Skip to main content

White matter hyperintensities in patients with multiple system atrophy

Abstract

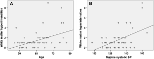
Recent studies have reported that the majority of patients with multiple system atrophy (MSA) had hypertensive heart disease. However, the effect of autonomic failure on the brain in MSA has not been studied. We consecutively enrolled 63 patients with MSA and selected 63 age- and sex-matched healthy subjects. We performed a comparative analysis of cerebrovascular lesions between the patients with MSA and the control subjects and analyzed predisposing factors for cerebrovascular lesions in the patients with MSA. There was no significant difference in lacune and territorial infarcts between the patients with MSA and the control subjects. The median grading score of white matter hyperintensity (WMH) was significantly higher in the patients with MSA (1.0, interquartile range 0.5–2.0) than the control subjects (0.0, interquartile range 0.0–1.0; P < 0.01). In the patients with MSA, there was strong correlation between the grading score of WMH and supine systolic blood pressure (r = 0.529, P < 0.001) after adjusting for age. Multiple linear regression analysis showed that age and supine systolic blood pressure was significantly and independently correlated with the grading score of WMH. The present study demonstrates that patients with MSA had more severe WMH and that supine systolic pressure is a major contributing factor for the severity of WMH, suggesting that patients with MSA have target-organ damage of the brain.

This is a preview of subscription content, access via your institution.

Fig. 1
Fig. 2

References

  1. Benarroch EE, Smithson IL, Low PA, Parisi JE (1998) Depletion of catecholaminergic neurons of the rostral ventrolateral medulla in multiple systems atrophy with autonomic failure. Ann Neurol 43:156–163. doi:10.1002/ana.410430205

    PubMed  Article  CAS  Google Scholar 

  2. Beyer MK, Aarsland D, Greve OJ, Larsen JP (2006) Visual rating of white matter hyperintensities in Parkinson’s disease. Mov Disord 21:223–229. doi:10.1002/mds.20704

    PubMed  Article  Google Scholar 

  3. Brenneis C, Egger K, Scherfler C, Seppi K, Schocke M, Poewe W, Wenning GK (2007) Progression of brain atrophy in multiple system atrophy. A longitudinal VBM study. J Neurol 254:191–196. doi:10.1007/s00415-006-0325-6

    PubMed  Article  Google Scholar 

  4. Burk K, Daum I, Rub U (2006) Cognitive function in multiple system atrophy of the cerebellar type. Mov Disord 21:772–776. doi:10.1002/mds.20802

    PubMed  Article  Google Scholar 

  5. Chobanian AV, Volicer L, Tifft CP, Gavras H, Liang CS, Faxon D (1979) Mineralocorticoid-induced hypertension in patients with orthostatic hypotension. N Engl J Med 301:68–73

    PubMed  CAS  Article  Google Scholar 

  6. De Groot JC, De Leeuw FE, Oudkerk M, Van Gijn J, Hofman A, Jolles J, Breteler MM (2002) Periventricular cerebral white matter lesions predict rate of cognitive decline. Ann Neurol 52:335–341. doi:10.1002/ana.10294

    PubMed  Article  Google Scholar 

  7. de Leeuw FE, de Groot JC, Oudkerk M, Witteman JC, Hofman A, van Gijn J, Breteler MM (2002) Hypertension and cerebral white matter lesions in a prospective cohort study. Brain 125:765–772. doi:10.1093/brain/awf077

    PubMed  Article  Google Scholar 

  8. Fernando MS, Simpson JE, Matthews F, Brayne C, Lewis CE, Barber R, Kalaria RN, Forster G, Esteves F, Wharton SB, Shaw PJ, O’Brien JT, Ince PG (2006) White matter lesions in an unselected cohort of the elderly: molecular pathology suggests origin from chronic hypoperfusion injury. Stroke 37:1391–1398. doi:10.1161/01.STR.0000221308.94473.14

    PubMed  Article  Google Scholar 

  9. Gilman S, Low PA, Quinn N, Albanese A, Ben-Shlomo Y, Fowler CJ, Kaufmann H, Klockgether T, Lang AE, Lantos PL, Litvan I, Mathias CJ, Oliver E, Robertson D, Schatz I, Wenning GK (1999) Consensus statement on the diagnosis of multiple system atrophy. J Neurol Sci 163:94–98. doi:10.1016/S0022-510X(98)00304-9

    PubMed  Article  CAS  Google Scholar 

  10. Goldstein DS, Pechnik S, Holmes C, Eldadah B, Sharabi Y (2003) Association between supine hypertension and orthostatic hypotension in autonomic failure. Hypertension 42:136–142. doi:10.1161/01.HYP.0000081216.11623.C3

    PubMed  Article  CAS  Google Scholar 

  11. Kaufmann H, Biaggioni I (2003) Autonomic failure in neurodegenerative disorders. Semin Neurol 23:351–363. doi:10.1055/s-2004-817719

    PubMed  Article  Google Scholar 

  12. Kawai Y, Suenaga M, Takeda A, Ito M, Watanabe H, Tanaka F, Kato K, Fukatsu H, Naganawa S, Kato T, Ito K, Sobue G (2008) Cognitive impairments in multiple system atrophy: MSA-C vs MSA-P. Neurology 70:1390–1396. doi:10.1212/01.wnl.0000310413.04462.6a

    PubMed  Article  CAS  Google Scholar 

  13. Kim JS, Lee KS, Lim SC, Ahn JY, Song IU, Kim YI, Kim BS, Kim HT (2007) Reversible posterior leukoencephalopathy syndrome in a patient with multiple system atrophy: a possible association with oral midodrine treatment. Mov Disord 22:1043–1046. doi:10.1002/mds.21461

    PubMed  Article  Google Scholar 

  14. Konagaya M, Konagaya Y, Sakai M, Matsuoka Y, Hashizume Y (2002) Progressive cerebral atrophy in multiple system atrophy. J Neurol Sci 195:123–127. doi:10.1016/S0022-510X(01)00692-X

    PubMed  Article  Google Scholar 

  15. Konagaya M, Sakai M, Matsuoka Y, Konagaya Y, Hashizume Y (1999) Multiple system atrophy with remarkable frontal lobe atrophy. Acta Neuropathol 97:423–428. doi:10.1007/s004010051008

    PubMed  Article  CAS  Google Scholar 

  16. Lee PH, An YS, Yong SW, Yoon SN (2008) Cortical metabolic changes in the cerebellar variant of multiple system atrophy: a voxel-based FDG-PET study in 41 patients. Neuroimage 40:796–801. doi:10.1016/j.neuroimage.2007.11.055

    PubMed  Article  Google Scholar 

  17. Lyoo CH, Jeong Y, Ryu YH, Lee SY, Song TJ, Lee JH, Rinne JO, Lee MS (2008) Effects of disease duration on the clinical features and brain glucose metabolism in patients with mixed type multiple system atrophy. Brain 131:438–446. doi:10.1093/brain/awm328

    PubMed  Article  CAS  Google Scholar 

  18. Mancia G, De Backer G, Dominiczak A, Cifkova R, Fagard R, Germano G, Grassi G, Heagerty AM, Kjeldsen SE, Laurent S, Narkiewicz K, Ruilope L, Rynkiewicz A, Schmieder RE, Struijker Boudier HA, Zanchetti A, Vahanian A, Camm J, De Caterina R, Dean V, Dickstein K, Filippatos G, Funck-Brentano C, Hellemans I, Kristensen SD, McGregor K, Sechtem U, Silber S, Tendera M, Widimsky P, Zamorano JL, Kjeldsen SE, Erdine S, Narkiewicz K, Kiowski W, Agabiti-Rosei E, Ambrosioni E, Cifkova R, Dominiczak A, Fagard R, Heagerty AM, Laurent S, Lindholm LH, Mancia G, Manolis A, Nilsson PM, Redon J, Schmieder RE, Struijker-Boudier HA, Viigimaa M, Filippatos G, Adamopoulos S, Agabiti-Rosei E, Ambrosioni E, Bertomeu V, Clement D, Erdine S, Farsang C, Gaita D, Kiowski W, Lip G, Mallion JM, Manolis AJ, Nilsson PM, O’Brien E, Ponikowski P, Redon J, Ruschitzka F, Tamargo J, van Zwieten P, Viigimaa M, Waeber B, Williams B, Zamorano JL, The task force for the management of arterial hypertension of the European Society of H, The task force for the management of arterial hypertension of the European Society of C (2007) Guidelines for the management of arterial hypertension: the task force for the management of arterial hypertension of the European Society of Hypertension (ESH) and of the European Society of Cardiology (ESC). Eur Heart J 28:1462–1536

    Google Scholar 

  19. Mathias CJ (2006) Multiple system atrophy and autonomic failure. J Neural Transm Suppl 70:343–347. doi:10.1007/978-3-211-45295-0_52

    PubMed  Article  Google Scholar 

  20. Maule S, Milan A, Grosso T, Veglio F (2006) Left ventricular hypertrophy in patients with autonomic failure. Am J Hypertens 19:1049–1054. doi:10.1016/j.amjhyper.2006.02.016

    PubMed  Article  Google Scholar 

  21. Minnerop M, Specht K, Ruhlmann J, Schimke N, Abele M, Weyer A, Wullner U, Klockgether T (2007) Voxel-based morphometry and voxel-based relaxometry in multiple system atrophy—a comparison between clinical subtypes and correlations with clinical parameters. Neuroimage 36:1086–1095. doi:10.1016/j.neuroimage.2007.04.028

    PubMed  Article  CAS  Google Scholar 

  22. Murray AD, Staff RT, Shenkin SD, Deary IJ, Starr JM, Whalley LJ (2005) Brain white matter hyperintensities: relative importance of vascular risk factors in nondemented elderly people. Radiology 237:251–257. doi:10.1148/radiol.2371041496

    PubMed  Article  Google Scholar 

  23. Pantoni L, Poggesi A, Inzitari D (2007) The relation between white-matter lesions and cognition. Curr Opin Neurol 20:390–397. doi:10.1097/WCO.0b013e328172d661

    PubMed  Article  Google Scholar 

  24. Papp MI, Lantos PL (1994) The distribution of oligodendroglial inclusions in multiple system atrophy and its relevance to clinical symptomatology. Brain 117(Pt 2):235–243. doi:10.1093/brain/117.2.235

    PubMed  Article  Google Scholar 

  25. Prins ND, van Dijk EJ, den Heijer T, Vermeer SE, Jolles J, Koudstaal PJ, Hofman A, Breteler MM (2005) Cerebral small-vessel disease and decline in information processing speed, executive function and memory. Brain 128:2034–2041. doi:10.1093/brain/awh553

    PubMed  Article  Google Scholar 

  26. Robbins TW, James M, Lange KW, Owen AM, Quinn NP, Marsden CD (1992) Cognitive performance in multiple system atrophy. Brain 115(Pt 1):271–291. doi:10.1093/brain/115.1.271

    PubMed  Article  Google Scholar 

  27. Robbins TW, James M, Owen AM, Lange KW, Lees AJ, Leigh PN, Marsden CD, Quinn NP, Summers BA (1994) Cognitive deficits in progressive supranuclear palsy, Parkinson’s disease, and multiple system atrophy in tests sensitive to frontal lobe dysfunction. J Neurol Neurosurg Psychiatry 57:79–88. doi:10.1136/jnnp.57.1.79

    PubMed  Article  CAS  Google Scholar 

  28. Schmidt R, Petrovic K, Ropele S, Enzinger C, Fazekas F (2007) Progression of leukoaraiosis and cognition. Stroke 38:2619–2625. doi:10.1161/STROKEAHA.107.489112

    PubMed  Article  Google Scholar 

  29. Schmidt R, Scheltens P, Erkinjuntti T, Pantoni L, Markus HS, Wallin A, Barkhof F, Fazekas F (2004) White matter lesion progression: a surrogate endpoint for trials in cerebral small-vessel disease. Neurology 63:139–144

    PubMed  CAS  Google Scholar 

  30. Shannon J, Jordan J, Costa F, Robertson RM, Biaggioni I (1997) The hypertension of autonomic failure and its treatment. Hypertension 30:1062–1067

    PubMed  CAS  Google Scholar 

  31. Shannon JR, Jordan J, Diedrich A, Pohar B, Black BK, Robertson D, Biaggioni I (2000) Sympathetically mediated hypertension in autonomic failure. Circulation 101:2710–2715

    PubMed  CAS  Google Scholar 

  32. Steffens DC, Krishnan KR, Crump C, Burke GL (2002) Cerebrovascular disease and evolution of depressive symptoms in the cardiovascular health study. Stroke 33:1636–1644. doi:10.1161/01.STR.0000018405.59799.D5

    PubMed  Article  Google Scholar 

  33. Vagaonescu TD, Saadia D, Tuhrim S, Phillips RA, Kaufmann H (2000) Hypertensive cardiovascular damage in patients with primary autonomic failure. Lancet 355:725–726. doi:10.1016/S0140-6736(99)05320-9

    PubMed  Article  CAS  Google Scholar 

  34. van Swieten JC, Geyskes GG, Derix MM, Peeck BM, Ramos LM, van Latum JC, van Gijn J (1991) Hypertension in the elderly is associated with white matter lesions and cognitive decline. Ann Neurol 30:825–830. doi:10.1002/ana.410300612

    PubMed  Article  Google Scholar 

  35. Wenning GK, Colosimo C, Geser F, Poewe W (2004) Multiple system atrophy. Lancet Neurol 3:93–103. doi:10.1016/S1474-4422(03)00662-8

    PubMed  Article  Google Scholar 

  36. Yue NC, Arnold AM, Longstreth WT Jr, Elster AD, Jungreis CA, O’Leary DH, Poirier VC, Bryan RN (1997) Sulcal, ventricular, and white matter changes at MR imaging in the aging brain: data from the cardiovascular health study. Radiology 202:33–39

    PubMed  CAS  Google Scholar 

Download references

Acknowledgments

This research was supported by a grant from Stem Cell Research Center of the 21st Century Frontier Research Program (SC-4111) funded by the Ministry of Science and Technology, Republic of Korea.

Author information

Affiliations

Authors

Corresponding author

Correspondence to Phil Hyu Lee.

Rights and permissions

Reprints and Permissions

About this article

Cite this article

Lim, T.S., Lee, P.H., Kim, H.S. et al. White matter hyperintensities in patients with multiple system atrophy. J Neurol 256, 1663–1670 (2009). https://doi.org/10.1007/s00415-009-5176-5

Download citation

  • Received:

  • Revised:

  • Accepted:

  • Published:

  • Issue Date:

  • DOI: https://doi.org/10.1007/s00415-009-5176-5

Keywords

  • White matter hyperintensities
  • Multiple systemic atrophy
  • Supine blood pressure