Abstract
Purpose
To determine if sleep apnea had significant effects on hearing functions and to investigate the polysomnography parameters that might be associated with hearing impairment in sleep apnea patients.
Methods
We included 120 patients who were admitted to sleep disorders outpatient clinic. We constituted four groups by reference to the apnea–hypopnea index (including control group), and compared the audiometric parameters of the groups. Additionally, we investigated the correlation of apnea–hypopnea index, desaturation index and min. oxygen saturations with pure-tone thresholds, speech recognition thresholds and speech discrimination scores.
Results
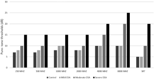
The median pure-tone thresholds at 250, 500, 1000, 2000, 4000 and 8000 mHz, the median speech recognition thresholds and the median speech discrimination scores on both ears did significantly differ among four groups (p < 0.001). Moderate sleep apnea affected high-frequency hearing functions and speech discrimination scores, and severe sleep apnea had significant effects on all hearing functions. Pure-tone thresholds and speech recognition thresholds on the both ears were positively correlated with apnea–hypopnea index and desaturation index, and negatively correlated with min. oxygen saturation (p < 0.001). Speech discrimination scores on the both ears were negatively correlated with apnea–hypopnea index and desaturation index, and positively correlated with min. oxygen saturation (p < 0.001).
Conclusion
Obstructive sleep apnea syndrome (OSA) had several effects on hearing, and hearing impairment might be associated with the severity of OSA. Moderate OSA affected high-frequency hearing functions and severe OSA affected all hearing functions negatively.





References
AASM (2014) International classification of sleep disorders, 3rd edn. American Academy of Sleep Medicine, Darien
Hizli O, Ozcan M, Unal A (2013) Evaluation of comorbidities in patients with OSAS and simple snoring. Sci World J. https://doi.org/10.1155/2013/709292
Kayabasi S, Iriz A, Cayonu M, Cengiz B, Acar A, Boynuegri S, Mujdeci B, Eryilmaz A (2015) Vestibular functions were found to be impaired in patients with moderate-to-severe obstructive sleep apnea. Laryngoscope 125(5):1244–1248. https://doi.org/10.1002/lary.25021
Sozer V, Kutnu M, Atahan E, Caliskaner Ozturk B, Hysi E, Cabuk C, Musellim B, Simsek G, Uzun H (2018) Changes in inflammatory mediators as a result of intermittent hypoxia in obstructive sleep apnea syndrome. Clin Respir J 12(4):1615–1622. https://doi.org/10.1111/crj.12718
Chopra A, Jung M, Kaplan RC, Appel DW, Dinces EA, Dhar S, Zee PC, Gonzalez F 2nd, Lee DJ, Ramos AR, Hoffman HJ, Redline S, Cruickshanks KJ, Shah NA (2016) Sleep apnea is associated with hearing impairment: the hispanic community health study/study of Latinos. J Clin Sleep Med 12(5):719–726. https://doi.org/10.5664/jcsm.5804
Iriz A, Duzlu M, Kokturk O, Kemaloglu YK, Eravci FC, Kuukunal IS, Karamert R (2018) The effect of obstructive sleep apnea syndrome on the central auditory system. Turk J Med Sci 48(1):5–9. https://doi.org/10.3906/sag-1705-66
Matsumura E, Matas CG, Sanches SGG, Magliaro FCL, Pedreno RM, Genta PR, Lorenzi-Filho G, Carvallo RMM (2018) Severe obstructive sleep apnea is associated with cochlear function impairment. Sleep Breath 22(1):71–77. https://doi.org/10.1007/s11325-017-1530-5
Gurgel RK, Jackler RK, Dobie RA, Popelka GR (2012) A new standardized format for reporting hearing outcome in clinical trials. Otolaryngol Head Neck Surg 147(5):803–807. https://doi.org/10.1177/0194599812458401
Seo YJ, Ju HM, Lee SH, Kwak SH, Kang MJ, Yoon JH, Kim CH, Cho HJ (2017) Damage of inner ear sensory hair cells via mitochondrial loss in a murine model of sleep apnea with chronic intermittent hypoxia. Sleep 40(9):1–7. https://doi.org/10.1093/sleep/zsx106
Sowerby LJ, Rotenberg B, Brine M, George CF, Parnes LS (2010) Sleep apnea, daytime somnolence, and idiopathic dizziness—a novel association. Laryngoscope 120(6):1274–1278. https://doi.org/10.1002/lary.20899
Ekin S, Turan M, Arısoy A, Gunbatar H, Sunnetcioglu A, Asker S, Yıldız H (2016) Is there a relationship between obstructive sleep apnea (OSA) and hearing loss? Med sci Monitor 22:3124–3128. https://doi.org/10.12659/MSM.897347
Koo M, Hwang JH (2017) Risk of tinnitus in patients with sleep apnea: a nationwide, population-based, case-control study. Laryngoscope 127(9):2171–2175. https://doi.org/10.1002/lary.26323
Hizli O, Hizli P, Kaya S, Monsanto Rda C, Paparella MM, Cureoglu S (2016) Histopathologic ear findings of syphilis: a temporal bone study. Eur Arch Otorhinolaryngol 273(9):2443–2449. https://doi.org/10.1007/s00405-015-3834-z
Kariya S, Kaya S, Hizli O, Hizli P, Nishizaki K, Paparella MM, Cureoglu S (2016) Cochlear histopathologic findings in patients with systemic lupus erythematosus: a human temporal bone study. Otol Neurotol 37(5):593–597. https://doi.org/10.1097/mao.0000000000001017
Maimon N, Hanly PJ (2010) Does snoring intensity correlate with the severity of obstructive sleep apnea? J Clin Sleep Med 6(5):475–478
Funding
None.
Author information
Authors and Affiliations
Contributions
SK: designed study, collected and analyzed data, supervised study. ÖH: collected and analyzed data, made statistics, wrote article. GY: analyzed data, supervised study, revised article.
Corresponding author
Ethics declarations
Conflict of interest
The authors declare that there is no conflict of interest.
Ethical statement
All procedures performed in this study were in accordance with the ethical standards of the institutional research committee and with the 1964 Helsinki declaration and its later amendments or comparable ethical standards. This article does not contain any studies with animals performed by any of the authors. This study was approved by the local ethic committee (IRB number: 01-07) and informed consent was obtained from all individual participants included in the study.
Additional information
Publisher's Note
Springer Nature remains neutral with regard to jurisdictional claims in published maps and institutional affiliations.
Rights and permissions
About this article
Cite this article
Kayabasi, S., Hizli, O. & Yildirim, G. The association between obstructive sleep apnea and hearing loss: a cross-sectional analysis. Eur Arch Otorhinolaryngol 276, 2215–2221 (2019). https://doi.org/10.1007/s00405-019-05468-8
Received:
Accepted:
Published:
Issue Date:
DOI: https://doi.org/10.1007/s00405-019-05468-8