Skip to main content

31P-MRS of skeletal muscle is not a sensitive diagnostic test for mitochondrial myopathy

Abstract

Clinical phenotypes of persons with mitochondrial DNA (mtDNA) mutations vary considerably. Therefore, diagnosing mitochondrial myopathy (MM) patients can be challenging and warrants diagnostic guidelines. 31phosphorous magnetic resonance spectroscopy (31P-MRS) have been included as a minor diagnostic criterion for MM but the diagnostic strength of this test has not been compared with that of other commonly used diagnostic procedures for MM. To investigate this, we studied seven patients with single, large-scale deletions-, nine with point mutations of mtDNA and 14 healthy subjects, who were investigated for the following: 1) 31P-MRS of lower arm and leg muscles before and after exercise, 2) resting and peak-exercise induced increases of plasma lactate, 3) muscle morphology and -mitochondrial enzyme activity, 4) maximal oxygen uptake (VO2max), 5) venous oxygen desaturation during handgrip exercise and 6) a neurological examination. All MM patients had clinical symptoms of MM, > 2% ragged red fibers in muscle, and impaired oxygen desaturation during handgrip. Fourteen of 16 patients had impaired VO2max, 10/16 had elevated resting plasma lactate, and 10/11 that were investigated had impaired citrate synthase-corrected complex I activity. Resting PCr/Pi ratio and leg Pi recovery were lower in MM patients vs. healthy subjects. PCr and ATP production after exercise were similar in patients and healthy subjects. Although the specificity for MM of some 31P-MRS variables was as high as 100%, the sensitivity was low (0–63%) and the diagnostic strength of 31P-MRS was inferior to the other diagnostic tests for MM. Thus, 31P-MRS should not be a routine test for MM, but may be an important research tool.

This is a preview of subscription content, access via your institution.

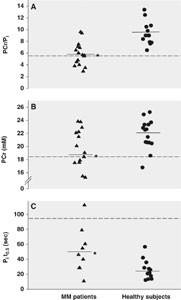
Fig. 1
Fig. 2
Fig. 3

References

  1. Argov Z, Bank WJ, Maris J, Peterson P, Chance B (1987) Bioenergetic heterogeneity of human mitochondrial myopathies: phosphorus magnetic resonance spectroscopy study. Neurology 37:257–262

    PubMed  CAS  Google Scholar 

  2. Argov Z, Bank WJ (1991) Phosphorus magnetic resonance spectroscopy (31P MRS) in neuromuscular disorders. Ann Neurol 30:90–97

    PubMed  Article  CAS  Google Scholar 

  3. Argov Z, De Stefano N, Arnold DL (1996) ADP recovery after a brief ischemic exercise in normal and diseased human muscle–a 31P MRS study. NMR Biomed 9:165–172

    PubMed  Article  CAS  Google Scholar 

  4. Arnold DL, Taylor DJ, Radda GK (1985) Investigation of human mitochondrial myopathies by phosphorus magnetic resonance spectroscopy. Ann Neurol 18:189–196

    PubMed  Article  CAS  Google Scholar 

  5. Bangsbo J, Johansen L, Quistorff B, Saltin B (1993) NMR and analytical biochemical evaluation of PCr and nucleotides in the human calf muscle during contraction. J Appl Physiol 74:2034–2039

    PubMed  CAS  Google Scholar 

  6. Bernier FP, Boneh A, Dennett X, Chow CW, Cleary MA, Thorburn DR (2002) Diagnostic criteria for respiratory chain disorders in adults and children. Neurology 59:1406–1411

    PubMed  CAS  Google Scholar 

  7. Chen JT, Taivassalo T, Argov Z, Arnold DL (2001) Modeling in vivo recovery of intracellular pH in muscle to provide a novel index of proton handling: application to the diagnosis of mitochondrial myopathy. Magn Reson Med 46:870–878

    PubMed  Article  CAS  Google Scholar 

  8. Ciafaloni E, Ricci E, Shanske S, Moraes CT, Silvestri G, Hirano M, Simonetti S, Angelini C, Donati MA, Garcia C (1992) MELAS: clinical features, biochemistry, and molecular genetics. Ann Neurol 31:391–398

    PubMed  Article  CAS  Google Scholar 

  9. Dimauro S, Tay S, Mancuso M (2004) Mitochondrial encephalomyopathies: diagnostic approach. Ann N Y Acad Sci 1011:217–231

    PubMed  Article  CAS  Google Scholar 

  10. Hoch JC, Stern AS (1995) NMR data processing. Wiley-Liss, New York

    Google Scholar 

  11. Janssen AJ, Smeitink JA, van den Heuvel LP (2003) Some practical aspects of providing a diagnostic service for respiratory chain defects. Ann Clin Biochem 40:3–8

    PubMed  Article  CAS  Google Scholar 

  12. Jensen TD, Kazemi-Esfarjani P, Skomorowska E, Vissing J (2002) A forearm exercise screening test for mitochondrial myopathy. Neurology 58:1533–1538

    PubMed  Google Scholar 

  13. Jeppesen TD, Olsen D, Vissing J (2003) Cycle ergometry is not a sensitive diagnostic test for mitochondrial myopathy. J Neurol 250:293–299

    PubMed  Article  Google Scholar 

  14. Johnston W, Karpati G, Carpenter S, Arnold D, Shoubridge EA (1995) Late-onset mitochondrial myopathy. Ann Neurol 37:16–23

    PubMed  Article  CAS  Google Scholar 

  15. Katz SD, Bleiberg B, Wexler J, Bhargava K, Steinberg JJ, LeJemtel TH (1993) Lactate turnover at rest and during submaximal exercise in patients with heart failure. J Appl Physiol 75:1974–1979

    PubMed  CAS  Google Scholar 

  16. Kemp GJ, Taylor DJ, Thompson CH, Hands LJ, Rajagopalan B, Styles P, Radda GK (1993) Quantitative analysis by 31P magnetic resonance spectroscopy of abnormal mitochondrial oxidation in skeletal muscle during recovery from exercise. NMR Biomed 6:302–310

    PubMed  CAS  Google Scholar 

  17. Krause KH, Bonjour JP, Berlit P, Kochen W (1985) Biotin status of epileptics. Ann N Y Acad Sci 447:297–313

    PubMed  Article  CAS  Google Scholar 

  18. Krentz AJ, Coles NH, Williams AC, Nattrass M (1990) Abnormal regulation of intermediary metabolism after oral glucose ingestion in myotonic dystrophy. Metabolism 39:938–942

    PubMed  Article  CAS  Google Scholar 

  19. Kuhl CK, Layer G, Traber F, Zierz S, Block W, Reiser M (1994) Mitochondrial encephalomyopathy: correlation of P-31 exercise MR spectroscopy with clinical findings. Radiology 192:223–230

    PubMed  CAS  Google Scholar 

  20. Laguno M, Milinkovic A, de Lazzari E, Murillas J, Martinez E, Blanco JL, Lonca M, Biglia A, Leon A, Garcia M, Larrousse M, Garcia F, Miro JM, Gatell JM, Mallolas J (2005) Incidence and risk factors for mitochondrial toxicity in treated HIV/HCV-coinfected patients. Antivir Ther 10:423–429

    PubMed  CAS  Google Scholar 

  21. Larsen AI, Aarsland T, Kristiansen M, Haugland A, Dickstein K (2001) Assessing the effect of exercise training in men with heart failure; comparison of maximal, submaximal and endurance exercise protocols. Eur Heart J 22:684–692

    PubMed  Article  CAS  Google Scholar 

  22. Larson-Meyer DE, Newcomer BR, Hunter GR, Hetherington HP, Weinsier RL (2000) 31P MRS measurement of mitochondrial function in skeletal muscle: reliability, force-level sensitivity and relation to whole body maximal oxygen uptake. NMR Biomed 13:14–27

    PubMed  Article  CAS  Google Scholar 

  23. Mariotti C, Uziel G, Carrara F, Mora M, Prelle A, Tiranti V, DiDonato S, Zeviani M (1995) Early-onset encephalomyopathy associated with tissue-specific mitochondrial DNA depletion: a morphological, biochemical and molecular-genetic study. J Neurol 242:547–556

    PubMed  Article  CAS  Google Scholar 

  24. Matthews PM, Allaire C, Shoubridge EA, Karpati G, Carpenter S, Arnold DL (1991) In vivo muscle magnetic resonance spectroscopy in the clinical investigation of mitochondrial disease. Neurology 41:114–120

    PubMed  CAS  Google Scholar 

  25. Matthews PM, Berkovic SF, Shoubridge EA, Andermann F, Karpati G, Carpenter S, Arnold DL (1991) In vivo magnetic resonance spectroscopy of brain and muscle in a type of mitochondrial encephalomyopathy (MERRF). Ann Neurol 29:435–458

    PubMed  Article  CAS  Google Scholar 

  26. McCully KK, Argov Z, Boden BP, Brown RL, Bank WJ, Chance B (1988) Detection of muscle injury in humans with 31-P magnetic resonance spectroscopy. Muscle Nerve 11:212–216

    PubMed  Article  CAS  Google Scholar 

  27. Mizuno M, Secher NH, Quistorff B (1994) NMR spectroscopy, rsEMG, and histochemical fiber types of human wrist flexor muscles. J Appl Physiol 76:531–588

    PubMed  CAS  Google Scholar 

  28. Nakagawa Y, Ratkevicius A, Mizuno M, Quistorff B (2005) ATP economy of force maintenance in human tibialis anterior muscle. Med Sci Sports Exerc 37:937–943

    PubMed  Google Scholar 

  29. Park JH, Vansant JP, Kumar NG, Gibbs SJ, Curvin MS, Price RR, Partain CL, James AE Jr (1990) Dermatomyositis: Correlative MR imaging and P-31 MR spectroscopy for quantitative characterization of inflammatory disease. Radiology 177:473–479

    PubMed  CAS  Google Scholar 

  30. Polagr J, Johnson MA, Weightman D, Appleton D (1973) Data on fibre size in thirty-six human muscles. An autopsy study. J Neurol Sci 19:307–318

    Article  Google Scholar 

  31. Quistorff B, Johansen L, Sahlin K (1993) Absence of phosphocreatine resynthesis in human calf muscle during ischemic recovery - glycolysis and glycogenolysis are regulated by factors other than pH, Pi, ADP and AMP during ischaemia. Biochem J 291:681–686

    PubMed  CAS  Google Scholar 

  32. Ratkevicius A, Quistorff B (2002) Metabolic costs of force generation for constant-frequency and catchlike-inducing electrical stimulation in human tibialis anterior muscle. Muscle Nerve 25:419–426

    PubMed  Article  Google Scholar 

  33. Schwartz M, Vissing J (2002) Paternal inheritance of mitochondrial DNA. N Engl J Med 347:576–580

    PubMed  Article  Google Scholar 

  34. Tarnopolsky MA, Parise G (1999) Direct measurement of high-energy phosphate compounds in patients with neuromuscular disease. Muscle Nerve 22:1228–1233

    PubMed  Article  CAS  Google Scholar 

  35. Taylor DJ, Kemp GJ, Radda GK (1994) Bioenergetics of skeletal muscle in mitochondrial myopathy. J Neurol Sci 127:198–206

    PubMed  Article  CAS  Google Scholar 

  36. Vissing J (2002) Mitochondrial myopathies. In: Preedy VR, Peters TJ (eds) Skeletal Muscle: Pathology, Diagnosis and Management of Disease. Chapter 14 London, Greenwich Medical Media Ltd. pp 153–166

    Google Scholar 

  37. Vissing J, Salamon MB, Arlien-Soborg P, Norby S, Manta P, DiMauro S, Schmalbruch H (1998) A new mitochondrial tRNA(Met) gene mutation in a patient with dystrophic muscle and exercise intolerance. Neurology 50:1875–1878

    PubMed  CAS  Google Scholar 

  38. Wallace DC, Zheng XX, Lott MT, Shoffner JM, Hodge JA, Kelley RI, Epstein CM, Hopkins LC (1988) Familial mitochondrial encephalomyopathy (MERRF): genetic, pathophysiological, and biochemical characterization of a mitochondrial DNA disease. Cell 55:601–610

    PubMed  Article  CAS  Google Scholar 

  39. Walker UA, Collins S, Byrne E (1996) Respiratory chain encephalomyopathies: A diagnostic classification. Eur Neurol 36:260–267

    PubMed  CAS  Google Scholar 

  40. Wibrand F, Ravn K, Schwartz M, Rosenberg T, Horn N, Vissing J (2001) Multisystem disorder associated with a missense mutation in the mitochondrial cytochrome b gene. Ann Neurol 50:540–543

    PubMed  Article  CAS  Google Scholar 

  41. Younkin DP, Berman P, Sladky J, Chee C, Bank W, Chance B (1987) 31P NMR studies in Duchenne muscular dystrophy: age-related metabolic changes. Neurology 37:165–169

    PubMed  CAS  Google Scholar 

Download references

Acknowledgements

The study was supported by grants from the Copenhagen Hospital Community Foundation, NOVO Nordic Foundation, P Carl Pedersen Foundation, and Danish Medical Research Council. Ib Terkelsen and Eva Rahtkens provided excellent technical support for the study.

Author information

Affiliations

Authors

Corresponding author

Correspondence to Tina Dysgaard Jeppesen MD.

Additional information

Received in revised form: 8 March 2006

Rights and permissions

Reprints and Permissions

About this article

Cite this article

Jeppesen, T.D., Quistorff, B., Wibrand, F. et al. 31P-MRS of skeletal muscle is not a sensitive diagnostic test for mitochondrial myopathy. J Neurol 254, 29–37 (2007). https://doi.org/10.1007/s00415-006-0229-5

Download citation

  • Received:

  • Accepted:

  • Published:

  • Issue Date:

  • DOI: https://doi.org/10.1007/s00415-006-0229-5

Keywords

  • 31-Phosphorous magnetic resonance spectroscopy muscle disorders
  • mitochondrial myopathy
  • diagnostic procedures
  • mtDNA mutations