Abstract
Purpose
To identify known risk factors for pelvic organ prolapse (POP) in a hospital cohort and to develop a prolapse risk index (PRI).
Methods
Risk factors for POP were recorded in women who underwent surgery with symptomatic POP (n = 500) or non-POP gynaecological conditions (n = 236). Descriptive statistics were determined by Chi-squared and Mann–Whitney U tests. Stepwise multivariate regression analysis was performed for all patients and subgroups by age (<60 and ≥60 years). Primary outcome measures were variables with the strongest impact on prolapse and PRI development. Secondary: specificity, sensitivity, positive and negative predictive values (PPV and NPV, respectively), and Cohen’s kappa statistic (κ).
Results
Stepwise multivariate regression analysis (n = 736) showed difficult obstetric history [odds ratio (OR) 10.04], family history of POP (OR 7.28), and ≥10 years since menopause (OR 4.53) were independent risk factors for prolapse (P < 0.001). When one of the three variables with the strongest influence on POP development was present, the PRI for all women showed a PPV of 82 %, NPV of 68 %, and κ of 0.47 for predicting symptomatic POP requiring treatment. In women under 60 years (n = 349), logistic regression revealed difficult obstetric history (OR 9.108), positive family history (OR 8.016), and body mass index (OR 2.274) as independent risk factors.
Conclusions
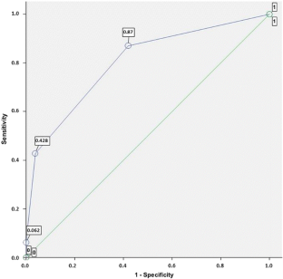
Eighty-seven percent of our patient cohort with symptomatic POP requiring therapy could be identified by the PRI, which may be useful for counselling and education.



References
Subak LL, Waetjen LE, Van den Eaden S et al (2001) Cost of pelvic organ prolapse surgery in the United States. Obstet Gynecol 98:646–651
Barber MD, Maher C (2013) Epidemiology and outcome assessment of pelvic organ prolapse. Int Urogynecol J 24:1783–1790
Boyles SH, Weber AM, Meyn L (2003) Procedures for pelvic organ prolapse in the United States, 1979–1997. Am J Obstet Gynecol 188(1):108–115
Brown JS, Waetjen LE, Subak LL, Thom DH, Van den Eeden S, Vittinghoff E (2002) Pelvic organ prolapse surgery in the United States. Am J Obstet Gynecol 186:712–716
Shah AD, Kohli N, Rajan SS, Hoyte L (2008) The age distribution, rates, and types of surgery for pelvic organ prolapse in the USA. Int Urogynecol J Pelvic Floor Dysfunct 19(3):421–428
WHO (2002) Active ageing—a policy framework
Braekken IH, Majida M, Engh ME, Holme IM, Bo K (2009) Pelvic floor function is independently associated with pelvic organ prolapse. BJOG 116:1706–1714
Jelovsek JE, Maher C, Barber MD (2007) Pelvic organ prolapse. Lancet 369(24):1027–1038
Lince SL, van Kempen LC, Vierhout ME, Kluivers KB (2012) A systemic review of clinical studies on hereditary factors in pelvic organ prolapse. Int Urogynecol J 23:1327–1336
Miedel A, Tegerstedt G, Maehl-Schmidt M, Nyren O, Hammarström M (2009) Nonobstetric risk factors for symptomatic pelvic organ prolapse. Obstet Gynecol 113(5):1089–1097
Norton PA, Allen-Brady K, Cannon-Albright LA (2013) The familiarity of pelvic organ prolapse in the Utah population database. Int Urogynecol J 24:413–418
Mothes AR, Mothes HK, Radosa MP, Runnebaum IB (2014) Systematic assessment of surgical complications in 438 cases of vaginal native tissue repair for pelvic organ prolapse adopting Clavien-Dindo classification. Arch Gynecol Obstet (epub ahead of print)
Baden WF, Walker TA, Lindsey JH (1968) The vaginal profile. Tex Med J 64(5):56–58
Cohen J (1968) Weighted kappa: nominal scale agreement with provision for scaled disagreement or partial credit. Psycho Bull 70(4):213–220
Landis JR, Koch GG (1977) The measurement of observer agreement for categorical data. Biometrics 33(1):159–174
Holle R (1995) Methoden zur Konstruktion und Evaluierung klinischer Scores. Habilitationsschrift Medizinische Biometrie, Ruprecht-Karl-Universität Heidelberg. Thesis on “Methods for the construction and evaluation of clinical scores”. Dissertation, Medical Biometry at the Medical Faculty, University of Heidelberg, Germany
Dunivan GC, Cichowski SB, Komesu YM, Fairchild PS, Anger JT, Rogers RG (2014) Ethnicity and variations of pelvic organ prolapse bother. Int Urogynecol J Pelvic Floor Dysfunct 25:53–59
O´Boyle AL, Woodmann PJ, O´Boyle JD, Davis GD, Swift SE (2002) Pelvic organ support in nulliparous pregnant and nonpregnant women: a case control study. Am J Obstet Gynecol 187(1):99–102
Baragi RV, DeLancey JOL, Caspari R, Howard DH, Ashton-Miller JA (2002) Differences in pelvic floor area between African American and European American women. Am J Obstet Gynecol 187(1):111–115
Chow D, Rodriguez LV (2013) Epidemiology and prevalence of pelvic organ prolapse. Curr Opin Urol 23:293–298
Durnea CM, Khashan AS, Kenny LD, Durnea UA, Smyth MM, O´Reilly BA (2014) Prevalence, etiology and risk factors of pelvic organ prolapse in premenopausal primiparous women. Int Urogynecol J. doi:10.1007/s00192-014-2382-1
Lawrence JM, Lukacz ES, Nager CW et al (2008) Prevalence and co-occurrence of pelvic floor disorders in community-dwelling women. Obstet Gynecol 111:678–685
Nygaard I, Bradley C, Brandt D (2004) Pelvic organ prolapse in older women: prevalence and risk factors. Obstet Gynecol 104:189–197
Slieker-ten Hover MCP, Pool-Goudzwaard AL, Eijkemans MJC, Steegers-Theunissen RPM, Burger CW, Vierhout ME (2009) Prediction model and prognostic index to estimate clinically relevant pelvic organ prolapse in a general female population. In J Urogynecol 20:1013–1021
Swift SE (2000) The distribution of pelvic organ support in a population of female subjects seen for routine gynecologic healthcare. Am J Obstet Gynecol 183:277–285
Wu JM, Vaughan CP, Goode PS, Redden DT, Burgio KL, Richter HE, Markland AD (2014) Prevalence and trends of symptomatic pelvic floor disorders in U.S. women. Obstet Gynecol 123(1):141–148
Fialkow MF, Newton KM, Lentz GM, Weiss NS (2008) Lifetime risk of surgical management for pelvic organ prolapse or urinary incontinence. Int Urogynecol J Pelvic Floor Dysfunct 19(3):437–440
Gutman RE, Ford DE, Quiroz LH et al (2008) Is there a pelvic organ prolapse threshold that predicts pelvic floor symptoms? Am J Obstet Gynecol 199(6):683.e1–683.e7
Lundorff P, Brölmann H, Koninckx PR, Mara M, Wattiez A, Wallwiener M, Trew G, Crowe AM, De Wilde RL, Anti-Adhesions in Gynaecology Expert Panel (2015) Predicting formation of adhesions after gynaecological surgery: development of a risk score. Arch Gynecol Obstet (epub ahead of print)
Robinson CJ, Swift S, Johnson DD, Almeida JS (2008) Prediction of pelvic organ prolapse using an artificial neural network. AJOG 199:193.e1–193.e6
Qatawneh A, Thekrallah F, Bata M, Al-Kazaleh F, Almustafa M, Abu-Kader I (2013) Risk factors of surgical failure following sacrospinous colpopexy for the treatment of uterovaginal prolapse. Arch Gynecol Obstet 287(6):1159–1165
Swift SE, Pound T, Dias JK (2001) Case-control study of etiologic factors in the development of severe pelvic organ prolapse. Int Urogynecol J Pelvic Floor Dysfunct 12(3):187–192
McLennan MT, Harris JK, Kariuki B, Meyer S (2008) Family history as a risk factor for pelvic organ prolapse. Int Urogynecol J Pelvic Floor Dysfunct 19(8):1063–1069
Acknowledgments
The authors thank Mrs. Monika Feesche and Mrs. Anett Krahmer, Department of Gynaecology and Obstetrics, University Hospital, Jena, Germany, for assistance with data collection.
Author information
Authors and Affiliations
Corresponding author
Ethics declarations
Details of ethics approval
This research proposal was covered by approval for data use and clinical studies from the General Ethics Commission, Faculty of Medicine, Jena University Hospital, Germany (No. 4142-07/14). Additional ethical approval was not necessary from the Ethics Commission of the Faculty of Medicine, Jena University Hospital, Germany, as only anonymised data were analysed in this study.
Conflict of interest
The authors declare that they have not received any funding from any institution for the submitted work, have had no financial relationships with any institution that might have an interest in the submitted work in the last 5 years, and have no other relationship or activities that could appear to influence the submitted work.
Rights and permissions
About this article
Cite this article
Mothes, A.R., Radosa, M.P., Altendorf-Hofmann, A. et al. Risk index for pelvic organ prolapse based on established individual risk factors. Arch Gynecol Obstet 293, 617–624 (2016). https://doi.org/10.1007/s00404-015-3863-2
Received:
Accepted:
Published:
Issue Date:
DOI: https://doi.org/10.1007/s00404-015-3863-2