomyographic responses during voluntary ramp contractions of the human first dorsal interosseous muscle. Eur J Appl Physiol 89:520–525

    PubMed  Article  Google Scholar 

  • Barry DT (1987) Acoustic signals from frog skeletal muscle. Biophys J 51:769–773

    PubMed  CAS  Google Scholar 

  • Barry DT (1992) Vibrations and sounds from evoked muscle twitches. Electromyogr Clin Neurophysiol 32:35–40

    PubMed  CAS  Google Scholar 

  • Barry DT, Cole NM (1988) Fluid mechanics of muscle vibrations. Biophys J 53:899–905

    PubMed  CAS  Article  Google Scholar 

  • Barry DT, Geiringer SR, Ball RD (1985) Acoustic myography: a noninvasive monitor of motor unit fatigue. Muscle Nerve 8:189–194

    PubMed  Article  CAS  Google Scholar 

  • Barry DT, Gordon KE, Hinton GG (1990) Acoustic and surface EMG diagnosis of pediatric muscle disease. Muscle Nerve 13:286–290

    PubMed  Article  CAS  Google Scholar 

  • Barry DT, Hill T, Im D (1992) Muscle fatigue measured with evoked muscle vibrations. Muscle Nerve 15:303–309

    PubMed  Article  CAS  Google Scholar 

  • Beck TW, Housh TJ, Johnson GO, Weir JP, Cramer JT, Coburn JW, Malek MH (2004) Mechanomyographic and electromyographic amplitude and frequency responses during fatiguing isokinetic muscle actions of the biceps brachii. Electromyogr Clin Neurophysiol 44:431–441

    PubMed  CAS  Google Scholar 

  • Bichler E (2000) Mechanomyograms recorded during evoked contractions of single motor units in the rat medial gastrocnemius muscle. Eur J Appl Physiol 83:310–319

    PubMed  Article  CAS  Google Scholar 

  • Bichler E, Celichowski J (2001) Changes in the properties of mechanomyographic signals and in the tension during the fatigue test of rat medial gastrocnemius muscle motor units. J Electromyogr Kinesiol 11:387–394

    PubMed  Article  CAS  Google Scholar 

  • Cramer JT, Housh TJ, Weir JP, Ebersole KT, Perry-Rana SR, Bull AJ, Johnson GO (2003) Cross-correlation analyses of mechanomyographic signals from the superficial quadriceps femoris muscles during concentric and eccentric isokinetic muscle actions. Electromyogr Clin Neurophysiol 43:293–300

    PubMed  CAS  Google Scholar 

  • Ebersole KT, Housh TJ, Johnson GO, Evetovich TK, Smith DB, Perry SR (1999) MMG and EMG responses of the superficial quadriceps femoris muscles. J Electromyogr Kinesiol 9:219–227

    PubMed  Article  CAS  Google Scholar 

  • Kawakami Y, Amemiya K, Kanehisa H, Ikegawa S, Fukunaga T (2000) Fatigue responses of human triceps surae muscles during repetitive maximal isometric contractions. J Appl Physiol 88:1969–1975

    PubMed  CAS  Google Scholar 

  • Maton B, Petitjean M, Cnockaert JC (1990) Phonomyogram and electromyogram relationships with isometric force reinvestigated in man. Eur J Appl Physiol Occup Physiol 60:194–201

    PubMed  Article  CAS  Google Scholar 

  • O’Leary DD, Hope K, Sale DG (1997) Posttetanic potentiation of human dorsiflexors. J Appl Physiol 83:2131–2138

    PubMed  CAS  Google Scholar 

  • Orizio C (1993) Muscle sound: bases for the introduction of a mechanomyographic signal in muscle studies. Crit Rev Biomed Eng 21:201–243

    PubMed  CAS  Google Scholar 

  • Orizio C, Diemont B, Esposito F, Alfonsi E, Parrinello G, Moglia A, Veicsteinas A (1999) Surface mechanomyogram reflects the changes in the mechanical properties of muscle at fatigue. Eur J Appl Physiol Occup Physiol 80:276–284

    PubMed  Article  CAS  Google Scholar 

  • Orizio C, Gobbo M, Diemont B, Esposito F, Veicsteinas A (2003) The surface mechanomyogram as a tool to describe the influence of fatigue on biceps brachii motor unit activation strategy. Historical basis and novel evidence. Eur J Appl Physiol 90:326–336

    PubMed  Article  Google Scholar 

  • Orizio C, Perini R, Veicsteinas A (1989) Muscular sound and force relationship during isometric contraction in man. Eur J Appl Physiol Occup Physiol 58:528–533

    PubMed  Article  CAS  Google Scholar 

  • Perry-Rana SR, Housh TJ, Johnson GO, Bull AJ, Berning JM, Cramer JT (2002) MMG and EMG responses during fatiguing isokinetic muscle contractions at different velocities. Muscle Nerve 26:367–373

    PubMed  Article  Google Scholar 

  • Rassier DE, MacIntosh BR (2000) Coexistence of potentiation and fatigue in skeletal muscle. Braz J Med Biol Res 33:499–508

    PubMed  Article  CAS  Google Scholar 

  • Sale DG (2002) Postactivation potentiation: role in human performance. Exerc Sport Sci Rev 30:138–143

    PubMed  Article  Google Scholar 

  • Sale D, Quinlan J, Marsh E, McComas AJ, Belanger AY (1982) Influence of joint position on ankle plantarflexion in humans. J Appl Physiol 52:1636–1642

    PubMed  CAS  Google Scholar 

  • Søgaard K, Blangsted AK, Jørgensen LV, Madeleine P, Sjøgaard G (2003) Evidence of long term muscle fatigue following prolonged intermittent contractions based on mechano- and electromyograms. J Electromyogr Kinesiol 13:441–450

    PubMed  Article  Google Scholar 

  • Søgaard K, Orizio C, Sjøgaard G (2004) Surface mechanomyogram amplitude is not attenuated by intramuscular pressure. Eur J Appl Physiol Published online September 15. DOI 10.1007/s00421-004-1211-5

  • Stokes MJ, Dalton PA (1991) Acoustic myography for investigating human skeletal muscle fatigue. J Appl Physiol 71:1422–1426

    PubMed  CAS  Google Scholar 

  • Sweeney HL, Stull JT (1990) Alteration of cross-bridge kinetics by myosin light chain phosphorylation in rabbit skeletal muscle: implications for regulation of actin–myosin interaction. Proc Natl Acad Sci USA 87:414–418

    PubMed  Article  CAS  Google Scholar 

  • Takamori M, Gutmann L, Shane SR (1971) Contractile properties of human skeletal muscle. Normal and thyroid disease. Arch Neurol 25:535–546

    PubMed  CAS  Google Scholar 

  • Vandervoort AA, McComas AJ (1983) A comparison of the contractile properties of the human gastrocnemius and soleus muscles. Eur J Appl Physiol Occup Physiol 51:435–440

    PubMed  Article  CAS  Google Scholar 

  • Vandervoort AA, Quinlan J, McComas AJ (1983) Twitch potentiation after voluntary contraction. Exp Neurol 81:141–152

    PubMed  Article  CAS  Google Scholar 

  • Yoshitake Y, Shinohara M, Ue H, Moritani T (2002) Characteristics of surface mechanomyogram are dependent on development of fusion of motor units in humans. J Appl Physiol 93:1744–1752

    PubMed  Google Scholar 

Download references

Acknowledgments

The authors would like to thank the subjects for their cooperation. We thank Dr. Katsumi Mita, Dr. Kumi Akataki, and Dr. Kimiyoshi Arimura for helpful suggestion and discussions. This study was partly supported by a Grant-in-Aid for Scientific Research 13-308001 from Japan Society for the Promotion of Science.

Author information

Affiliations

Authors

Corresponding author

Correspondence to Norihiro Shima.

Rights and permissions

Reprints and Permissions

About this article

Cite this article

Shima, N., Rice, C.L., Ota, Y. et al. The effect of postactivation potentiation on the mechanomyogram. Eur J Appl Physiol 96, 17–23 (2006). https://doi.org/10.1007/s00421-005-0053-0

Download citation

  • Accepted:

  • Published:

  • Issue Date:

  • DOI: https://doi.org/10.1007/s00421-005-0053-0

Keywords

  • Twitch potentiation
  • MMG
  • EMG
  • Medial gastrocnemius muscle
  • Plantar flexion