Skip to main content

Partitioning the C. elegans genome by nucleosome modification, occupancy, and positioning

Abstract

We have characterized two post-translational histone modifications in Caenorhabditis elegans on a genomic scale. Micrococcal nuclease digestion and immunoprecipitation were used to obtain distinct populations of single nucleosome cores, which were analyzed using massively parallel DNA sequencing to obtain positional and coverage maps. Two methylated histone H3 populations were chosen for comparison: H3K4 histone methylation (associated with active chromosomal regions) and H3K9 histone methylation (associated with inactivity). From analysis of the sequence data, we found nucleosome cores with these modifications to be enriched in two distinct partitions of the genome; H3K4 methylation was particularly prevalent in promoter regions of widely expressed genes, while H3K9 methylation was enriched on specific chromosomal arms. For each of the six chromosomes, the highest level of H3K9 methylation corresponds to the pairing center responsible for chromosome alignment during meiosis. Enrichment of H3K9 methylation at pairing centers appears to be an early mark in meiotic chromosome sorting, occurring in the absence of components required for proper pairing of homologous chromosomes. H3K9 methylation shows an intricate pattern within the chromosome arms with a particular anticorrelation to regions that display a strong ~10.5 bp periodicity of AA/TT dinucleotides that is known to associate with germline transcription. By contrast to the global features observed with H3K9 methylation, H3K4 methylation profiles were most striking in their local characteristics around promoters, providing a unique promoter-central landmark for 3,903 C. elegans genes and allowing a precise analysis of nucleosome positioning in the context of transcriptional initiation.

This is a preview of subscription content, access via your institution.

Fig. 1
Fig. 2
Fig. 3
Fig. 4
Fig. 5
Fig. 6
Fig. 7

References

  • Albert I, Mavrich TN, Tomsho LP, Qi J, Zanton SJ, Schuster SC, Pugh BF (2007) Translational and rotational settings of H2A.Z nucleosomes across the Saccharomyces cerevisiae genome. Nature 446:572–576

    Article  CAS  PubMed  Google Scholar 

  • Albertson DG, Thomson JN (1982) The kinetochores of Caenorhabditis elegans. Chromosoma 86:409–428

    Article  CAS  PubMed  Google Scholar 

  • Barski A, Cuddapah S, Cui K, Roh TY, Schones DE, Wang Z, Wei G, Chepelev I, Zhao K (2007) High-resolution profiling of histone methylations in the human genome. Cell 129:823–837

    Article  CAS  PubMed  Google Scholar 

  • Bender LB, Cao R, Zhang Y, Strome S (2004) The MES-2/MES-3/MES-6 complex and regulation of histone H3 methylation in C. elegans. Curr Biol 14:1639–1643

    Article  CAS  PubMed  Google Scholar 

  • Bentley DR, Balasubramanian S, Swerdlow HP, Smith GP, Milton J, Brown CG, Hall KP, Evers DJ, Barnes CL, Bignell HR, Boutell JM, Bryant J, Carter RJ, Keira Cheetham R, Cox AJ, Ellis DJ, Flatbush MR, Gormley NA, Humphray SJ, Irving LJ, Karbelashvili MS, Kirk SM, Li H, Liu X, Maisinger KS, Murray LJ, Obradovic B, Ost T, Parkinson ML, Pratt MR, Rasolonjatovo IM, Reed MT, Rigatti R, Rodighiero C, Ross MT, Sabot A, Sankar SV, Scally A, Schroth GP, Smith ME, Smith VP, Spiridou A, Torrance PE, Tzonev SS, Vermaas EH, Walter K, Wu X, Zhang L, Alam MD, Anastasi C, Aniebo IC, Bailey DM, Bancarz IR, Banerjee S, Barbour SG, Baybayan PA, Benoit VA, Benson KF, Bevis C, Black PJ, Boodhun A, Brennan JS, Bridgham JA, Brown RC, Brown AA, Buermann DH, Bundu AA, Burrows JC, Carter NP, Castillo N, Chiara ECM, Chang S, Neil Cooley R, Crake NR, Dada OO, Diakoumakos KD, Dominguez-Fernandez B, Earnshaw DJ, Egbujor UC, Elmore DW, Etchin SS, Ewan MR, Fedurco M, Fraser LJ, Fuentes Fajardo KV, Scott Furey W, George D, Gietzen KJ, Goddard CP, Golda GS, Granieri PA, Green DE, Gustafson DL, Hansen NF, Harnish K, Haudenschild CD, Heyer NI, Hims MM, Ho JT, Horgan AM, Hoschler K, Hurwitz S, Ivanov DV, Johnson MQ, James T, Huw Jones TA, Kang GD, Kerelska TH, Kersey AD, Khrebtukova I, Kindwall AP, Kingsbury Z, Kokko-Gonzales PI, Kumar A, Laurent MA, Lawley CT, Lee SE, Lee X, Liao AK, Loch JA, Lok M, Luo S, Mammen RM, Martin JW, McCauley PG, McNitt P, Mehta P, Moon KW, Mullens JW, Newington T, Ning Z, Ling Ng B, Novo SM, O’Neill MJ, Osborne MA, Osnowski A, Ostadan O, Paraschos LL, Pickering L, Pike AC, Chris Pinkard D, Pliskin DP, Podhasky J, Quijano VJ, Raczy C, Rae VH, Rawlings SR, Chiva Rodriguez A, Roe PM, Rogers J, Rogert Bacigalupo MC, Romanov N, Romieu A, Roth RK, Rourke NJ, Ruediger ST, Rusman E, Sanches-Kuiper RM, Schenker MR, Seoane JM, Shaw RJ, Shiver MK, Short SW, Sizto NL, Sluis JP, Smith MA, Ernest Sohna Sohna J, Spence EJ, Stevens K, Sutton N, Szajkowski L, Tregidgo CL, Turcatti G, Vandevondele S, Verhovsky Y, Virk SM, Wakelin S, Walcott GC, Wang J, Worsley GJ, Yan J, Yau L, Zuerlein M, Mullikin JC, Hurles ME, McCooke NJ, West JS, Oaks FL, Lundberg PL, Klenerman D, Durbin R, Smith AJ (2008) Accurate whole human genome sequencing using reversible terminator chemistry. Nature 456:53–59

    Article  CAS  PubMed  Google Scholar 

  • Bernard P, Maure JF, Partridge JF, Genier S, Javerzat JP, Allshire RC (2001) Requirement of heterochromatin for cohesion at centromeres. Science 294:2539–2542

    Article  CAS  PubMed  Google Scholar 

  • Berriz GF, King OD, Bryant B, Sander C, Roth FP (2003) Characterizing gene sets with FuncAssociate. Bioinformatics 19:2502–2504

    Article  CAS  PubMed  Google Scholar 

  • Bhalla N, Dernburg AF (2005) A conserved checkpoint monitors meiotic chromosome synapsis in Caenorhabditis elegans. Science 310:1683–1686

    Article  CAS  PubMed  Google Scholar 

  • Brenner S (1974) The genetics of Caenorhabditis elegans. Genetics 77:71–94

    CAS  PubMed  Google Scholar 

  • C. elegans Sequencing Consortium (1998) Genome sequence of the nematode C. elegans: a platform for investigating biology. Science 282:2012–2018

    Article  Google Scholar 

  • Dalal Y, Wang H, Lindsay S, Henikoff S (2007) Tetrameric structure of centromeric nucleosomes in interphase Drosophila cells. PLoS Biol 5:e218

    Article  PubMed  Google Scholar 

  • Davey CA, Sargent DF, Luger K, Maeder AW, Richmond TJ (2002) Solvent mediated interactions in the structure of the nucleosome core particle at 1.9 a resolution. J Mol Biol 319:1097–1113

    Article  CAS  PubMed  Google Scholar 

  • Dixon DK, Jones D, Candido EP (1990) The differentially expressed 16-kD heat shock genes of Caenorhabditis elegans exhibit differential changes in chromatin structure during heat shock. DNA Cell Biol 9:177–191

    Article  CAS  PubMed  Google Scholar 

  • Fire A, Alcazar R, Tan F (2006) Unusual DNA structures associated with germline genetic activity in Caenorhabditis elegans. Genetics 173:1259–1273

    Article  CAS  PubMed  Google Scholar 

  • Goodsell DS, Dickerson RE (1994) Bending and curvature calculations in B-DNA. Nucleic Acids Res 22:5497–5503

    Article  CAS  PubMed  Google Scholar 

  • Herman RK, Kari CK (1989) Recombination between small X chromosome duplications and the X chromosome in Caenorhabditis elegans. Genetics 121:723–737

    CAS  PubMed  Google Scholar 

  • Herman RK, Kari CK, Hartman PS (1982) Dominant X-chromosome nondisjunction mutants of Caenorhabditis elegans. Genetics 102:379–400

    CAS  PubMed  Google Scholar 

  • Jacobs SA, Taverna SD, Zhang Y, Briggs SD, Li J, Eissenberg JC, Allis CD, Khorasanizadeh S (2001) Specificity of the HP1 chromo domain for the methylated N-terminus of histone H3. EMBO J 20:5232–5241

    Article  CAS  PubMed  Google Scholar 

  • Johnson SM, Tan FJ, McCullough HL, Riordan DP, Fire AZ (2006) Flexibility and constraint in the nucleosome core landscape of Caenorhabditis elegans chromatin. Genome Res 16:1505–1516

    Article  CAS  PubMed  Google Scholar 

  • Kelly WG, Schaner CE, Dernburg AF, Lee MH, Kim SK, Villeneuve AM, Reinke V (2002) X-chromosome silencing in the germline of C. elegans. Development 129:479–492

    CAS  PubMed  Google Scholar 

  • Kent WJ, Sugnet CW, Furey TS, Roskin KM, Pringle TH, Zahler AM, Haussler D (2002) The human genome browser at UCSC. Genome Res 12:996–1006

    CAS  PubMed  Google Scholar 

  • Kolasinska-Zwierz P, Down T, Latorre I, Liu T, Liu XS, Ahringer J (2009) Differential chromatin marking of introns and expressed exons by H3K36me3. Nat Genet 41:376–381

    Article  CAS  PubMed  Google Scholar 

  • Koo HS, Wu HM, Crothers DM (1986) DNA bending at adenine. Thymine tracts. Nature 320:501–506

    Article  CAS  PubMed  Google Scholar 

  • Kornberg RD (1974) Chromatin structure: a repeating unit of histones and DNA. Science 184:868–871

    Article  CAS  PubMed  Google Scholar 

  • Lee W, Tillo D, Bray N, Morse RH, Davis RW, Hughes TR, Nislow C (2007) A high-resolution atlas of nucleosome occupancy in yeast. Nat Genet 39:1235–1244

    Article  CAS  PubMed  Google Scholar 

  • Lehnertz B, Ueda Y, Derijck AA, Braunschweig U, Perez-Burgos L, Kubicek S, Chen T, Li E, Jenuwein T, Peters AH (2003) Suv39h-mediated histone H3 lysine 9 methylation directs DNA methylation to major satellite repeats at pericentric heterochromatin. Curr Biol 13:1192–1200

    Article  CAS  PubMed  Google Scholar 

  • Lowary PT, Widom J (1998) New DNA sequence rules for high affinity binding to histone octamer and sequence-directed nucleosome positioning. J Mol Biol 276:19–42

    Article  CAS  PubMed  Google Scholar 

  • Luger K, Mader AW, Richmond RK, Sargent DF, Richmond TJ (1997) Crystal structure of the nucleosome core particle at 2.8 A resolution. Nature 389:251–260

    Article  CAS  PubMed  Google Scholar 

  • Maison C, Bailly D, Peters AH, Quivy JP, Roche D, Taddei A, Lachner M, Jenuwein T, Almouzni G (2002) Higher-order structure in pericentric heterochromatin involves a distinct pattern of histone modification and an RNA component. Nat Genet 30:329–334

    Article  PubMed  Google Scholar 

  • Mavrich TN, Jiang C, Ioshikhes IP, Li X, Venters BJ, Zanton SJ, Tomsho LP, Qi J, Glaser RL, Schuster SC, Gilmour DS, Albert I, Pugh BF (2008) Nucleosome organization in the Drosophila genome. Nature 453:358–362

    Article  CAS  PubMed  Google Scholar 

  • McGill R, Tukey JW, Larsen WA (1978) Variations of box plots. Am Stat 32:12–16

    Article  Google Scholar 

  • McKim KS, Howell AM, Rose AM (1988) The effects of translocations on recombination frequency in Caenorhabditis elegans. Genetics 120:987–1001

    CAS  PubMed  Google Scholar 

  • McKim KS, Peters K, Rose AM (1993) Two types of sites required for meiotic chromosome pairing in Caenorhabditis elegans. Genetics 134:749–768

    CAS  PubMed  Google Scholar 

  • Mellone BG, Ball L, Suka N, Grunstein MR, Partridge JF, Allshire RC (2003) Centromere silencing and function in fission yeast is governed by the amino terminus of histone H3. Curr Biol 13:1748–1757

    Article  CAS  PubMed  Google Scholar 

  • Moreno-Herrero F, Seidel R, Johnson SM, Fire A, Dekker NH (2006) Structural analysis of hyperperiodic DNA from Caenorhabditis elegans. Nucleic Acids Res 34:3057–3066

    Article  CAS  PubMed  Google Scholar 

  • Nelson HC, Finch JT, Luisi BF, Klug A (1987) The structure of an oligo(dA).oligo(dT) tract and its biological implications. Nature 330:221–226

    Article  CAS  PubMed  Google Scholar 

  • Parameswaran P, Jalili R, Tao L, Shokralla S, Gharizadeh B, Ronaghi M, Fire AZ (2007) A pyrosequencing-tailored nucleotide barcode design unveils opportunities for large-scale sample multiplexing. Nucleic Acids Res 35:e130

    Article  PubMed  Google Scholar 

  • Peckham HE, Thurman RE, Fu Y, Stamatoyannopoulos JA, Noble WS, Struhl K, Weng Z (2007) Nucleosome positioning signals in genomic DNA. Genome Res 17:1170–1177

    Article  CAS  PubMed  Google Scholar 

  • Peters AH, Kubicek S, Mechtler K, O’Sullivan RJ, Derijck AA, Perez-Burgos L, Kohlmaier A, Opravil S, Tachibana M, Shinkai Y, Martens JH, Jenuwein T (2003) Partitioning and plasticity of repressive histone methylation states in mammalian chromatin. Mol Cell 12:1577–1589

    Article  CAS  PubMed  Google Scholar 

  • Phillips CM, Dernburg AF (2006) A family of zinc-finger proteins is required for chromosome-specific pairing and synapsis during meiosis in C. elegans. Dev Cell 11:817–829

    Article  CAS  PubMed  Google Scholar 

  • Phillips CM, Wong C, Bhalla N, Carlton PM, Weiser P, Meneely PM, Dernburg AF (2005) HIM-8 binds to the X chromosome pairing center and mediates chromosome-specific meiotic synapsis. Cell 123:1051–1063

    Article  CAS  PubMed  Google Scholar 

  • Pokholok DK, Harbison CT, Levine S, Cole M, Hannett NM, Lee TI, Bell GW, Walker K, Rolfe PA, Herbolsheimer E, Zeitlinger J, Lewitter F, Gifford DK, Young RA (2005) Genome-wide map of nucleosome acetylation and methylation in yeast. Cell 122:517–527

    Article  CAS  PubMed  Google Scholar 

  • Reinke V, Smith HE, Nance J, Wang J, Van Doren C, Begley R, Jones SJ, Davis EB, Scherer S, Ward S, Kim SK (2000) A global profile of germline gene expression in C. elegans. Mol Cell 6:605–616

    Article  CAS  PubMed  Google Scholar 

  • Reuben M, Lin R (2002) Germline X chromosomes exhibit contrasting patterns of histone H3 methylation in Caenorhabditis elegans. Dev Biol 245:71–82

    Article  CAS  PubMed  Google Scholar 

  • Rose AM, Baillie DL, Curran J (1984) Meiotic pairing behavior of two free duplications of linkage group I in Caenorhabditis elegans. Mol Gen Genet 195:52–56

    Article  CAS  PubMed  Google Scholar 

  • Rosenbluth RE, Baillie DL (1981) The genetic analysis of a reciprocal translocation, eT1(III; V), in Caenorhabditis elegans. Genetics 99:415–428

    CAS  PubMed  Google Scholar 

  • Salih F, Salih B, Trifonov EN (2008) Sequence structure of hidden 10.4-base repeat in the nucleosomes of C. elegans. J Biomol Struct Dyn 26:273–282

    CAS  PubMed  Google Scholar 

  • Santos-Rosa H, Schneider R, Bannister AJ, Sherriff J, Bernstein BE, Emre NC, Schreiber SL, Mellor J, Kouzarides T (2002) Active genes are tri-methylated at K4 of histone H3. Nature 419:407–411

    Article  CAS  PubMed  Google Scholar 

  • Sasaki S, Mello CC, Shimada A, Nakatani Y, Hashimoto S, Ogawa M, Matsushima K, Gu SG, Kasahara M, Ahsan B, Sasaki A, Saito T, Suzuki Y, Sugano S, Kohara Y, Takeda H, Fire A, Morishita S (2009) Chromatin-associated periodicity in genetic variation downstream of transcriptional start sites. Science 323:401–404

    Article  CAS  PubMed  Google Scholar 

  • Satchwell SC, Drew HR, Travers AA (1986) Sequence periodicities in chicken nucleosome core DNA. J Mol Biol 191:659–675

    Article  CAS  PubMed  Google Scholar 

  • Schaner CE, Kelly WG (2006) Germline chromatin. In: The C. elegans Research Community (ed) WormBook. doi:10.1895/wormbook.1.73.1

  • Schones DE, Zhao K (2008) Genome-wide approaches to studying chromatin modifications. Nat Rev Genet 9:179–191

    Article  CAS  PubMed  Google Scholar 

  • Schones DE, Cui K, Cuddapah S, Roh TY, Barski A, Wang Z, Wei G, Zhao K (2008) Dynamic regulation of nucleosome positioning in the human genome. Cell 132:887–898

    Article  CAS  PubMed  Google Scholar 

  • Segal E, Fondufe-Mittendorf Y, Chen L, Thastrom A, Field Y, Moore IK, Wang JP, Widom J (2006) A genomic code for nucleosome positioning. Nature 442:772–778

    Article  CAS  PubMed  Google Scholar 

  • Shivaswamy S, Bhinge A, Zhao Y, Jones S, Hirst M, Iyer VR (2008) Dynamic remodeling of individual nucleosomes across a eukaryotic genome in response to transcriptional perturbation. PLoS Biol 6:e65

    Article  PubMed  Google Scholar 

  • Ulanovsky LE, Trifonov EN (1987) Estimation of wedge components in curved DNA. Nature 326:720–722

    Article  CAS  PubMed  Google Scholar 

  • Valouev A, Ichikawa J, Tonthat T, Stuart J, Ranade S, Peckham H, Zeng K, Malek JA, Costa G, McKernan K, Sidow A, Fire A, Johnson SM (2008) A high-resolution, nucleosome position map of C. elegans reveals a lack of universal sequence-dictated positioning. Genome Res 18:1051–1063

    Article  CAS  PubMed  Google Scholar 

  • VanWye JD, Bronson EC, Anderson JN (1991) Species-specific patterns of DNA bending and sequence. Nucleic Acids Res 19:5253–5261

    Article  CAS  PubMed  Google Scholar 

  • Villeneuve AM (1994) A cis-acting locus that promotes crossing over between X chromosomes in Caenorhabditis elegans. Genetics 136:887–902

    CAS  PubMed  Google Scholar 

  • Whittle CM, McClinic KN, Ercan S, Zhang X, Green RD, Kelly WG, Lieb JD (2008) The genomic distribution and function of histone variant HTZ-1 during C. elegans embryogenesis. PLoS Genetics 4(9):e1000187

    Article  PubMed  Google Scholar 

  • Widom J (1996) Short-range order in two eukaryotic genomes: relation to chromosome structure. J Mol Biol 259:579–588

    Article  CAS  PubMed  Google Scholar 

  • Wysocka J, Swigut T, Xiao H, Milne TA, Kwon SY, Landry J, Kauer M, Tackett AJ, Chait BT, Badenhorst P, Wu C, Allis CD (2006) A PHD finger of NURF couples histone H3 lysine 4 trimethylation with chromatin remodelling. Nature 442:86–90

    CAS  PubMed  Google Scholar 

  • Yuan GC, Liu YJ, Dion MF, Slack MD, Wu LF, Altschuler SJ, Rando OJ (2005) Genome-scale identification of nucleosome positions in S. cerevisiae. Science 309:626–630

    Article  CAS  PubMed  Google Scholar 

Download references

Acknowledgements

We thank Ayelet Lamm, Ziming Weng, and Phil Lacroute for running the high-throughput DNA sequencing; Arend Sidow, Anne Villeneuve, Jessica Bessler, Susan Strome, Steve Johnson, Edward Grow, Anton Valouev, Lia Gracey, Ayelet Lamm, Scott Boyd, Cecilia Mello, Julia Pak, Jonathan Gent, Poornima Parameswaran, Chaya Krishna, Michael Stadler, Jay Maniar, Rosa Alcazar, and Julie Ni for the help, suggestions, and support; and the National Institutes of Health (grant R01-GM37706).

Author information

Affiliations

Authors

Corresponding author

Correspondence to Andrew Fire.

Additional information

Communicated by E.A. Nigg

Electronic supplementary materials

Below is the link to the electronic supplementary material.

Supplementary Fig. 1
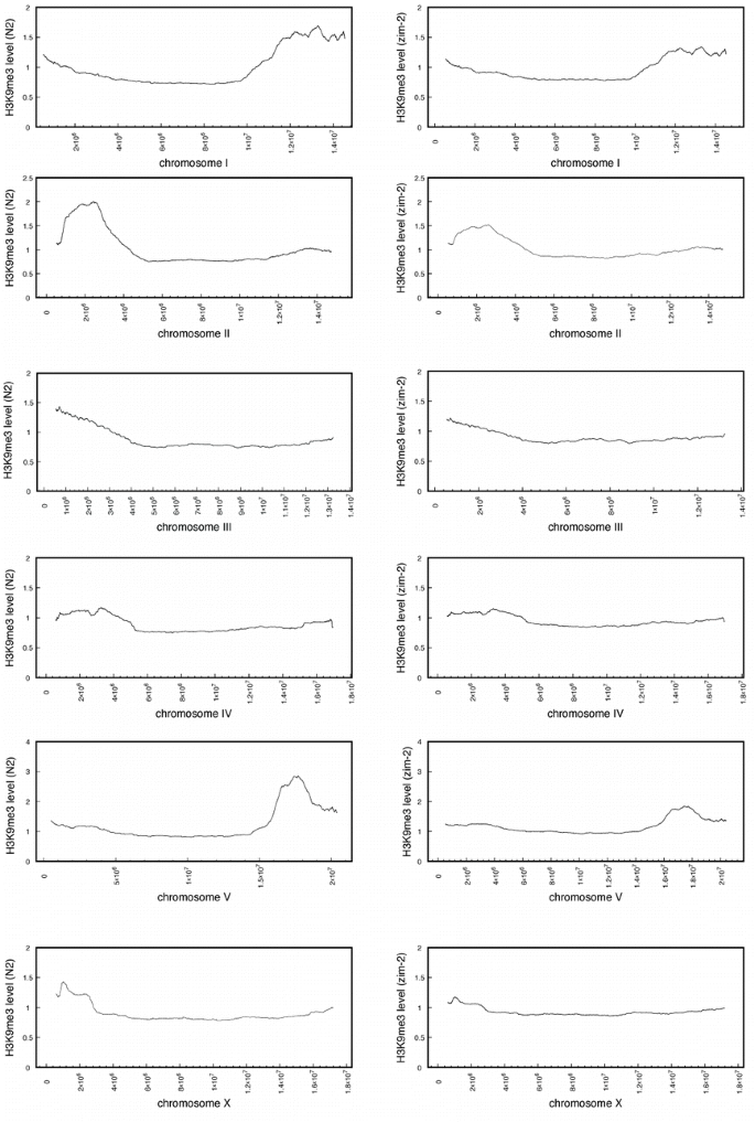
figure 8

Global profiles of H3K9me3 enrichment within the C. elegans genome. Relative enrichment of H3K9me3 (N2) and H3K9me3 (zim-2) is plotted as a function of position in the C. elegans genome. Relative enrichment is calculated for each 1-Mb region as the ratio of coverage levels for H3K9me3 over total nucleosome (normalized by total number of perfect unique alignments for each library)

Supplementary Fig. 2
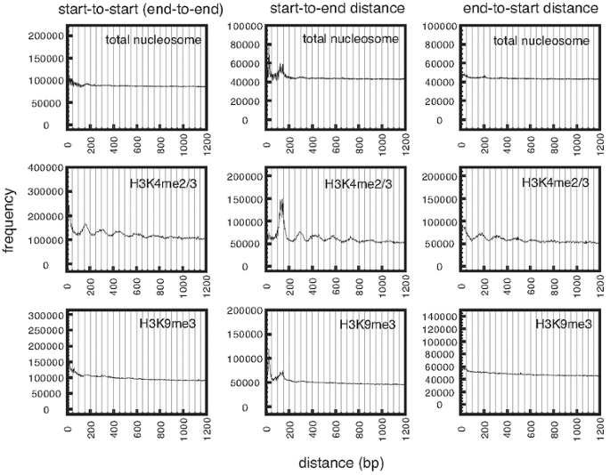
figure 9

Genome-wide histograms of start-to-start, start-to-end, and end-to-start coincidences for pairs of sequenced ends, plotted as of separation in base pairs. This analysis is the same as the one in Fig. 5b except that uncollapsed sequencing reads are used

High resolution image file (TIFF 5142 kb)

High resolution image file (EPS 709 kb)

Supplementary Table 1

(DOC 1990 kb)

Supplementary Table 2

(DOC 580 kb)

Rights and permissions

Reprints and Permissions

About this article

Cite this article

Gu, S.G., Fire, A. Partitioning the C. elegans genome by nucleosome modification, occupancy, and positioning. Chromosoma 119, 73–87 (2010). https://doi.org/10.1007/s00412-009-0235-3

Download citation

  • Received:

  • Revised:

  • Accepted:

  • Published:

  • Issue Date:

  • DOI: https://doi.org/10.1007/s00412-009-0235-3

Keywords

  • Histone Methylation
  • Nucleosome Position
  • H3K9 Methylation
  • Pairing Center
  • Chromosome Versus