Abstract
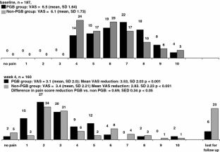
This observational study examined the outcome of two different therapeutic strategies in the treatment of chronic neuropathic pain by including pregabalin (PGB) as mono- or add-on therapy in one of two treatment options. Patients with a pain score of ≥4, refractory to usual care for neuropathic pain for at least 6 months, were allocated consecutively to one of two treatment strategies according to the decision of the physician: complete switch to a flexible-dosage, monotherapeutic or add-on therapy with pregabalin (PGB group), or change established doses and combinations of pre-existing mono- or combination therapy without pregabalin (non-PGB group). After 4 weeks (primary endpoint) a significant improvement in pain reduction was documented in both intention-to treat (ITT) analysis (PGB group, n = 85: mean pain score reduction of 3.53, SD 2.03, p < 0.001; non-PGB group, n = 102; mean pain score reduction of 2.83, SD 2.23, p < 0.001) and per-protocol (PP) analysis (PGB group, n = 79: mean pain score reduction 3.53 vs. 2.83, p < 0.05; non-PGB group, n = 81; 3.5 vs. 2.9, p < 0.05) compared to baseline. Comparison of the results observed in the two groups shows that patients in the PGB group achieved significantly greater pain reduction. These results demonstrate that PGB administered twice daily is superior to treatment regimes without PGB in reducing pain and pain-related interference in quality of life.




References
Backonja M (1999) Managing painful diabetic neuropathy. Hosp Pract 34:79–82
Campbell JN, Basbaum AI, Dray A, Dubner R, Dworkin RH, Sang CN (eds) (2006) Emerging strategies for the treatment of neuropathic pain. IASP Press, Seattle
Dworkin RH (1999) Prevention of postherpetic neuralgia. Lancet 353:1636–1637
Dworkin RH, O’Connor AB, Backonja M, Farrar JT, Finnerup NB, Jensen TS, Kalso EA, Loeser JD, Miaskowski C, Nurmikko TJ, Portenoy RK, Rice AS, Stacey BR, Treede RD, Turk DC, Wallace MS (2007) Pharmacologic management of neuropathic pain: evidence-based recommendations. Pain 132:237–251
Finnerup NB, Otto M, McQuay HJ, Jensen TS, Sindrup SH (2005) Algorithm for neuropathic pain treatment: an evidence based proposal. Pain 118:289–305
Freynhagen R, Grond S, Schüpfer G, Hagebeuker A, Schmelz M, Ziegler D, Von Giesen HJ, Junker U, Wagner KJ, Konrad C (2007) Efficacy and safety of pregabalin in treatment refractory patients with various neuropathic pain entities in clinical routine. Int J Clin Pract 61:1989–1996
Galer BS, Gianas A, Jensen MP (2000) Painful diabetic polyneuropathy: epidemiology, pain description, and quality of life. Diabetes Res Clin Pract 47:123–128
Gilron I, Bailey JM, Tu D, Holden RR, Weaver DF, Houlden RL (2005) Morphine, gabapentin, or their combination for neuropathic pain. N Engl J Med 352:1324–1334
Gilron I, Bailey JM, Tu D, Holden RR, Jackson AC, Houlden RL (2009) Nortriptyline and gabapentin, alone and in combination for neuropathic pain: a double-blind, randomised controlled crossover trial. Lancet 374:1252–1261
Gore M, Brandenburg NA, Hoffman DL, Tai KS, Stacey B (2006) Burden of illness in painful diabetic peripheral neuropathy: the patients’ perspectives. J Pain 7:892–900
Gustorff B, Dorner T, Likar R, Grisold W, Lawrence W, Schwarz F, Rieder A (2008) Prevalence of self-reported neuropathic pain and impact on quality of life: a prospective representative survey. Acta Anaesthesiol Scand 52:132–136
Khoromi S, Cui L, Nackers L, Max MB (2007) Morphine, nortriptyline and their combination versus placebo in patients with chronic lumbar root pain. Pain 130:65–75
Lipman AG (1996) Analgesic drugs for neuropathic and sympathetically maintained pain. Clin Geriatr Med 12:501–515
McQuay HJ, Tramer M, Nye BA, Carroll D, Wiffen PJ, Moore RA (1996) A systematic review of antidepressants in neuropathic pain. Pain 68:217–227
Rice AS, Hill RG (2006) New treatments for neuropathic pain. Annu Rev Med 57:535–551
Savage SR (1999) Opioid use in the management of chronic pain. Med Clin North Am 83:761–786
Stacey BR, Dworkin RH, Murphy K, Sharma U, Emir B, Griesing T (2008) Pregabalin in the treatment of refractory neuropathic pain: results of a 15-month open-label trial. Pain Med 9:1202–1208
Watson CP (2000) A new treatment for post-therapeutic neuralgia. N Engl J Med 343:1563–1565
Acknowledgment
The authors gratefully acknowledge the Austrian Neurological Society and the contributions of all of the investigators for this study. Special thanks to Prof. Stefan Quasthoff, Department of Neurology, Graz Medical University, for fruitful discussion on this paper and valuable suggestions. We would like to thank Dr. Wintersberger from The SPECTRA institute, who was responsible for the coordination, statistical analysis and reporting of the statistics.
Declaration of Interests
Christian Lampl received personal compensation from Glaxo, Pfizer Austria, Mundipharma, Grünenthal, Bayer-Shering, Biogen Idec and Astra Zeneca. Bernhard Haider has nothing to disclose. Christine Schweiger has nothing to disclose. Anita Lechner has nothing to disclose.
Author information
Authors and Affiliations
Corresponding author
Rights and permissions
About this article
Cite this article
Lampl, C., Schweiger, C., Haider, B. et al. Pregabalin as mono- or add-on therapy for patients with refractory chronic neuropathic pain: a post-marketing prescription-event monitoring study. J Neurol 257, 1265–1273 (2010). https://doi.org/10.1007/s00415-010-5504-9
Received:
Revised:
Accepted:
Published:
Issue Date:
DOI: https://doi.org/10.1007/s00415-010-5504-9