Skip to main content

Small heat shock protein HspB8: its distribution in Alzheimer’s disease brains and its inhibition of amyloid-β protein aggregation and cerebrovascular amyloid-β toxicity

Abstract

Alzheimer’s disease (AD) is characterized by pathological lesions, such as senile plaques (SPs) and cerebral amyloid angiopathy (CAA), both predominantly consisting of a proteolytic cleavage product of the amyloid-β precursor protein (APP), the amyloid-β peptide (Aβ). CAA is also the major pathological lesion in hereditary cerebral hemorrhage with amyloidosis of the Dutch type (HCHWA-D), caused by a mutation in the gene coding for the Aβ peptide. Several members of the small heat shock protein (sHsp) family, such as αB-crystallin, Hsp27, Hsp20 and HspB2, are associated with the pathological lesions of AD, and the direct interaction between sHsps and Aβ has been demonstrated in vitro. HspB8, also named Hsp22 of H11, is a recently discovered member of the sHsp family, which has chaperone activity and is observed in neuronal tissue. Furthermore, HspB8 affects protein aggregation, which has been shown by its ability to prevent formation of mutant huntingtin aggregates. The aim of this study was to investigate whether HspB8 is associated with the pathological lesions of AD and HCHWA-D and whether there are effects of HspB8 on Aβ aggregation and Aβ-mediated cytotoxicity. We observed the expression of HspB8 in classic SPs in AD brains. In addition, HspB8 was found in CAA in HCHWA-D brains, but not in AD brains. Direct interaction of HspB8 with Aβ1–42, Aβ1–40 and Aβ1–40 with the Dutch mutation was demonstrated by surface plasmon resonance. Furthermore, co-incubation of HspB8 with D-Aβ1–40 resulted in the complete inhibition of D-Aβ1–40-mediated death of cerebrovascular cells, likely mediated by a reduction in both the β-sheet formation of D-Aβ1–40 and its accumulation at the cell surface. In contrast, however, with Aβ1–42, HspB8 neither affected β-sheet formation nor Aβ-mediated cell death. We conclude that HspB8 might play an important role in regulating Aβ aggregation and, therefore, the development of classic SPs in AD and CAA in HCHWA-D.

This is a preview of subscription content, access via your institution.

Fig. 1
Fig. 2
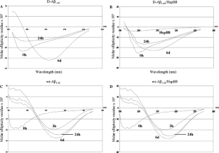
Fig. 3
Fig. 4
Fig. 5

References

  1. Abraham CR, Selkoe DJ, Potter H (1988) Immunochemical identification of the serine protease inhibitor alpha 1-antichymotrypsin in the brain amyloid deposits of Alzheimer’s disease. Cell 4:487–501

    Article  Google Scholar 

  2. Benndorf R, Sun X, Gilmont RR, Biederman KJ, Molloy MP, Goodmurphy CW, Cheng H, Andrews PC, Welsh MJ (2001) HSP22, a new member of the small heat shock protein superfamily, interacts with mimic of phosphorylated HSP27 ((3D)HSP27). J Biol Chem 29:26753–26761

    Article  Google Scholar 

  3. Braak H, Del Tredici K, Rub U, de Vos RA, Jansen Steur EN, Braak E (2003) Staging of brain pathology related to sporadic Parkinson’s disease. Neurobiol Aging 2:197–211

    Article  Google Scholar 

  4. Buchner J (1996) Supervising the fold: functional principles of molecular chaperones. FASEB J 1:10–19

    Google Scholar 

  5. Calderwood SK, Theriault JR, Gong J (2005) Message in a bottle: role of the 70-kDa heat shock protein family in anti-tumor immunity. Eur J Immunol 9:2518–2527

    Article  CAS  Google Scholar 

  6. Camins A, Diez-Fernandez C, Camarasa J, Escubedo E (1995) Cell surface expression of heat shock proteins in dog neutrophils induced by mitochondrial benzodiazepine receptor ligands. Immunopharmacology 2:159–166

    Article  Google Scholar 

  7. Carra S, Sivilotti M, Chavez Zobel AT, Lambert H, Landry J (2005) HspB8, a small heat shock protein mutated in human neuromuscular disorders, has in vivo chaperone activity in cultured cells. Hum Mol Genet 12:1659–1669

    Article  Google Scholar 

  8. Caspers GJ, Leunissen JA, de Jong WW (1995) The expanding small heat-shock protein family, and structure predictions of the conserved “alpha-crystallin domain”. J Mol Evol 3:238–248

    Article  Google Scholar 

  9. Chowdary TK, Raman B, Ramakrishna T, Rao CM (2004) Mammalian Hsp22 is a heat-inducible small heat-shock protein with chaperone-like activity. Biochem J 381(Pt 2):379–387

    Article  PubMed  CAS  Google Scholar 

  10. Davis-Salinas J, Van Nostrand WE (1995) Amyloid beta-protein aggregation nullifies its pathologic properties in cultured cerebrovascular smooth muscle cells. J Biol Chem 36:20887–20890

    Google Scholar 

  11. Davis J, Van Nostrand WE (1996) Enhanced pathologic properties of Dutch-type mutant amyloid beta- protein. Proc Natl Acad Sci USA 7:2996–3000

    Article  Google Scholar 

  12. Davis-Salinas J, Saporito-Irwin SM, Cotman CW, Van Nostrand WE (1995) Amyloid beta-protein induces its own production in cultured degenerating cerebrovascular smooth muscle cells. J Neurochem 65:931–934

    PubMed  CAS  Google Scholar 

  13. van Duinen SG, Castano EM, Prelli F, Bots GT, Luyendijk W, Frangione B (1987) Hereditary cerebral hemorrhage with amyloidosis in patients of Dutch origin is related to Alzheimer disease. Proc Natl Acad Sci USA 16:5991–5994

    Article  Google Scholar 

  14. Evgrafov OV, Mersiyanova I, Irobi J, Van Den Bosch L, Dierick I, Leung CL, Schagina O, Verpoorten N, Van Impe K, Fedotov V, Dadali E, Auer-Grumbach M, Windpassinger C, Wagner K, Mitrovic Z, Hilton-Jones D, Talbot K, Martin JJ, Vasserman N, Tverskaya S, Polyakov A, Liem RK, Gettemans J, Robberecht W, De Jonghe P, Timmerman V (2004) Mutant small heat-shock protein 27 causes axonal Charcot-Marie-Tooth disease and distal hereditary motor neuropathy. Nat Genet 6:602–606

    Article  CAS  Google Scholar 

  15. Fanelli MA, Cuello Carrion FD, Dekker J, Schoemaker J, Ciocca DR (1998) Serological detection of heat shock protein hsp27 in normal and breast cancer patients. Cancer Epidemiol Biomarkers Prev 9:791–795

    Google Scholar 

  16. Glenner GG, Wong CW (1984) Alzheimer’s disease: initial report of the purification and characterization of a novel cerebrovascular amyloid protein. Biochem Biophys Res Commun 3:885–890

    Article  Google Scholar 

  17. Irobi J, Van Impe K, Seeman P, Jordanova A, Dierick I, Verpoorten N, Michalik A, De Vriendt E, Jacobs A, Van Gerwen V, Vennekens K, Mazanec R, Tournev I, Hilton-Jones D, Talbot K, Kremensky I, Van Den Bosch L, Robberecht W, Van Vandekerckhove J, Broeckhoven C, Gettemans J, De Jonghe P, Timmerman V (2004) Hot-spot residue in small heat-shock protein 22 causes distal motor neuropathy. Nat Genet 6:597–601

    Article  CAS  Google Scholar 

  18. Kang J, Lemaire HG, Unterbeck A, Salbaum JM, Masters CL, Grzeschik KH, Multhaup G, Beyreuther K, Muller-Hill B (1987) The precursor of Alzheimer’s disease amyloid A4 protein resembles a cell-surface receptor. Nature 6106:733–736

    Article  Google Scholar 

  19. Kappe G, Verschuure P, Philipsen RL, Staalduinen AA, Van de Boogaart P, Boelens WC, de Jong WW (2001) Characterization of two novel human small heat shock proteins: protein kinase-related HspB8 and testis-specific HspB9. Biochim Biophys Acta 1:1–6

    Google Scholar 

  20. Kappe G, Franck E, Verschuure P, Boelens WC, Leunissen JA, de Jong WW (2003) The human genome encodes 10 alpha-crystallin-related small heat shock proteins: HspB1-10. Cell Stress Chaperones 1:53–61

    Article  Google Scholar 

  21. Kayed R, Bernhagen J, Greenfield N, Sweimeh K, Brunner H, Voelter W, Kapurniotu A (1999) Conformational transitions of islet amyloid polypeptide (IAPP) in amyloid formation in vitro. J Mol Biol 4:781–796

    Article  Google Scholar 

  22. van de Klundert FA, Smulders RH, Gijsen ML, Lindner RA, Jaenicke R, Carver JA, de Jong WW (1998) The mammalian small heat-shock protein Hsp20 forms dimers and is a poor chaperone. Eur J Biochem 3:1014–1021

    Article  Google Scholar 

  23. Kozawa O, Matsuno H, Niwa M, Hatakeyama D, Oiso Y, Kato K, Uematsu T (2002) HSP20, low-molecular-weight heat shock-related protein, acts extracellularly as a regulator of platelet functions: a novel defense mechanism. Life Sci 2:113–124

    Article  Google Scholar 

  24. Kudva YC, Hiddinga HJ, Butler PC, Mueske CS, Eberhardt NL (1997) Small heat shock proteins inhibit in vitro A beta(1–42) amyloidogenesis. FEBS Lett 1:117–121

    Article  Google Scholar 

  25. Liang JJ (2000) Interaction between beta-amyloid and lens alphaB-crystallin. FEBS Lett 2:98–101

    Article  Google Scholar 

  26. McGeer PL, McGeer EG (1995) The inflammatory response system of brain: implications for therapy of Alzheimer and other neurodegenerative diseases. Brain Res Brain Res Rev 2:195–218

    Article  Google Scholar 

  27. Mirra SS, Heyman A, McKeel D, Sumi SM, Crain BJ, Brownlee LM, Vogel FS, Hughes JP, van Belle G, Berg L (1991) The consortium to establish a registry for Alzheimer’s disease (CERAD). Part II. Standardization of the neuropathologic assessment of Alzheimer’s disease. Neurology 4:479–486

    Google Scholar 

  28. Namba Y, Tomonaga M, Kawasaki H, Otomo E, Ikeda K (1991) Apolipoprotein E immunoreactivity in cerebral amyloid deposits and neurofibrillary tangles in Alzheimer’s disease and kuru plaque amyloid in Creutzfeldt-Jakob disease. Brain Res 1:163–166

    Article  Google Scholar 

  29. Pepys MB, Rademacher TW, Amatayakul-Chantler S, Williams P, Noble GE, Hutchinson WL, Hawkins PN, Nelson SR, Gallimore JR, Herbert J (1994) Human serum amyloid P component is an invariant constituent of amyloid deposits and has a uniquely homogeneous glycostructure. Proc Natl Acad Sci USA 12:5602–5606

    Article  Google Scholar 

  30. Ponte P, Gonzalez-DeWhitt P, Schilling J, Miller J, Hsu D, Greenberg B, Davis K, Wallace W, Lieberburg I, Fuller F (1988) A new A4 amyloid mRNA contains a domain homologous to serine proteinase inhibitors. Nature 6156:525–527

    Article  Google Scholar 

  31. Renkawek K, Bosman GJ, Gaestel M (1993) Increased expression of heat-shock protein 27 kDa in Alzheimer disease: a preliminary study. Neuroreport 1:14–16

    Article  Google Scholar 

  32. Renkawek K, Bosman GJ, de Jong WW (1994) Expression of small heat-shock protein hsp 27 in reactive gliosis in Alzheimer disease and other types of dementia. Acta Neuropathol (Berl) 5:511–519

    Article  Google Scholar 

  33. Renkawek K, Voorter CE, Bosman GJ, van Workum FP, de Jong WW (1994) Expression of alpha B-crystallin in Alzheimer’s disease. Acta Neuropathol (Berl) 2:155–160

    Article  Google Scholar 

  34. Rensink AA, Verbeek MM, Otte-Holler I, ten Donkelaar HT, de Waal RM, Kremer B (2002) Inhibition of amyloid-beta-induced cell death in human brain pericytes in vitro. Brain Res 1:111–121

    Article  Google Scholar 

  35. Rubio A, Rifkin D, Powers JM, Patel U, Stewart J, Faust P, Goldman JE, Mohr JP, Numaguchi Y, Jensen K (1997) Phenotypic variability of CADASIL and novel morphologic findings. Acta Neuropathol (Berl) 3:247–254

    Article  Google Scholar 

  36. Selkoe DJ (1997) Alzheimer’s disease: genotypes, phenotypes, and treatments. Science 5300:630–631

    Article  Google Scholar 

  37. Selkoe DJ (2000) The origins of Alzheimer disease: a is for amyloid. JAMA 12:1615–1617

    Article  Google Scholar 

  38. Shinohara H, Inaguma Y, Goto S, Inagaki T, Kato K (1993) Alpha B crystallin and HSP28 are enhanced in the cerebral cortex of patients with Alzheimer’s disease. J Neurol Sci 2:203–208

    Article  Google Scholar 

  39. Snow AD, Willmer JP, Kisilevsky R (1987) Sulfated glycosaminoglycans in Alzheimer’s disease. Hum Pathol 5:506–510

    Article  Google Scholar 

  40. Snow AD, Mar H, Nochlin D, Kimata K, Kato M, Suzuki S, Hassell J, Wight TN (1988) The presence of heparan sulfate proteoglycans in the neuritic plaques and congophilic angiopathy in Alzheimer’s disease. Am J Pathol 3:456–463

    Google Scholar 

  41. Soti C, Csermely P (2003) Aging and molecular chaperones. Exp Gerontol 10:1037–1040

    Article  CAS  Google Scholar 

  42. Strittmatter WJ, Weisgraber KH, Huang DY, Dong LM, Salvesen GS, Pericak-Vance M, Schmechel D, Saunders AM, Goldgaber D, Roses AD (1993) Binding of human apolipoprotein E to synthetic amyloid beta peptide: isoform-specific effects and implications for late-onset Alzheimer disease. Proc Natl Acad Sci USA 17:8098–8102

    Article  Google Scholar 

  43. Sun X, Fontaine JM, Rest JS, Shelden EA, Welsh MJ, Benndorf R (2004) Interaction of human HSP22 (HSPB8) with other small heat shock proteins. J Biol Chem 4:2394–2402

    Google Scholar 

  44. Van Nostrand WE, Melchor JP, Ruffini L (1998) Pathologic amyloid beta-protein cell surface fibril assembly on cultured human cerebrovascular smooth muscle cells. J Neurochem 1:216–223

    Google Scholar 

  45. Verbeek MM, Otte-Holler I, Wesseling P, Ruiter DJ, de Waal RM (1994) Induction of alpha-smooth muscle actin expression in cultured human brain pericytes by transforming growth factor-beta 1. Am J Pathol 2:372–382

    Google Scholar 

  46. Verbeek MM, de Waal RM, Schipper JJ, Van Nostrand WE (1997) Rapid degeneration of cultured human brain pericytes by amyloid beta protein. J Neurochem 3:1135–1141

    Google Scholar 

  47. Verbeek MM, Otte-Holler I, Fransen JA, de Waal RM (2002) Accumulation of the amyloid-beta precursor protein in multivesicular body-like organelles. J Histochem Cytochem 5:681–690

    Google Scholar 

  48. Verschuure P, Tatard C, Boelens WC, Grongnet JF, David JC (2003) Expression of small heat shock proteins HspB2, HspB8, Hsp20 and cvHsp in different tissues of the perinatal developing pig. Eur J Cell Biol 10:523–530

    Article  Google Scholar 

  49. Vinters HV (1987) Cerebral amyloid angiopathy. A critical review. Stroke 2:311–324

    Google Scholar 

  50. Walsh DM, Hartley DM, Kusumoto Y, Fezoui Y, Condron MM, Lomakin A, Benedek GB, Selkoe DJ, Teplow DB (1999) Amyloid beta-protein fibrillogenesis. Structure and biological activity of protofibrillar intermediates. J Biol Chem 36:25945–25952

    Article  Google Scholar 

  51. Wilhelmus MM, Otte-Holler I, Davis J, Van Nostrand WE, de Waal RM, Verbeek MM (2005) Apolipoprotein E genotype regulates amyloid-beta cytotoxicity. J Neurosci 14:3621–3627

    Article  CAS  Google Scholar 

  52. Wilhelmus MM, Otte-Holler I, Wesseling P, de Waal RM, Boelens WC, Verbeek MM (2005) Specific association of small heat shock proteins with the pathological hallmarks of Alzheimer’s disease brains. Neuropathol Appl Neurobiol (in press)

  53. Wisniewski T, Frangione B (1992) Apolipoprotein E: a pathological chaperone protein in patients with cerebral and systemic amyloid. Neurosci Lett 2:235–238

    Article  Google Scholar 

Download references

Acknowledgments

We thank Dr. P. Seubert and Dr. W.E. Van Nostrand for their generous gifts of antibodies. This work was supported by grants from the ‘Internationale Stichting Alzheimer Onderzoek’ (ISAO, grants 01506 and 03517), Zon-MW Innovational Research (number 917.46.331, “Vidi program”) and the ‘Hersenstichting Nederland’ (number 11F03(2)11).

Author information

Affiliations

Authors

Corresponding author

Correspondence to Marcel M. Verbeek.

Rights and permissions

Reprints and Permissions

About this article

Cite this article

Wilhelmus, M.M.M., Boelens, W.C., Otte-Höller, I. et al. Small heat shock protein HspB8: its distribution in Alzheimer’s disease brains and its inhibition of amyloid-β protein aggregation and cerebrovascular amyloid-β toxicity. Acta Neuropathol 111, 139–149 (2006). https://doi.org/10.1007/s00401-005-0030-z

Download citation

  • Received:

  • Revised:

  • Accepted:

  • Published:

  • Issue Date:

  • DOI: https://doi.org/10.1007/s00401-005-0030-z

Keywords

  • Amyloid-β protein
  • Alzheimer’s disease
  • Cerebrovascular amyloid
  • HspB8
  • Small heat shock proteins