Skip to main content

Maternal peripheral T helper 1-type and T helper 2-type immunity in women during the first trimester of twin pregnancy

Abstract

Introduction

This study investigated the T helper Th1:Th2 balance in twin pregnancies compared with singleton pregnancies during the first trimester.

Methods

Blood samples were taken from 24 women with a singleton pregnancy and 14 women with twin pregnancy at 8–9 weeks’ gestation to examine the ratios of Th1:Th2 and serum human chorionic gonadotropin (hCG) and progesterone levels.

Results

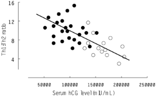
The average ratio of Th1:Th2 in the twin pregnancies was significantly lower than that in singleton pregnancies (7.3±2.3 vs. 10.5±2.2, p<0.05). There were negative correlations between the Th1:Th2 ratio and serum hCG levels (mIU/ml) (Th1:Th2 ratio = 14.5−4.52×10−5×hCG, r2=0.41, p<0.05) and between the Th1:Th2 ratio and serum progesterone levels (ng/dl; Th1:Th2 ratio = 23.0−0.63 × progesterone, r2=0.36, p<0.05).

Conclusion

Our findings show marked predominance of Th2 type cytokines occurring in twin pregnancies is related to the increase in trophoblasts during the first trimester.

This is a preview of subscription content, access via your institution.

Fig. 1
Fig. 2

References

  1. Akahoshi M, Nakashima H, Tanaka Y, Kohsaka T, Nagano S, Ohgami E, Arinobu Y, Yamaoka K, Niiro H, Shunozuka M, Hirakata H, Horiuchi T, Otsuka T, Niho Y (1995) Th1/Th2 balance of peripheral T helper cells in systemic lupus erythematosus. Arthritis Rheum 38:1832–1836

    PubMed  Google Scholar 

  2. Grun JP, Meuris S, De Nayer P, Glinoer D (1997) The thyrotropic role of human chorionic gonadotropin (hCG) in the early stage of twin (versus single) pregnancies. Clin Endocrinol 46:719–725

    CAS  Google Scholar 

  3. Holmes VA, Wallace JM, Gilmore WS, McFaul P, Alexander HD (2003) Plasma levels of the immunomodulatory cytokine-10 during normal human pregnancy: a longitudinal study. Cytokine 21:265–269

    Article  CAS  PubMed  Google Scholar 

  4. Johnson MR, Abbas A, Nicolaides KH (1994) Maternal plasma levels of human chorionic gonadotropin, estradiol and progesterone in multifetal pregnancies before and after fetal reduction. J Endocrinol 143:309–312

    CAS  PubMed  Google Scholar 

  5. Jovanovic L, Landsman R, Saxwna BB (1977) Screening for twin pregnancy. Science 198:738

    PubMed  Google Scholar 

  6. King A, Loke YW (1990) Human trophoblast and JEG choriocarcinoma cells are sensitive to lysis by IL-2 stimulated decidua NK cells. Cell Immunol 129:435–441

    CAS  PubMed  Google Scholar 

  7. Kobayashi O, Shirotake S, Takamizawa H (1983) Studies on enzyme immunoassay for human chorionic gonadotropin and its clinical application. Nippon Sanka Fujinka Gakkai Zasshi 35:764–772

    PubMed  Google Scholar 

  8. Mosmann TR, Sad S (1996) The expanding universe of T cell subsets—Th1 and Th2 and more. Immunol Today 17:138–146

    CAS  PubMed  Google Scholar 

  9. Piccinni MP, Giudizi MG, Biagiotti R, Beloni L, Giannarini L, Sampograno S, Parrorchi P, Manetti R, Annunziato F, Livi C et al (1995) Progesterone favors the development of human T helper cells producing Th2-type cytokines and promotes both IL-4 production and membrane CD30 expression in established Th1 cell clones. J Immunol 155:128–133

    PubMed  Google Scholar 

  10. Piccinni MP, Beloni L, Livi C, Maggi E, Scareselli G, Romafnani S (1998) Defective production of both leukemia inhibitory factor and type 2 T-helper cytokines by decidual T cells in unexplained recurrent abortion. Nat Med 4:1020–1024

    CAS  PubMed  Google Scholar 

  11. Pollard J, Bartocci A, Arceci R, Orlofsky A, Landner MB, Stanley ER (1987) Apparent role of the macrophage growth factor CSF-1 in placental development. Nature 330:484–486

    Article  PubMed  Google Scholar 

  12. Saito S (2000) Cytokine network at the feto-maternal interface. J Reprod Immunol 47:87–103

    CAS  PubMed  Google Scholar 

  13. Saito S, Saito M, Enomoto M, Ito A, Motoyoshi K, Nakagawa T, Ichijo M (1993) Human macrophage colony-stimulating factor induces the differentiation of trophoblast. Growth Factors 9:11–19

    PubMed  Google Scholar 

  14. Saito S, Sakai M, Sasaki Y, Tanabe K, Tsuda H, Michimata T (1999) Quantitative analysis of peripheral blood Th0, Th1, Th2 and the Th1:Th2 cell ratio during normal human pregnancy and preeclampsia. Clin Exp Immunol 117:550–555

    CAS  PubMed  Google Scholar 

  15. Saito S, Umekage H, Sakamoto Y, Sakai M, Sasaki Y, Morikawa H (1999) Increased T-helper-1-type immunity and decreased t-helper-2-type immunity in patients with preeclampsia. Am J Reprod Immunol 41:97–306

    Google Scholar 

  16. Sasaki K, Ishida N (1975) Diminished immune response in pregnant mice. Tohoku J Exp Med 116:391–392

    CAS  PubMed  Google Scholar 

  17. Suzuki S, Kuwajima T, Yoneyama Y, Sawa R, Araki T (2002) Maternal peripheral T-helper 1-type and T-helper 2-type immunity in nonpreeclamptic twin pregnancies. Gynecol Obstet Invest 53:140–143

    Article  PubMed  Google Scholar 

  18. Szekeres-Bartho J (2002) Immunological relationship between the mother and the fetus. Int Rev Immunol 21:471–495

    CAS  PubMed  Google Scholar 

  19. Wegmann TG, Lin H, Guilbert L, Mosmann TH (1993) Bidirectional cytokine interactions in the maternal-fetal relationship: is successful pregnancy a TH2 phenomenon? Immunol Today 14:353–356

    CAS  PubMed  Google Scholar 

Download references

Author information

Affiliations

Authors

Corresponding author

Correspondence to Shunji Suzuki.

Rights and permissions

Reprints and Permissions

About this article

Cite this article

Suzuki, S., Okudaira, S. Maternal peripheral T helper 1-type and T helper 2-type immunity in women during the first trimester of twin pregnancy. Arch Gynecol Obstet 270, 260–262 (2004). https://doi.org/10.1007/s00404-003-0549-y

Download citation

  • Received:

  • Accepted:

  • Published:

  • Issue Date:

  • DOI: https://doi.org/10.1007/s00404-003-0549-y

Keywords

  • Th1
  • Th2
  • Twin pregnancy
  • Human chorionic gonadotropin
  • Progesterone