Skip to main content

Tumor subsites and risk of osteoradionecrosis of the jaw in patients with oral cavity cancer: a national-based cohort study

Abstract

Purpose

The association between the tumor subsites of the oral cavity and the risk of osteoradionecrosis of the jaw (ORNJ) remains unclear. We study the correlation between oral cavity tumor subsites and the risk of ORNJ in a nationwide population-based database.

Methods

We enrolled 16,701 adult patients with oral cavity cancers who were treated with radiotherapy between 2000 and 2013. The subsites of the oral tumor, treatments of oral cavity cancers, and the timing of tooth extraction were examined for their association with ORNJ in oral cancer patients.

Results

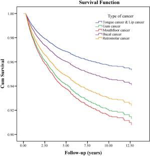
903 patients (5.40%) developed ORNJ. Of the relevant variables, pre-RT mandible surgery, tooth extraction either before or after RT, and tumor sites were associated with the risk of ORNJ. The adjusted HRs for ORNJ in the mouth floor, gums, retromolar, and buccal cancer were 2.056 (1.490–2.837), 1.909 (1.552–2.349), 1.683 (1.105–2.562), and 1.303 (1.111–1.528), respectively, compared with the risk of tongue cancer. There was no significant difference in the risk of ORNJ between the pre-RT extraction group, the during-RT extraction group, and the post-RT extraction (less than 6 months) group; the post-RT extraction (more than 6 months) group had a significantly higher risk of ORNJ.

Conclusions

This study demonstrated that oral cavity tumor subsite is an independent risk factor of ORNJ after RT. Post-RT extraction (less than 6 months) group did not carry a significantly higher risk of ORNJ compared with pre-RT extraction group or during RT extraction group.

This is a preview of subscription content, access via your institution.

Fig. 1
Fig. 2

References

  1. Sroussi HY, Epstein JB, Bensadoun RJ, Saunders DP, Lalla RV, Migliorati CA, Heaivilin N, Zumsteg ZS (2017) Common oral complications of head and neck cancer radiation therapy: mucositis, infections, saliva change, fibrosis, sensory dysfunctions, dental caries, periodontal disease, and osteoradionecrosis. Cancer Med 6(12):2918–2931. https://doi.org/10.1002/cam4.1221

    Article  PubMed  PubMed Central  Google Scholar 

  2. Wang TH, Liu CJ, Chao TF, Chen TJ, Hu YW (2017) Risk factors for and the role of dental extractions in osteoradionecrosis of the jaws: a national-based cohort study. Head Neck 39(7):1313–1321. https://doi.org/10.1002/hed.24761

    Article  PubMed  Google Scholar 

  3. Lyons A, Ghazali N (2008) Osteoradionecrosis of the jaws: current understanding of its pathophysiology and treatment. Br J Oral Maxillofac Surg 46(8):653–660. https://doi.org/10.1016/j.bjoms.2008.04.006

    Article  PubMed  Google Scholar 

  4. Marx RE (1983) Osteoradionecrosis: a new concept of its pathophysiology. J Oral Maxillofac Surg 41(5):283–288. https://doi.org/10.1016/0278-2391(83)90294-x

    CAS  Article  PubMed  Google Scholar 

  5. London SD, Park SS, Gampper TJ, Hoard MA (1998) Hyperbaric oxygen for the management of radionecrosis of bone and cartilage. The Laryngoscope 108(9):1291–1296

    CAS  Article  Google Scholar 

  6. Marx RE, Johnson RP (1987) Studies in the radiobiology of osteoradionecrosis and their clinical significance. Oral Surg Oral Med Oral Pathol 64(4):379–390

    CAS  Article  Google Scholar 

  7. Thorn JJ, Hansen HS, Specht L, Bastholt L (2000) Osteoradionecrosis of the jaws: clinical characteristics and relation to the field of irradiation. J Oral Maxillofac Surg 58(10):1088–1093. https://doi.org/10.1053/joms.2000.9562 (discussion 1093–1085)

    CAS  Article  PubMed  Google Scholar 

  8. Kuhnt T, Stang A, Wienke A, Vordermark D, Schweyen R, Hey J (2016) Potential risk factors for jaw osteoradionecrosis after radiotherapy for head and neck cancer. Radiat Oncol 11:101. https://doi.org/10.1186/s13014-016-0679-6

    CAS  Article  PubMed  PubMed Central  Google Scholar 

  9. Chang TS, Chang CM, Ho HC, Su YC, Chen LF, Chou P, Lee CC (2013) Impact of young age on the prognosis for oral cancer: a population-based study in Taiwan. PLoS ONE 8(9):e75855. https://doi.org/10.1371/journal.pone.0075855

    CAS  Article  PubMed  PubMed Central  Google Scholar 

  10. Kuo TJ, Leung CM, Chang HS, Wu CN, Chen WL, Chen GJ, Lai YC, Huang WC (2016) Jaw osteoradionecrosis and dental extraction after head and neck radiotherapy: a nationwide population-based retrospective study in Taiwan. Oral Oncol 56:71–77. https://doi.org/10.1016/j.oraloncology.2016.03.005

    Article  PubMed  Google Scholar 

  11. Zhang MX, Li J, Shen GP, Zou X, Xu JJ, Jiang R, You R, Hua YJ, Sun Y, Ma J, Hong MH, Chen MY (2015) Intensity-modulated radiotherapy prolongs the survival of patients with nasopharyngeal carcinoma compared with conventional two-dimensional radiotherapy: a 10-year experience with a large cohort and long follow-up. Eur J Cancer (Oxford, England : 1990) 51(17):2587–2595. https://doi.org/10.1016/j.ejca.2015.08.006

    Article  Google Scholar 

  12. OuYang PY, Shi D, Sun R, Zhu YJ, Xiao Y, Zhang LN, Zhang XH, Chen ZY, Lan XW, Tang J, Gao YH, Ma J, Deng W, Xie FY (2016) Effect of intensity-modulated radiotherapy versus two-dimensional conventional radiotherapy alone in nasopharyngeal carcinoma. Oncotarget 7(22):33408–33417. https://doi.org/10.18632/oncotarget.8573

    Article  PubMed  PubMed Central  Google Scholar 

  13. Harris M (1992) The conservative management of osteoradionecrosis of the mandible with ultrasound therapy. Br J Oral Maxillofac Surg 30(5):313–318

    CAS  Article  Google Scholar 

  14. Nabil S, Samman N (2012) Risk factors for osteoradionecrosis after head and neck radiation: a systematic review. Oral Surg Oral Med Oral Pathol Oral Radiol 113(1):54–69. https://doi.org/10.1016/j.tripleo.2011.07.042

    Article  PubMed  Google Scholar 

  15. Clayman L (1997) Clinical controversies in oral and maxillofacial surgery: part two. Management of dental extractions in irradiated jaws: a protocol without hyperbaric oxygen therapy. J Oral Maxillofac Surg 55(3):275–281

    CAS  Article  Google Scholar 

  16. Jiang Y-m, Zhu X-d, Qu S (2014) Incidence of osteoradionecrosis in patients who have undergone dental extraction prior to radiotherapy: a systematic review and meta-analysis. J Oral Maxillofac Surg Med Pathol 26(3):269–275. https://doi.org/10.1016/j.ajoms.2014.03.010

    Article  Google Scholar 

  17. Glanzmann C, Gratz KW (1995) Radionecrosis of the mandibula: a retrospective analysis of the incidence and risk factors. Radiother Oncol 36(2):94–100

    CAS  Article  Google Scholar 

  18. Moon DH, Moon SH, Wang K, Weissler MC, Hackman TG, Zanation AM, Thorp BD, Patel SN, Zevallos JP, Marks LB, Chera BS (2017) Incidence of, and risk factors for, mandibular osteoradionecrosis in patients with oral cavity and oropharynx cancers. Oral Oncol 72:98–103. https://doi.org/10.1016/j.oraloncology.2017.07.014

    Article  PubMed  Google Scholar 

  19. Curi MM, Dib LL (1997) Osteoradionecrosis of the jaws: a retrospective study of the background factors and treatment in 104 cases. J Oral Maxillofac Surg 55(6):540–544 (discussion 545–546)

    CAS  Article  Google Scholar 

  20. Tsai CJ, Hofstede TM, Sturgis EM, Garden AS, Lindberg ME, Wei Q, Tucker SL, Dong L (2013) Osteoradionecrosis and radiation dose to the mandible in patients with oropharyngeal cancer. Int J Radiat Oncol Biol Phys 85(2):415–420. https://doi.org/10.1016/j.ijrobp.2012.05.032

    Article  PubMed  Google Scholar 

  21. Chang DT, Sandow PR, Morris CG, Hollander R, Scarborough L, Amdur RJ, Mendenhall WM (2007) Do pre-irradiation dental extractions reduce the risk of osteoradionecrosis of the mandible? Head Neck 29(6):528–536. https://doi.org/10.1002/hed.20538

    Article  PubMed  Google Scholar 

  22. Gomez DR, Estilo CL, Wolden SL, Zelefsky MJ, Kraus DH, Wong RJ, Shaha AR, Shah JP, Mechalakos JG, Lee NY (2011) Correlation of osteoradionecrosis and dental events with dosimetric parameters in intensity-modulated radiation therapy for head-and-neck cancer. Int J Radiat Oncol Biol Phys 81(4):e207-213. https://doi.org/10.1016/j.ijrobp.2011.02.003

    Article  PubMed  Google Scholar 

  23. Studer G, Studer SP, Zwahlen RA, Huguenin P, Gratz KW, Lutolf UM, Glanzmann C (2006) Osteoradionecrosis of the mandible: minimized risk profile following intensity-modulated radiation therapy (IMRT). Strahlenther Onkol 182(5):283–288. https://doi.org/10.1007/s00066-006-1477-0

    Article  PubMed  Google Scholar 

  24. Curi MM, Cardoso CL, de Lima HG, Kowalski LP, Martins MD (2016) Histopathologic and histomorphometric analysis of irradiation injury in bone and the surrounding soft tissues of the jaws. J Oral Maxillofac Surg 74(1):190–199. https://doi.org/10.1016/j.joms.2015.07.009

    Article  PubMed  Google Scholar 

  25. Peng G, Wang T, Yang KY, Zhang S, Zhang T, Li Q, Han J, Wu G (2012) A prospective, randomized study comparing outcomes and toxicities of intensity-modulated radiotherapy vs. conventional two-dimensional radiotherapy for the treatment of nasopharyngeal carcinoma. Radiother Oncol 104(3):286–293. https://doi.org/10.1016/j.radonc.2012.08.013

    Article  PubMed  Google Scholar 

  26. Tribius S, Bergelt C (2011) Intensity-modulated radiotherapy versus conventional and 3D conformal radiotherapy in patients with head and neck cancer: is there a worthwhile quality of life gain? Cancer Treat Rev 37(7):511–519. https://doi.org/10.1016/j.ctrv.2011.01.004

    Article  PubMed  Google Scholar 

  27. Renda L, Tsai TY, Huang JJ, Ito R, Hsieh WC, Kao HK, Hung SY, Huang Y, Huang YC, Chang YL, Cheng MH, Chang KP (2020) A nomogram to predict osteoradionecrosis in oral cancer after marginal mandibulectomy and radiotherapy. Laryngoscope 130(1):101–107. https://doi.org/10.1002/lary.27870

    Article  PubMed  Google Scholar 

  28. Goldwaser BR, Chuang SK, Kaban LB, August M (2007) Risk factor assessment for the development of osteoradionecrosis. J Oral Maxillofac Surg 65(11):2311–2316. https://doi.org/10.1016/j.joms.2007.05.021

    Article  PubMed  Google Scholar 

  29. Huang YF, Muo CH, Tsai CH, Liu SP, Chang CT (2019) The association with xerostomia from sialadenitis and the jaw osteonecrosis in head and neck cancer population: a nationwide cohort study. Clin Oral Invest 23(2):585–593. https://doi.org/10.1007/s00784-018-2465-3

    Article  Google Scholar 

  30. Manzano BR, Santaella NG, Oliveira MA, Rubira CMF, Santos P (2019) Retrospective study of osteoradionecrosis in the jaws of patients with head and neck cancer. J Korean Assoc Oral Maxillofac Surg 45(1):21–28. https://doi.org/10.5125/jkaoms.2019.45.1.21

    Article  PubMed  PubMed Central  Google Scholar 

  31. Lee IJ, Koom WS, Lee CG, Kim YB, Yoo SW, Keum KC, Kim GE, Choi EC, Cha IH (2009) Risk factors and dose-effect relationship for mandibular osteoradionecrosis in oral and oropharyngeal cancer patients. Int J Radiat Oncol Biol Phys 75(4):1084–1091. https://doi.org/10.1016/j.ijrobp.2008.12.052

    Article  PubMed  Google Scholar 

  32. Cheng CL, Kao YH, Lin SJ, Lee CH, Lai ML (2011) Validation of the national health insurance research database with ischemic stroke cases in Taiwan. Pharmacoepidemiol Drug Saf 20(3):236–242. https://doi.org/10.1002/pds.2087

    Article  PubMed  Google Scholar 

  33. Chen TJ, Chen YC, Hwang SJ, Chou LF (2007) International collaboration of clinical medicine research in Taiwan, 1990–2004: a bibliometric analysis. J Chin Med Assoc 70(3):110–116. https://doi.org/10.1016/s1726-4901(09)70340-5

    Article  PubMed  Google Scholar 

Download references

Acknowledgements

The authors expressed their appreciation to the Department of Medical Education and Research and Research Center of Medical Informatics in Kaohsiung Veterans General Hospital for inquiries and assistance in the data processing.

Funding

This study was supported by grants (VGHKS104-133 and VGHKS108-D12-1) from Kaohsiung Veterans General Hospital and the Taiwan Health Promotion Administration. The funders had no role in study design, data collection and analysis, decision to publish, or preparation of the manuscript.

Author information

Affiliations

Authors

Corresponding author

Correspondence to Tsu-Jen Kuo.

Ethics declarations

Conflict of interest

The authors declare that they have no conflict of interest.

Ethical approval

This article does not contain any studies with human participants or animals performed by any of the authors.

Informed consent

The article does not have any identifying information about participants.

Additional information

Publisher's Note

Springer Nature remains neutral with regard to jurisdictional claims in published maps and institutional affiliations.

Supplementary Information

Below is the link to the electronic supplementary material.

Supplementary file1 (DOC 41 KB)

Rights and permissions

Reprints and Permissions

About this article

Verify currency and authenticity via CrossMark

Cite this article

Liao, PH., Chu, CH., Hung, YM. et al. Tumor subsites and risk of osteoradionecrosis of the jaw in patients with oral cavity cancer: a national-based cohort study. Eur Arch Otorhinolaryngol 278, 3425–3433 (2021). https://doi.org/10.1007/s00405-020-06529-z

Download citation

  • Received:

  • Accepted:

  • Published:

  • Issue Date:

  • DOI: https://doi.org/10.1007/s00405-020-06529-z

Keywords

  • Oral cavity cancer
  • Osteoradionecrosis
  • Cohort study
  • Radiotherapy