Skip to main content

Rechallenging subjects with occupational asthma due to toluene diisocyanate (TDI), after long-term removal from exposure

Abstract

Objectives

Aims of this study were to define (1) whether toluene diisocyanate (TDI) bronchial hyper-responsiveness persists in subjects with occupational asthma after long-term cessation of exposure; (2) whether evolution of specific bronchial TDI sensitization and symptoms and functional abnormalities of asthma were coincident, and (3) the determinants at the time of diagnosis of patients’ outcome.

Methods

Twenty-five nonatopic spray painters with occupational asthma due to TDI were re-examined 58 ± 7 (46–73) months after removal from exposure. On both examinations, the severity of asthmatic symptoms and the need for antiasthma treatment over the past 12 months were graded and lung function tests, measurement of airway responsiveness to methacholine (PD20), circulating total IgE and TDI-HSA specific IgE, skin tests with common inhalant allergens and specific bronchial challenge with TDI were carried out.

Results

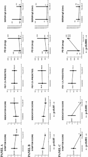
Seven subjects were still TDI-reactors and 18 lost reactivity to it. All persistent reactors had still asthma and their symptom score, medication score, FEV1, PD20 and serum IgE were unchanged between assessments. In the 18 subjects no longer responsive to TDI, 8 had still features of asthma: their symptom and medication score had improved significantly, but FEV1, PD20 and serum IgE had not significantly changed; the other ten patients no longer reactors to TDI were also asymptomatic and their PD20 had become normal. The duration of symptomatic exposure to TDI was the only feature at diagnosis that differentiated patients with persistent TDI airway hyper-responsiveness and asthma from those who were no longer responsive to TDI but still asthmatic and those who were no longer responsive to TDI and no longer asthmatic (4 ± 1.6; 2.1 ± 0.8; 0.6 ± 0.3 years, respectively; < 0.001).

Conclusion

our study demonstrates that airway sensitization to TDI and symptoms and functional airway abnormalities of asthma can persist for years after cessation of exposure and may have different outcome. If avoidance of the offending agent takes place within few months after the development of symptoms, remission of asthma and of TDI bronchial hyper-responsiveness can occur, whereas waiting for years makes it too late to cure asthma and, in the end, to reverse specific sensitization.

This is a preview of subscription content, access via your institution.

Fig. 1

References

  • Aas K, Belin L (1973) Standardization of diagnostic work in allergy. Int Arch Allergy 45:57–60

    PubMed  CAS  Google Scholar 

  • Banks D (2003) Use of the specific challenge in the diagnosis of occupational asthma: a gold standard test or a test not used in current practice of occupational asthma? Curr Opin Allergy Clin Immunol 3:101–107

    PubMed  Article  Google Scholar 

  • Barnes PJ, Drazen JM (2002) Pathophysiology of asthma. In: Barnes PJ, Drazen JM, Rennard S, Thomson NC (eds) Asthma and COPD. Academic Press, Amsterdam pp 343–359

    Google Scholar 

  • Baur X, Huber H, Degens PO, et al (1998) Relation between occupational asthma case history, bronchial methacholine challenge and specific challenge test in patients with suspected occupational asthma. Am J Ind Med 33:114–122

    PubMed  Article  CAS  Google Scholar 

  • Butcher B, O’Neil C, Reed M, et al (1982) Development and loss of toluene diisocyanate reactivity:immunologic, pharmacologic and provocative challenge studies. J Allergy Clin Immunol 70:231–235

    PubMed  Article  CAS  Google Scholar 

  • Cartier A, Malo JL (1999) Occupational challenge test. In: Bernstein IL, Chan-Yeung M, Malo JL, Bernstein DI (eds) Asthma in the workplace. Marcel Dekker, New York, pp 211–233

    Google Scholar 

  • Lemiere C, Cartier A, Dolovich M, et al (1996) Outcome of specific bronchial responsiveness to occupational agents after removal from exposure. Am J Respir Crit Care Med 154:329–333

    PubMed  CAS  Google Scholar 

  • Mapp CE, Chiesura Corona P, De Marzo N, et al (1988) Persistent asthma due to isocyanates. A follow-up study of subjects with occupational asthma due to toluene diisocyanate (TDI). Am Rev Respir Dis 137:1326–1329

    PubMed  CAS  Google Scholar 

  • Mapp CE, Newmann Taylor AJ (2003) Occupational asthma with latency (sensitizer-induced occupational asthma): factors predisposing to sensitization, development and persistence of symptoms. Proceedings of the first Jack Pepys occupational asthma symposium. Am J Respir Crit Care Med 167:454–456

    Google Scholar 

  • Merget R, Reineke M, Rueckmann A, et al (1994) Nonspecific and specific bronchial responsiveness in occupational asthma caused by platinum salts after allergen avoidance. Am J Respir Crit Care Med 150:1146–1149

    PubMed  CAS  Google Scholar 

  • Moller D, Brooks S, McKay R, et al (1986) Chronic asthma due to toluene disocyanate. Chest 90:494–499

    PubMed  CAS  Google Scholar 

  • Moller D, McKay R, Bernstein IL, et al (1986) Persistent airways diseases caused by toluene diisocyanate. Am Rev Respir Dis 134:175–176

    Google Scholar 

  • Official Statement of the European Respiratory Society (1993) Standardized lung function testing. Eur Respir J 6(16):1–100

    Google Scholar 

  • Padoan M, Pozzato V, Simoni M, et al (2003) Long-term follow u-up of toluene diisocyanate-induced asthma. Eur Respir J 21:637–640

    PubMed  CAS  Article  Google Scholar 

  • Paggiaro PL, Vagaggini B, Denti FL, et al (1993) Bronchial hyperresponsiveness and toluene diisocyanates.Long-term change in sensitized asthmatic subjects. Chest 103:1123–1128

    PubMed  CAS  Google Scholar 

  • Perfetti L, Cartier A, Ghezzo H, et al (1998) Follow-up of occupational asthma after removal from or diminution of exposure to the responsible agent. Chest 114:398–403

    PubMed  CAS  Google Scholar 

  • Perrin B, Cartier A, Ghezzo H, et al (1991) Reassessment of the temporal patterns of bronchial obstruction after exposure to occupational sensitizing agents. J Allergy Clin Immunol 87:630–639

    PubMed  Article  CAS  Google Scholar 

  • Pisati G, Baruffini A, Zedda S (1993) Toluene diisocyanate asthma: outcome according to persistence or cessation of exposure. Br J Ind Med 50:60–64

    PubMed  CAS  Google Scholar 

  • Rosenberg N, Garnier R, Rousselin X, et al (1987) Clinical and socio-professional fate of isocyanate induced asthma. Clin Allergy 17:55–61

    PubMed  Article  CAS  Google Scholar 

  • Saetta M, Maestrelli P, Turato G, et al (1995) Airway wall remodelling after cessation of exposure to isocyanates in sensitized asthmatic subjects. Am Rev Respir Dis 151:489–494

    CAS  Google Scholar 

  • Vandenplas O, Malo JL, Saetta M, et al (1993) Occupational asthma and extrinsic alveolitis due to isocyanates: current status and perspectives. Br J Ind Med 50:213–218

    PubMed  CAS  Google Scholar 

Download references

Author information

Affiliations

Authors

Corresponding author

Correspondence to G. Pisati.

Rights and permissions

Reprints and Permissions

About this article

Cite this article

Pisati, G., Baruffini, A., Bernabeo, F. et al. Rechallenging subjects with occupational asthma due to toluene diisocyanate (TDI), after long-term removal from exposure. Int Arch Occup Environ Health 80, 298–305 (2007). https://doi.org/10.1007/s00420-006-0134-3

Download citation

  • Received:

  • Accepted:

  • Published:

  • Issue Date:

  • DOI: https://doi.org/10.1007/s00420-006-0134-3

Keywords

  • Toluene diisocyanate
  • Asthma outcome
  • Specific bronchial hyper-responsiveness