Skip to main content

Changes in first- and second-order multifocal electroretinography in idiopathic macular hole and their correlations with macular hole diameter and visual acuity

Abstract

Purpose

To evaluate the first- and second-order multifocal electroretinography (mfERG) responses in patients with idiopathic macular hole, and their correlations with macular hole diameter measured by optical coherence tomography (OCT) and visual acuity.

Methods

Twenty-four eyes of 24 patients with idiopathic macular hole underwent mfERG and OCT examinations. The response amplitudes and implicit times of the first- and second-order mfERG were analyzed and compared with 20 age-similar normal control subjects. Correlation analyses between visual acuity, apical and basal diameters of the macular hole, and the first- and second-order mfERG amplitudes and implicit times were performed.

Results

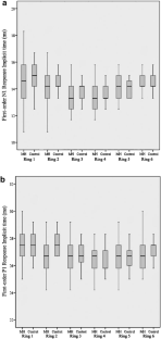
The first-order mfERG N1 and P1 amplitudes in the central two concentric rings were reduced in macular hole eyes compared with controls (p < 0.006). For the second-order mfERG, only the N1 mfERG amplitude was significantly reduced at ring 6 in macular hole eyes compared with controls (p = 0.030). Correlation analysis showed that apical diameter of macular hole was significantly correlated with the first-order N1 amplitude of rings 2 to 5 (p < 0.024), the first-order P1 amplitude of rings 2 to 6 (p < 0.05), as well as the second-order P1 mfERG amplitudes of rings 3 to 6 and N1 amplitudes of rings 3 to 5 (p < 0.05). LogMAR visual acuity showed significant correlation with apical diameter of the macular hole (p = 0.002), and also with the first-order P1 amplitude of ring 2 (p = 0.024).

Conclusion

In eyes with idiopathic macular hole, reductions in first-order mfERG responses are limited to the central macula, while the second-order mfERG response abnormalities involved more of the peripheral macular region. OCT measurement of apical and not the basal diameter of macular hole correlated with the severity of retinal dysfunction assessed by both mfERG and visual acuity.

This is a preview of subscription content, access via your institution.

Fig. 1
Fig. 2
Fig. 3
Fig. 4
Fig. 5
Fig. 6

References

  1. Frangieh GT, Green WR, Engel HM (1981) A histopathologic study of macular cysts and holes. Retina 1:311–336

    Article  CAS  PubMed  Google Scholar 

  2. McDonnell PJ, Fine SL, Hillis AI (1982) Clinical features of idiopathic macular cysts and holes. Am J Ophthalmol 93:777–786

    CAS  PubMed  Google Scholar 

  3. Smiddy WE, Flynn HW Jr (2004) Pathogenesis of macular holes and therapeutic implications. Am J Ophthalmol 137:525–537

    Article  CAS  PubMed  Google Scholar 

  4. Gaudric A, Haouchine B, Massin P, Paques M, Blain P, Erginay A (1999) Macular hole formation: new data provided by optical coherence tomography. Arch Ophthalmol 117:744–751

    CAS  PubMed  Google Scholar 

  5. Mirza RG, Johnson MW, Jampol LM (2007) Optical coherence tomography use in evaluation of the vitreoretinal interface: a review. Surv Ophthalmol 52:397–421

    Article  PubMed  Google Scholar 

  6. Lai TY, Chan WM, Lai RY (2007) The clinical applications of multifocal electroretinography: a systematic review. Surv Ophthalmol 52:61–96

    Article  PubMed  Google Scholar 

  7. Apostolopoulos MN, Koutsandrea CN, Moschos MN (2002) Evaluation of successful macular hole surgery by optical coherence tomography and multifocal electroretinography. Am J Ophthalmol 134:667–674

    Article  PubMed  Google Scholar 

  8. Kondo M, Miyake Y, Horiguchi M, Suzuki S, Tanikawa A (1995) Clinical evaluation of multifocal electroretinogram. Invest Ophthalmol Vis Sci 36:2146–2150

    CAS  PubMed  Google Scholar 

  9. Si Y, Kishi S, Aoyafi K (1999) Assessment of macular function by multifocal electroretinogram before and after macular hole surgery. Br J Ophthalmol 83:420–424

    Article  CAS  PubMed  Google Scholar 

  10. Moschos M, Apostolopoulos M, Ladas J, Theodossiadis P, Malias J, Moschou M, Papaspirou A, Theodossiadis G (2001) Multifocal ERG changes before and after macular hole surgery. Doc Ophthalmol 102:31–40

    Article  CAS  PubMed  Google Scholar 

  11. Hood DC (2000) Assessing retinal function with multifocal technique. Prog Ret Eye Res 19:607–646

    Article  CAS  Google Scholar 

  12. Palmowski AM, Sutter EE, Bearse MA Jr, Fung W (1997) Mapping of retinal function in diabetic retinopathy using the multifocal electroretinogram. Invest Ophthalmol Vis Sci 38:2586–2596

    CAS  PubMed  Google Scholar 

  13. Watzke RC, Shults WT (2002) Clinical features and natural history of the acute idiopathic enlarged blind spot syndrome. Ophthalmology 109:1326–1335

    Article  PubMed  Google Scholar 

  14. Raz D, Perlman I, Percicot CL, Lambrou GN, Ofri R (2003) Functional damage to inner and outer retinal cells in experimental glaucoma. Invest Ophthalmol Vis Sci 44:3675–3684

    Article  PubMed  Google Scholar 

  15. Hood DC, Bach M, Brigell M, Keating D, Kondo M, Lyons JS, Palmowski-Wolfe AM (2008) ISCEV guidelines for clinical multifocal electroretinography (2007 edition). Doc Ophthalmol 116:1–11

    Article  PubMed  Google Scholar 

  16. Ullrich S, Haritoglou C, Gass C, Schaumberger M, Ulbig MW, Kampik A (2002) Macular hole size as a prognostic factor in macular hole surgery. Br J Ophthalmol 86:390–393

    Article  CAS  PubMed  Google Scholar 

  17. Lai TY, Lai RY, Ngai JW, Chan WM, Li H, Lam DS (2008) First and second-order kernel multifocal electroretinography abnormalities in acute central serous chorioretinopathy. Doc Ophthalmol 116:29–40

    Article  PubMed  Google Scholar 

  18. Fish GE, Birch DG (1989) The focal electroretinogram in the clinical assessment of macular disease. Ophthalmology 96:109–114

    CAS  PubMed  Google Scholar 

  19. Chang LK, Koizumi H, Spaide RF (2008) Disruption of the photoreceptor inner segment-outer segment junction in eyes with macular holes. Retina 28:969–975

    Article  PubMed  Google Scholar 

  20. Inoue M, Watanabe Y, Arakawa A, Sato S, Kobayashi S, Kadonosono K (2009) Spectral-domain optical coherence tomography images of inner/outer segment junctions and macular hole surgery outcomes. Graefes Arch Clin Exp Ophthalmol 247:325–330

    Article  PubMed  Google Scholar 

Download references

Author information

Affiliations

Authors

Corresponding author

Correspondence to Timothy Y. Y. Lai.

Rights and permissions

Reprints and Permissions

About this article

Cite this article

Yip, Y.W.Y., Fok, A.C.T., Ngai, J.W.S. et al. Changes in first- and second-order multifocal electroretinography in idiopathic macular hole and their correlations with macular hole diameter and visual acuity. Graefes Arch Clin Exp Ophthalmol 248, 477–484 (2010). https://doi.org/10.1007/s00417-009-1165-8

Download citation

  • Received:

  • Revised:

  • Accepted:

  • Published:

  • Issue Date:

  • DOI: https://doi.org/10.1007/s00417-009-1165-8

Keywords

  • Multifocal electroretinography
  • Macular hole
  • Kernel analysis
  • Optical coherence tomography