Skip to main content

Prognostic impact of the 2016 WHO classification of diffuse gliomas in the French POLA cohort

Abstract

The new WHO classification of diffuse gliomas has been refined and now includes the 1p/19q codeletion, IDH1/2 mutation, and histone H3-K27M mutation. Our objective was to assess the prognostic value of the updated 2016 WHO classification in the French POLA cohort. All cases of high-grade oligodendroglial tumors sent for central pathological review and included into the French nationwide POLA cohort were reclassified according to the updated 4th WHO classification. In total, 1041 patients were included, with a median age at diagnosis of 50.4 years (range 17.1–84.4). Based on the new histomolecular classification, diagnoses included anaplastic oligodendroglioma IDH mutant and 1p/19q-codeleted (32.5 %), anaplastic astrocytoma IDH mutant (IDH mut) (11.0 %), anaplastic astrocytoma IDH wild type (IDH wt) (5.3 %), glioblastoma IDH mut (17.1 %), and glioblastoma IDH wt (33.2 %). Ten patients presented with a diffuse midline tumor, H3 K27M mutant. The new WHO classification was prognostic for progression-free survival (PFS) and overall survival (OS) (p < 0.001). We did not find prognosis differences between grades III and IV for IDH mut 1p/19q intact and IDH wt gliomas in univariate and multivariate analyses. Among anaplastic astrocytoma IDH wt, cases with chromosome arm 7p gain and 10q loss (55 %) had shorter PFS than the others (p = 0.027). In conclusion, the new WHO histomolecular classification of diffuse gliomas presented with high prognostic value. Grading was not discriminant between grade III and IV high-grade gliomas.

This is a preview of subscription content, access via your institution.

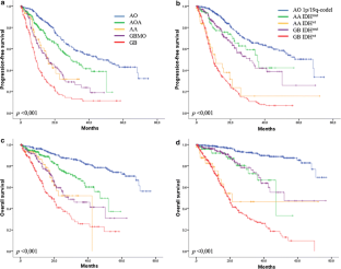
Fig. 1
Fig. 2
Fig. 3

References

  1. van den Bent MJ (2010) Interobserver variation of the histopathological diagnosis in clinical trials on glioma: a clinician’s perspective. Acta Neuropathol (Berl) 120:297–304. doi:10.1007/s00401-010-0725-7

    Article  Google Scholar 

  2. van den Bent MJ, Brandes AA, Taphoorn MJB, Kros JM, Kouwenhoven MCM, Delattre J-Y, Bernsen HJJA, Frenay M, Tijssen CC, Grisold W, Sipos L, Enting RH, French PJ, Dinjens WNM, Vecht CJ, Allgeier A, Lacombe D, Gorlia T, Hoang-Xuan K (2013) Adjuvant procarbazine, lomustine, and vincristine chemotherapy in newly diagnosed anaplastic oligodendroglioma: long-term follow-up of EORTC brain tumor group study 26951. J Clin Oncol Off J Am Soc Clin Oncol 31:344–350. doi:10.1200/JCO.2012.43.2229

    Article  Google Scholar 

  3. Cairncross G, Wang M, Shaw E, Jenkins R, Brachman D, Buckner J, Fink K, Souhami L, Laperriere N, Curran W, Mehta M (2013) Phase III trial of chemoradiotherapy for anaplastic oligodendroglioma: long-term results of RTOG 9402. J Clin Oncol Off J Am Soc Clin Oncol 31:337–343. doi:10.1200/JCO.2012.43.2674

    CAS  Article  Google Scholar 

  4. Network Cancer Genome Atlas Research, Brat DJ, Verhaak RGW, Aldape KD, Yung WKA, Salama SR, Cooper LAD, Rheinbay E, Miller CR, Vitucci M, Morozova O, Robertson AG, Noushmehr H, Laird PW, Cherniack AD, Akbani R, Huse JT, Ciriello G, Poisson LM, Barnholtz-Sloan JS, Berger MS, Brennan C, Colen RR, Colman H, Flanders AE, Giannini C, Grifford M, Iavarone A, Jain R, Joseph I, Kim J, Kasaian K, Mikkelsen T, Murray BA, O’Neill BP, Pachter L, Parsons DW, Sougnez C, Sulman EP, Vandenberg SR, Van Meir EG, von Deimling A, Zhang H, Crain D, Lau K, Mallery D, Morris S, Paulauskis J, Penny R, Shelton T, Sherman M, Yena P, Black A, Bowen J, Dicostanzo K, Gastier-Foster J, Leraas KM, Lichtenberg TM, Pierson CR, Ramirez NC, Taylor C, Weaver S, Wise L, Zmuda E, Davidsen T, Demchok JA, Eley G, Ferguson ML, Hutter CM, Mills Shaw KR, Ozenberger BA, Sheth M, Sofia HJ, Tarnuzzer R, Wang Z, Yang L, Zenklusen JC, Ayala B, Baboud J, Chudamani S, Jensen MA, Liu J, Pihl T, Raman R, Wan Y, Wu Y, Ally A, Auman JT, Balasundaram M, Balu S, Baylin SB, Beroukhim R, Bootwalla MS, Bowlby R, Bristow CA, Brooks D, Butterfield Y, Carlsen R, Carter S, Chin L, Chu A, Chuah E, Cibulskis K, Clarke A, Coetzee SG, Dhalla N, Fennell T, Fisher S, Gabriel S, Getz G, Gibbs R, Guin R, Hadjipanayis A, Hayes DN, Hinoue T, Hoadley K, Holt RA, Hoyle AP, Jefferys SR, Jones S, Jones CD, Kucherlapati R, Lai PH, Lander E, Lee S, Lichtenstein L, Ma Y, Maglinte DT, Mahadeshwar HS, Marra MA, Mayo M, Meng S, Meyerson ML, Mieczkowski PA, Moore RA, Mose LE, Mungall AJ, Pantazi A, Parfenov M, Park PJ, Parker JS, Perou CM, Protopopov A, Ren X, Roach J, Sabedot TS, Schein J, Schumacher SE, Seidman JG, Seth S, Shen H, Simons JV, Sipahimalani P, Soloway MG, Song X, Sun H, Tabak B, Tam A, Tan D, Tang J, Thiessen N, Triche T, Van Den Berg DJ, Veluvolu U, Waring S, Weisenberger DJ, Wilkerson MD, Wong T, Wu J, Xi L, Xu AW, Yang L, Zack TI, Zhang J, Aksoy BA, Arachchi H, Benz C, Bernard B, Carlin D, Cho J, DiCara D, Frazer S, Fuller GN, Gao J, Gehlenborg N, Haussler D, Heiman DI, Iype L, Jacobsen A, Ju Z, Katzman S, Kim H, Knijnenburg T, Kreisberg RB, Lawrence MS, Lee W, Leinonen K, Lin P, Ling S, Liu W, Liu Y, Liu Y, Lu Y, Mills G, Ng S, Noble MS, Paull E, Rao A, Reynolds S, Saksena G, Sanborn Z, Sander C, Schultz N, Senbabaoglu Y, Shen R, Shmulevich I, Sinha R, Stuart J, Sumer SO, Sun Y, Tasman N, Taylor BS, Voet D, Weinhold N, Weinstein JN, Yang D, Yoshihara K, Zheng S, Zhang W, Zou L, Abel T, Sadeghi S, Cohen ML, Eschbacher J, Hattab EM, Raghunathan A, Schniederjan MJ, Aziz D, Barnett G, Barrett W, Bigner DD, Boice L, Brewer C, Calatozzolo C, Campos B, Carlotti CG, Chan TA, Cuppini L, Curley E, Cuzzubbo S, Devine K, DiMeco F, Duell R, Elder JB, Fehrenbach A, Finocchiaro G, Friedman W, Fulop J, Gardner J, Hermes B, Herold-Mende C, Jungk C, Kendler A, Lehman NL, Lipp E, Liu O, Mandt R, McGraw M, Mclendon R, McPherson C, Neder L, Nguyen P, Noss A, Nunziata R, Ostrom QT, Palmer C, Perin A, Pollo B, Potapov A, Potapova O, Rathmell WK, Rotin D, Scarpace L, Schilero C, Senecal K, Shimmel K, Shurkhay V, Sifri S, Singh R, Sloan AE, Smolenski K, Staugaitis SM, Steele R, Thorne L, Tirapelli DPC, Unterberg A, Vallurupalli M, Wang Y, Warnick R, Williams F, Wolinsky Y, Bell S, Rosenberg M, Stewart C, Huang F, Grimsby JL, Radenbaugh AJ, Zhang J (2015) Comprehensive, integrative genomic analysis of diffuse lower-grade gliomas. N Engl J Med 372:2481–2498. doi:10.1056/NEJMoa1402121

    Article  Google Scholar 

  5. Coons SW, Johnson PC, Scheithauer BW, Yates AJ, Pearl DK (1997) Improving diagnostic accuracy and interobserver concordance in the classification and grading of primary gliomas. Cancer 79:1381–1393

    CAS  Article  PubMed  Google Scholar 

  6. Figarella-Branger D, Mokhtari K, Colin C, Uro-Coste E, Jouvet A, Dehais C, Carpentier C, Villa C, Maurage C-A, Eimer S, Polivka M, Vignaud J-M, Laquerriere A, Sevestre H, Lechapt-Zalcman E, Quintin-Roué I, Aubriot-Lorton M-H, Diebold M-D, Viennet G, Adam C, Loussouarn D, Michalak S, Rigau V, Heitzmann A, Vandenbos F, Forest F, Chiforeanu D, Tortel M-C, Labrousse F, Chenard M-P, Nguyen AT, Varlet P, Kemeny JL, Levillain P-M, Cazals-Hatem D, Richard P, Delattre J-Y, POLA Network (2015) Prognostic relevance of histomolecular classification of diffuse adult high-grade gliomas with necrosis. Brain Pathol Zurich Switz 25:418–428. doi:10.1111/bpa.12227

    CAS  Article  Google Scholar 

  7. Figarella-Branger D, Mokhtari K, Dehais C, Jouvet A, Uro-Coste E, Colin C, Carpentier C, Forest F, Maurage C-A, Vignaud J-M, Polivka M, Lechapt-Zalcman E, Eimer S, Viennet G, Quintin-Roué I, Aubriot-Lorton M-H, Diebold M-D, Loussouarn D, Lacroix C, Rigau V, Laquerrière A, Vandenbos F, Michalak S, Sevestre H, Peoch M, Labrousse F, Christov C, Kemeny J-L, Chenard M-P, Chiforeanu D, Ducray F, Idbaih A, POLA Network (2014) Mitotic index, microvascular proliferation, and necrosis define 3 groups of 1p/19q codeleted anaplastic oligodendrogliomas associated with different genomic alterations. Neuro-Oncol 16:1244–1254. doi:10.1093/neuonc/nou047

    CAS  Article  PubMed  PubMed Central  Google Scholar 

  8. Hartmann C, Hentschel B, Wick W, Capper D, Felsberg J, Simon M, Westphal M, Schackert G, Meyermann R, Pietsch T, Reifenberger G, Weller M, Loeffler M, von Deimling A (2010) Patients with IDH1 wild type anaplastic astrocytomas exhibit worse prognosis than IDH1-mutated glioblastomas, and IDH1 mutation status accounts for the unfavorable prognostic effect of higher age: implications for classification of gliomas. Acta Neuropathol (Berl) 120:707–718. doi:10.1007/s00401-010-0781-z

    Article  Google Scholar 

  9. Hinrichs BH, Newman S, Appin CL, Dunn W, Cooper L, Pauly R, Kowalski J, Rossi MR, Brat DJ (2016) Farewell to GBM-O: genomic and transcriptomic profiling of glioblastoma with oligodendroglioma component reveals distinct molecular subgroups. Acta Neuropathol Commun 4:4. doi:10.1186/s40478-015-0270-7

    Article  PubMed  PubMed Central  Google Scholar 

  10. Houillier C, Wang X, Kaloshi G, Mokhtari K, Guillevin R, Laffaire J, Paris S, Boisselier B, Idbaih A, Laigle-Donadey F, Hoang-Xuan K, Sanson M, Delattre J-Y (2010) IDH1 or IDH2 mutations predict longer survival and response to temozolomide in low-grade gliomas. Neurology 75:1560–1566. doi:10.1212/WNL.0b013e3181f96282

    CAS  Article  PubMed  Google Scholar 

  11. Huse JT, Diamond EL, Wang L, Rosenblum MK (2015) Mixed glioma with molecular features of composite oligodendroglioma and astrocytoma: a true “oligoastrocytoma”? Acta Neuropathol (Berl) 129:151–153. doi:10.1007/s00401-014-1359-y

    Article  Google Scholar 

  12. Idbaih A, Ducray F, Dehais C, Courdy C, Carpentier C, de Bernard S, Uro-Coste E, Mokhtari K, Jouvet A, Honnorat J, Chinot O, Ramirez C, Beauchesne P, Benouaich-Amiel A, Godard J, Eimer S, Parker F, Lechapt-Zalcman E, Colin P, Loussouarn D, Faillot T, Dam-Hieu P, Elouadhani-Hamdi S, Bauchet L, Langlois O, Le Guerinel C, Fontaine D, Vauleon E, Menei P, Fotso MJM, Desenclos C, Verrelle P, Verelle P, Ghiringhelli F, Noel G, Labrousse F, Carpentier A, Dhermain F, Delattre J-Y, Figarella-Branger D, POLA Network (2012) SNP array analysis reveals novel genomic abnormalities including copy neutral loss of heterozygosity in anaplastic oligodendrogliomas. PLoS One 7:e45950. doi:10.1371/journal.pone.0045950

    Article  PubMed  PubMed Central  Google Scholar 

  13. Kaloshi G, Benouaich-Amiel A, Diakite F, Taillibert S, Lejeune J, Laigle-Donadey F, Renard M-A, Iraqi W, Idbaih A, Paris S, Capelle L, Duffau H, Cornu P, Simon J-M, Mokhtari K, Polivka M, Omuro A, Carpentier A, Sanson M, Delattre J-Y, Hoang-Xuan K (2007) Temozolomide for low-grade gliomas: predictive impact of 1p/19q loss on response and outcome. Neurology 68:1831–1836. doi:10.1212/01.wnl.0000262034.26310.a2

    CAS  Article  PubMed  Google Scholar 

  14. Killela PJ, Reitman ZJ, Jiao Y, Bettegowda C, Agrawal N, Diaz LA, Friedman AH, Friedman H, Gallia GL, Giovanella BC, Grollman AP, He T-C, He Y, Hruban RH, Jallo GI, Mandahl N, Meeker AK, Mertens F, Netto GJ, Rasheed BA, Riggins GJ, Rosenquist TA, Schiffman M, Shih I-M, Theodorescu D, Torbenson MS, Velculescu VE, Wang T-L, Wentzensen N, Wood LD, Zhang M, McLendon RE, Bigner DD, Kinzler KW, Vogelstein B, Papadopoulos N, Yan H (2013) TERT promoter mutations occur frequently in gliomas and a subset of tumors derived from cells with low rates of self-renewal. Proc Natl Acad Sci USA 110:6021–6026. doi:10.1073/pnas.1303607110

    CAS  Article  PubMed  PubMed Central  Google Scholar 

  15. Labussière M, Idbaih A, Wang X-W, Marie Y, Boisselier B, Falet C, Paris S, Laffaire J, Carpentier C, Crinière E, Ducray F, El Hallani S, Mokhtari K, Hoang-Xuan K, Delattre J-Y, Sanson M (2010) All the 1p19q codeleted gliomas are mutated on IDH1 or IDH2. Neurology 74:1886–1890. doi:10.1212/WNL.0b013e3181e1cf3a

    Article  PubMed  Google Scholar 

  16. Louis DN, Ohgaki H, Wiestler OD, Cavenee WK, Burger PC, Jouvet A, Scheithauer BW, Kleihues P (2007) The 2007 WHO classification of tumours of the central nervous system. Acta Neuropathol (Berl) 114:97–109. doi:10.1007/s00401-007-0243-4

    Article  Google Scholar 

  17. Louis DN, Perry A, Burger P, Ellison DW, Reifenberger G, von Deimling A, Aldape K, Brat D, Collins VP, Eberhart C, Figarella-Branger D, Fuller GN, Giangaspero F, Giannini C, Hawkins C, Kleihues P, Korshunov A, Kros JM, Beatriz Lopes M, Ng H-K, Ohgaki H, Paulus W, Pietsch T, Rosenblum M, Rushing E, Soylemezoglu F, Wiestler O, Wesseling P, International Society Of Neuropathology-Haarlem (2014) International Society Of Neuropathology-Haarlem consensus guidelines for nervous system tumor classification and grading. Brain Pathol Zurich Switz 24:429–435. doi:10.1111/bpa.12171

    Article  Google Scholar 

  18. Louis DN, Perry A, Reifenberger G, von Deimling A, Figarella-Branger D, Cavenee WK, Ohgaki H, Wiestler OD, Kleihues P, Ellison DW (2016) The 2016 World Health Organization classification of tumors of the central nervous system: a summary. Acta Neuropathol (Berl). doi:10.1007/s00401-016-1545-1

    Google Scholar 

  19. Olar A, Wani KM, Alfaro-Munoz KD, Heathcock LE, van Thuijl HF, Gilbert MR, Armstrong TS, Sulman EP, Cahill DP, Vera-Bolanos E, Yuan Y, Reijneveld JC, Ylstra B, Wesseling P, Aldape KD (2015) IDH mutation status and role of WHO grade and mitotic index in overall survival in grade II-III diffuse gliomas. Acta Neuropathol (Berl) 129:585–596. doi:10.1007/s00401-015-1398-z

    CAS  Article  Google Scholar 

  20. Parsons DW, Jones S, Zhang X, Lin JC-H, Leary RJ, Angenendt P, Mankoo P, Carter H, Siu I-M, Gallia GL, Olivi A, McLendon R, Rasheed BA, Keir S, Nikolskaya T, Nikolsky Y, Busam DA, Tekleab H, Diaz LA, Hartigan J, Smith DR, Strausberg RL, Marie SKN, Shinjo SMO, Yan H, Riggins GJ, Bigner DD, Karchin R, Papadopoulos N, Parmigiani G, Vogelstein B, Velculescu VE, Kinzler KW (2008) An integrated genomic analysis of human glioblastoma multiforme. Science 321:1807–1812. doi:10.1126/science.1164382

    CAS  Article  PubMed  PubMed Central  Google Scholar 

  21. Reuss DE, Kratz A, Sahm F, Capper D, Schrimpf D, Koelsche C, Hovestadt V, Bewerunge-Hudler M, Jones DTW, Schittenhelm J, Mittelbronn M, Rushing E, Simon M, Westphal M, Unterberg A, Platten M, Paulus W, Reifenberger G, Tonn J-C, Aldape K, Pfister SM, Korshunov A, Weller M, Herold-Mende C, Wick W, Brandner S, von Deimling A (2015) Adult IDH wild type astrocytomas biologically and clinically resolve into other tumor entities. Acta Neuropathol (Berl) 130:407–417. doi:10.1007/s00401-015-1454-8

    CAS  Article  Google Scholar 

  22. Reuss DE, Mamatjan Y, Schrimpf D, Capper D, Hovestadt V, Kratz A, Sahm F, Koelsche C, Korshunov A, Olar A, Hartmann C, Reijneveld JC, Wesseling P, Unterberg A, Platten M, Wick W, Herold-Mende C, Aldape K, von Deimling A (2015) IDH mutant diffuse and anaplastic astrocytomas have similar age at presentation and little difference in survival: a grading problem for WHO. Acta Neuropathol (Berl) 129:867–873. doi:10.1007/s00401-015-1438-8

    CAS  Article  Google Scholar 

  23. Reuss DE, Sahm F, Schrimpf D, Wiestler B, Capper D, Koelsche C, Schweizer L, Korshunov A, Jones DTW, Hovestadt V, Mittelbronn M, Schittenhelm J, Herold-Mende C, Unterberg A, Platten M, Weller M, Wick W, Pfister SM, von Deimling A (2015) ATRX and IDH1-R132H immunohistochemistry with subsequent copy number analysis and IDH sequencing as a basis for an “integrated” diagnostic approach for adult astrocytoma, oligodendroglioma and glioblastoma. Acta Neuropathol (Berl) 129:133–146. doi:10.1007/s00401-014-1370-3

    CAS  Article  Google Scholar 

  24. Sahm F, Reuss D, Koelsche C, Capper D, Schittenhelm J, Heim S, Jones DTW, Pfister SM, Herold-Mende C, Wick W, Mueller W, Hartmann C, Paulus W, von Deimling A (2014) Farewell to oligoastrocytoma: in situ molecular genetics favor classification as either oligodendroglioma or astrocytoma. Acta Neuropathol (Berl) 128:551–559. doi:10.1007/s00401-014-1326-7

    CAS  Article  Google Scholar 

  25. Sanson M, Marie Y, Paris S, Idbaih A, Laffaire J, Ducray F, El Hallani S, Boisselier B, Mokhtari K, Hoang-Xuan K, Delattre J-Y (2009) Isocitrate dehydrogenase 1 codon 132 mutation is an important prognostic biomarker in gliomas. J Clin Oncol Off J Am Soc Clin Oncol 27:4150–4154. doi:10.1200/JCO.2009.21.9832

    CAS  Article  Google Scholar 

  26. Smith JS, Perry A, Borell TJ, Lee HK, O’Fallon J, Hosek SM, Kimmel D, Yates A, Burger PC, Scheithauer BW, Jenkins RB (2000) Alterations of chromosome arms 1p and 19q as predictors of survival in oligodendrogliomas, astrocytomas, and mixed oligoastrocytomas. J Clin Oncol Off J Am Soc Clin Oncol 18:636–645

    CAS  Google Scholar 

  27. Suzuki H, Aoki K, Chiba K, Sato Y, Shiozawa Y, Shiraishi Y, Shimamura T, Niida A, Motomura K, Ohka F, Yamamoto T, Tanahashi K, Ranjit M, Wakabayashi T, Yoshizato T, Kataoka K, Yoshida K, Nagata Y, Sato-Otsubo A, Tanaka H, Sanada M, Kondo Y, Nakamura H, Mizoguchi M, Abe T, Muragaki Y, Watanabe R, Ito I, Miyano S, Natsume A, Ogawa S (2015) Mutational landscape and clonal architecture in grade II and III gliomas. Nat Genet 47:458–468. doi:10.1038/ng.3273

    CAS  Article  PubMed  Google Scholar 

  28. Yan H, Parsons DW, Jin G, McLendon R, Rasheed BA, Yuan W, Kos I, Batinic-Haberle I, Jones S, Riggins GJ, Friedman H, Friedman A, Reardon D, Herndon J, Kinzler KW, Velculescu VE, Vogelstein B, Bigner DD (2009) IDH1 and IDH2 mutations in gliomas. N Engl J Med 360:765–773. doi:10.1056/NEJMoa0808710

    CAS  Article  PubMed  PubMed Central  Google Scholar 

Download references

Acknowledgments

The POLA network is funded by the French Institut National du cancer and part of the national program Carte d’Identité des Tumeurs® (CIT) (http://cit.ligue-cancer.net) funded and developed by the Ligue Nationale contre le Cancer. Cases from Marseille were retrieved from the AP-HM tissue bank AC 2013-1786 and were included in the SIRIC-Marseille Glioma program (Grant INCa–DGOS–Inserm 6038). All patients were included in the French POLA network. Institut Universitaire du Cancer (IUC).

Author information

Affiliations

Authors

Consortia

Corresponding author

Correspondence to Dominique Figarella-Branger.

Ethics declarations

Funding

The POLA network is funded by the French Institut National du cancer and part of the national program Carte d’Identité des Tumeurs® (CIT) (http://cit.ligue-cancer.net) funded and developed by the Ligue Nationale contre le Cancer.

Conflict of interest

E. Tabouret has received research grants from Novartis ®. A. Idbaih has received research grants from Carthera and honoria from Roche ® and Bristol-Meyers Squibb ®. O. Chinot has received Honoria from Roche®. Other authors declare that they have no conflicts of interest.

Electronic supplementary material

Below is the link to the electronic supplementary material.

Supplementary material 1 (DOCX 24 kb)

Rights and permissions

Reprints and Permissions

About this article

Verify currency and authenticity via CrossMark

Cite this article

Tabouret, E., Nguyen, A.T., Dehais, C. et al. Prognostic impact of the 2016 WHO classification of diffuse gliomas in the French POLA cohort. Acta Neuropathol 132, 625–634 (2016). https://doi.org/10.1007/s00401-016-1611-8

Download citation

  • Received:

  • Revised:

  • Accepted:

  • Published:

  • Issue Date:

  • DOI: https://doi.org/10.1007/s00401-016-1611-8

Keywords

  • Diffuse glioma
  • 2016 WHO classification
  • IDH1/2 mutation
  • 1p/19q codeletion