Skip to main content

Incidence and risk factors for retinal detachment after cataract surgery in Korea: a nationwide population-based study from 2011 to 2015

Abstract

Purpose

To evaluate the incidence and risk factors for retinal detachment (RD) after cataract surgery in the years 2011 to 2015 in Korea.

Methods

A nationwide retrospective cohort study was performed using health claim data from the Korean National Health Insurance Service (KNHIS) database. Patients over 40 years of age who underwent cataract surgery from 2011 and 2015 in Korea were retrospectively identified using Korean Electronic Data Interchange (KEDI) code and Korean Classification of Diseases (KCD)-7 code.

Results

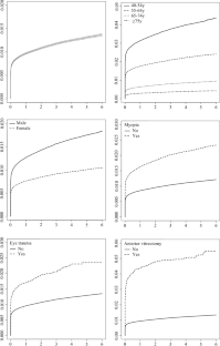
A total of 2,191,510 eyes in 1,455,968 patients (58.63% female; mean age, 69.19 ± 9.82 years) underwent cataract surgery from 2011 to 2015 in Korea and 17,351 patients experienced RD (45.4% female; mean age, 60.89 ± 10.21 years). The 5-year cumulative risk of RD after cataract surgery was 1.19%, and 80.9% of RD occurred within 1 year after cataract surgery. In multivariate analysis, adjusted hazard ratio (HR) of RD was 1.335 [95% confidence interval (CI), 1.293–1.378] for male gender, 1.422 [95% CI, 1.371–1.475] for preoperative myopia, and 2.596 [95% CI, 2.367–2.849] for anterior vitrectomy during cataract surgery. Younger age was one of the factors highly associated with RD after cataract surgery, with HR [95% CI], 5.873 [5.527–6.240] in 40 to 54 years of age, 4.037 [3.811–4.277] in 55 to 64 years, and 2.026 [1.911–2.147] in 65 to 74 years. Adjusted HR of RD for surgery in secondary and primary healthcare centers were 0.495 [95% CI, 0.477–0.513] and 0.108 [95% CI, 0.104–0.113], respectively. Residence in non-metropolitan area and lower household income was associated with higher risk of RD.

Conclusions

Younger age, anterior vitrectomy for posterior capsule rupture, preoperative myopia, male gender, surgery in tertiary referral centers, residence in non-metropolitan area, and lower household income were associated with an increased risk of RD after cataract surgery. The optimal timing of cataract surgery should be determined considering patient’s risk factors, and appropriate pre- and postoperative evaluation is needed to prevent RD in patients with higher risks.

This is a preview of subscription content, access via your institution.

Fig. 1
Fig. 2
Fig. 3

References

  1. Thylefors B, Negrel AD, Pararajasegaram R, Dadzie KY (1995) Global data on blindness. Bull World Health Organ 73:115–121

    CAS  PubMed Central  PubMed  Google Scholar 

  2. Erie JC, Baratz KH, Hodge DO, Schleck CD, Burke JP (2007) Incidence of cataract surgery from 1980 through 2004: 25-year population-based study. J Cataract Refract Surg 33:1273–1277

    Article  Google Scholar 

  3. Semmens JB, Li J, Morlet N, Ng J, teamEpswa (2003) Trends in cataract surgery and postoperative endophthalmitis in Western Australia (1980-1998): the Endophthalmitis Population Study of Western Australia. Clin Exp Ophthalmol 31:213–219

    Article  Google Scholar 

  4. Haddad WM, Monin C, Morel C, Larricart P, Quesnot S, Ameline B, Loison K, Belghiti A, Laroche L (2002) Retinal detachment after phacoemulsification: a study of 114 cases. Am J Ophthalmol 133:630–638

    Article  Google Scholar 

  5. Clark A, Morlet N, Ng JQ, Preen DB, Semmens JB (2011) Whole population trends in complications of cataract surgery over 22 years in Western Australia. Ophthalmology 118:1055–1061

    Article  Google Scholar 

  6. Park SJ, Choi NK, Park KH, Woo SJ (2013) Five year nationwide incidence of rhegmatogenous retinal detachment requiring surgery in Korea. PLoS One 8:e80174

    Article  PubMed  Google Scholar 

  7. Laatikainen L, Tolppanen EM, Harju H (1985) Epidemiology of rhegmatogenous retinal detachment in a Finnish population. Acta Ophthalmol 63:59–64

    CAS  Article  Google Scholar 

  8. Bechrakis NE, Dimmer A (2018) Rhegmatogenous retinal detachment : epidemiology and risk factors. Ophthalmologe 115:163–178

    CAS  Article  Google Scholar 

  9. Mitry D, Charteris DG, Fleck BW, Campbell H, Singh J (2010) The epidemiology of rhegmatogenous retinal detachment: geographical variation and clinical associations. Br J Ophthalmol 94:678–684

    CAS  Article  Google Scholar 

  10. Erie JC, Raecker MA, Baratz KH, Schleck CD, Burke JP, Robertson DM (2006) Risk of retinal detachment after cataract extraction, 1980-2004: a population-based study. Ophthalmology 113:2026–2032

    Article  Google Scholar 

  11. Sheu SJ, Ger LP, Ho WL (2010) Late increased risk of retinal detachment after cataract extraction. Am J Ophthalmol 149:113–119

    Article  Google Scholar 

  12. Sheu SJ, Ger LP, Chen JF (2007) Male sex as a risk factor for pseudophakic retinal detachment after cataract extraction in Taiwanese adults. Ophthalmology 114:1898–1903

    Article  PubMed  Google Scholar 

  13. Quek DT, Lee SY, Htoon HM, Ang CL (2012) Pseudophakic rhegmatogenous retinal detachment in a large Asian tertiary eye centre: a cohort study. Clin Exp Ophthalmol 40:e1–e7

    Article  PubMed  Google Scholar 

  14. Daien V, Le Pape A, Heve D, Carriere I, Villain M (2015) Incidence, risk factors, and impact of age on retinal detachment after cataract surgery in France: a National Population Study. Ophthalmology 122:2179–2185

    Article  PubMed  Google Scholar 

  15. Boberg-Ans G, Villumsen J, Henning V (2003) Retinal detachment after phacoemulsification cataract extraction. J Cataract Refract Surg 29:1333–1338

    Article  PubMed  Google Scholar 

  16. Russell M, Gaskin B, Russell D, Polkinghorne PJ (2006) Pseudophakic retinal detachment after phacoemulsification cataract surgery: ten-year retrospective review. J Cataract Refract Surg 32:442–445

    Article  PubMed  Google Scholar 

  17. Laube T, Brockmann C, Lehmann N, Bornfeld N (2017) Pseudophakic retinal detachment in young-aged patients. PLoS One 12:e0184187

    Article  PubMed  Google Scholar 

  18. Neuhann IM, Neuhann TF, Heimann H, Schmickler S, Gerl RH, Foerster MH (2008) Retinal detachment after phacoemulsification in high myopia: analysis of 2356 cases. J Cataract Refract Surg 34:1644–1657

    Article  PubMed  Google Scholar 

  19. Lin LL, Shih YF, Tsai CB, Chen CJ, Lee LA, Hung PT, Hou PK (1999) Epidemiologic study of ocular refraction among schoolchildren in Taiwan in 1995. Optom Vis Sci 76:275–281

    CAS  Article  PubMed  Google Scholar 

  20. Jung SK, Lee JH, Kakizaki H, Jee D (2012) Prevalence of myopia and its association with body stature and educational level in 19-year-old male conscripts in Seoul, South Korea. Invest Ophthalmol Vis Sci 53:5579–5583

    Article  Google Scholar 

  21. Saw SM, Katz J, Schein OD, Chew SJ, Chan TK (1996) Epidemiology of myopia. Epidemiol Rev 18:175–187

    CAS  Article  Google Scholar 

  22. Tielsch JM, Legro MW, Cassard SD, Schein OD, Javitt JC, Singer AE, Bass EB, Steinberg EP (1996) Risk factors for retinal detachment after cataract surgery. A population-based case-control study. Ophthalmology 103:1537–1545

    CAS  Article  Google Scholar 

  23. Wong TY, Tielsch JM, Schein OD (1999) Racial difference in the incidence of retinal detachment in Singapore. Arch Ophthalmol 117:379–383

    CAS  Article  Google Scholar 

  24. Tuft SJ, Minassian D, Sullivan P (2006) Risk factors for retinal detachment after cataract surgery: a case-control study. Ophthalmology 113:650–656

    Article  Google Scholar 

  25. Smith PW, Stark WJ, Maumenee AE, Enger CL, Michels RG, Glaser BM, Bonham RD (1987) Retinal detachment after extracapsular cataract extraction with posterior chamber intraocular lens. Ophthalmology 94:495–504

    CAS  Article  Google Scholar 

  26. Wilkinson CP, Anderson LS, Little JH (1978) Retinal detachment following phacoemulsification. Ophthalmology 85:151–156

    CAS  Article  Google Scholar 

  27. Tuft SJ, Gore DM, Bunce C, Sullivan PM, Minassian DC (2012) Outcomes of pseudophakic retinal detachment. Acta Ophthalmol 90:639–644

    Article  Google Scholar 

  28. Hilford D, Hilford M, Mathew A, Polkinghorne PJ (2009) Posterior vitreous detachment following cataract surgery. Eye (Lond) 23:1388–1392

    CAS  Article  Google Scholar 

  29. Ripandelli G, Coppe AM, Parisi V, Olzi D, Scassa C, Chiaravalloti A, Stirpe M (2007) Posterior vitreous detachment and retinal detachment after cataract surgery. Ophthalmology 114:692–697

    Article  Google Scholar 

  30. Jakobsson G, Montan P, Zetterberg M, Stenevi U, Behndig A, Lundstrom M (2009) Capsule complication during cataract surgery: retinal detachment after cataract surgery with capsule complication: Swedish Capsule Rupture Study Group report 4. J Cataract Refract Surg 35:1699–1705

    Article  Google Scholar 

  31. Sheu SJ, Ger LP, Chen JF (2005) Risk factors for retinal detachment after cataract surgery in southern Taiwan. J Chin Med Assoc 68:321–326

    Article  Google Scholar 

  32. Solborg Bjerrum S, Mikkelsen KL, la Cour M (2015) Epidemiology of 411 140 cataract operations performed in public hospitals and private hospitals/clinics in Denmark between 2004 and 2012. Acta Ophthalmol 93:16–23

    Article  Google Scholar 

  33. Wang W, Yan W, Muller A, He M (2017) A global view on output and outcomes of cataract surgery with national indices of socioeconomic development. Invest Ophthalmol Vis Sci 58:3669–3676

    Google Scholar 

  34. Ng JQ, Morlet N, Semmens JB (2006) Socioeconomic and rural differences for cataract surgery in Western Australia. Clin Exp Ophthalmol 34:317–323

    Article  Google Scholar 

  35. Rim TH, Kim MH, Kim WC, Kim TI, Kim EK (2014) Cataract subtype risk factors identified from the Korea National Health and Nutrition Examination survey 2008-2010. BMC Ophthalmol 14:4

    Article  PubMed  Google Scholar 

Download references

Acknowledgments

This study used data from the NHIS-NCS 2002-2016, which was released by the KNHIS.

Funding

This work was supported by a National Health Insurance Ilsan Hospital grant (NHIMC2018-20-016).

Author information

Affiliations

Authors

Corresponding author

Correspondence to Eun Jee Chung.

Ethics declarations

Disclaimer

The authors alone are responsible for the content and writing of this article.

Conflict of interest

The authors declare that they have no conflict of interest.

Ethical approval

All procedures performed in the study involving human participants were in accordance with the ethical standards of the Institutional Review Board of the National Health Insurance Service Ilsan Hospital, Gyeonggi-do, Korea and with the 1964 Helsinki declaration and its later amendments or comparable ethical standards.

Informed Consent

The requirement for written informed consent was waived because of the retrospective study design.

Additional information

Publisher’s note

Springer Nature remains neutral with regard to jurisdictional claims in published maps and institutional affiliations.

Rights and permissions

Reprints and Permissions

About this article

Verify currency and authenticity via CrossMark

Cite this article

Kim, J., Ryu, S.Y., Hong, J.H. et al. Incidence and risk factors for retinal detachment after cataract surgery in Korea: a nationwide population-based study from 2011 to 2015. Graefes Arch Clin Exp Ophthalmol 257, 2193–2202 (2019). https://doi.org/10.1007/s00417-019-04423-x

Download citation

  • Received:

  • Revised:

  • Accepted:

  • Published:

  • Issue Date:

  • DOI: https://doi.org/10.1007/s00417-019-04423-x

Keywords

  • Cataract surgery
  • Epidemiology
  • Population-based study
  • Retinal detachment