Skip to main content

The rate of RNA degradation in human dental pulp reveals post-mortem interval

Abstract

Post-mortem interval (PMI) is the amount of time elapsed since the time of death. Over the years, many methods were developed to assess PMI, but their precision and time frame of applicability are often limited. Our present pilot study aimed to prove if RNA degradation of human dental pulp can be used for PMI estimation. RNA was isolated from the pulps of healthy wisdom teeth and premolars. RNA degradation was determined as RNA integrity number (RIN) with Agilent Bioanalyzer and subsequently by amplification of different length products by PCR after reverse transcription. The RNA integrity analysis allowed us to determine the time of post-mortem interval with high confidence level in the first 21 days. With the PCR-based method, we were able to perform a crude estimation of incubation time of teeth between 20 and 42 days post extraction. These results show that this method might be a promising new tool for PMI estimation despite the limitations.

This is a preview of subscription content, access via your institution.

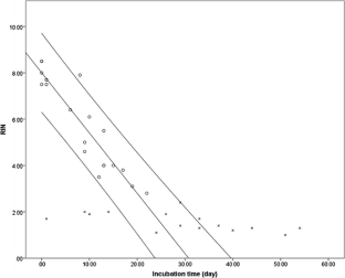
Fig. 1
Fig. 2

References

  1. Haas C, Klesser B, Maake C, Bär W, Kratzer A (2009) mRNA profiling for body fluid identification by reverse transcription endpoint PCR and realtime PCR. Forensic Sci Int Gen 3:80–88. doi:10.1016/j.fsigen.2008.11.003

    CAS  Article  Google Scholar 

  2. Bauer M, Patzelt D (2008) Identification of menstrual blood by real time RT-PCR: technical improvements and the practical value of negative test results. Forensic Sci Int 174:55–59. doi:10.1016/j.forsciint.2007.03.016

    Article  Google Scholar 

  3. Bauer M, Polzin S, Patzelt D (2003) Quantification of RNA degradation by semi-quantitative duplex and competitive RT-PCR: a possible indicator of the age of bloodstains? Forensic Sci Int 138:94–103

    CAS  Article  Google Scholar 

  4. Fordyce SL, Kampmann M-L, van Doorn NL, Gilbert MTP (2013) Long-term RNA persistence in postmortem contexts. Investig Genet 4:7–7. doi:10.1186/2041-2223-4-7

    Article  Google Scholar 

  5. González-Herrera L, Valenzuela A, Marchal JA, Lorente JA, Villanueva E (2013) Studies on RNA integrity and gene expression in human myocardial tissue, pericardial fluid and blood, and its postmortem stability. Forensic Sci Int 232:218–228. doi:10.1016/j.forsciint.2013.08.001

    Article  Google Scholar 

  6. Sampaio-Silva F, Magalhães T, Carvalho F, Dinis-Oliveira RJ, Silvestre R (2013) Profiling of RNA degradation for estimation of post mortem interval. PLoS One 8:e56507–e56507. doi:10.1371/journal.pone.0056507

    CAS  Article  Google Scholar 

  7. Kaur S, Krishan K, Chatterjee PM, Kanchan T (2013) Analysis and identification of bite marks in forensic casework. Oral Health Dent Manag 12:127–131. doi:10.4172/2247-2452.1000500

    PubMed  Google Scholar 

  8. Hinchliffe J (2011) Forensic odontology, Part 1. Dental identification. Br Dent J 210:219–224. doi:10.1038/sj.bdj.2011.146

    CAS  Article  Google Scholar 

  9. Manjunath BC, Chandrashekar BR, Mahesh M, Vatchala Rani RM (2011) DNA profiling and forensic dentistry—a review of the recent concepts and trends. J Forensic Legal Med 18:191–197. doi:10.1016/j.jflm.2011.02.005

    CAS  Article  Google Scholar 

  10. Conde MC, Nedel F, Campos VF, Smith AJ, Nor JE, Demarco FF, Tarquinio SB (2012) Odontoblast RNA stability in different temperature-based protocols for tooth storage. Int Endod J 45:266–272. doi:10.1111/j.1365-2591.2011.01971.x

    CAS  Article  Google Scholar 

  11. Young ST, Wells JD, Hobbs GR, Bishop CP (2013) Estimating postmortem interval using RNA degradation and morphological changes in tooth pulp. Forensic Sci Int 229(163):e161–e166. doi:10.1016/j.forsciint.2013.03.035

    Google Scholar 

  12. Schroeder A, Mueller O, Stocker S, Salowsky R, Leiber M, Gassmann M, Lightfoot S, Menzel W, Granzow M, Ragg T (2006) The RIN: an RNA integrity number for assigning integrity values to RNA measurements. BMC Mol Biol 7:3. doi:10.1186/1471-2199-7-3

    Article  Google Scholar 

  13. Johnson LF, Abelson HT, Penman S, Green H (1977) The relative amounts of the cytoplasmic RNA species in normal, transformed and senescent cultured cell lines. J Cell Physiol 90:465–470. doi:10.1002/jcp.1040900310

    CAS  Article  Google Scholar 

  14. Madlena M, Hermann P, Jahn M, Fejerdy P (2008) Caries prevalence and tooth loss in Hungarian adult population: results of a national survey. BMC Public Health 8. doi:10.1186/1471-2458-8-364

  15. WHO (2012) Factsheet No318: Oral Health. http://www.who.int/mediacentre/factsheets/fs318/en/.

Download references

Acknowledgments

The authors would like to express their thanks to Dr. László Tibor Németh and Dr. Luca Cserna for the collection of samples and to Andrea Valasek for her the help with the Agilent Bioanalyzer.

Author information

Affiliations

Authors

Corresponding author

Correspondence to Katalin Sipos.

Ethics declarations

All procedures performed in studies involving human participants were in accordance with the ethical standards of the institutional and/or national research committee and with the 1964 Helsinki Declaration and its later amendments or comparable ethical standards.

Conflict of interest

The authors declare that they have no competing interests.

Electronic supplementary material

Below is the link to the electronic supplementary material.

ESM 1

(DOCX 12 kb)

Rights and permissions

Reprints and Permissions

About this article

Verify currency and authenticity via CrossMark

Cite this article

Poór, V.S., Lukács, D., Nagy, T. et al. The rate of RNA degradation in human dental pulp reveals post-mortem interval. Int J Legal Med 130, 615–619 (2016). https://doi.org/10.1007/s00414-015-1295-y

Download citation

  • Received:

  • Accepted:

  • Published:

  • Issue Date:

  • DOI: https://doi.org/10.1007/s00414-015-1295-y

Keywords

  • Forensic dentistry
  • Microfluidics
  • Polymerase chain reaction
  • Nucleic acids