Skip to main content

Local metabolic hypothesis is not sufficient to explain coronary autoregulatory behavior

An Invited Editorial to this article was published on 03 August 2018

Abstract

The local metabolic hypothesis proposes that myocardial oxygen tension determines the degree of autoregulation by increasing the production of vasodilator metabolites as perfusion pressure is reduced. Thus, normal physiologic levels of coronary venous PO2, an index of myocardial oxygenation, are proposed to be required for effective autoregulation. The present study challenged this hypothesis through determination of coronary responses to changes in coronary perfusion pressure (CPP 140–40 mmHg) in open-chest swine in the absence (n = 7) and presence of euvolemic hemodilution (~ 50% reduction in hematocrit), with (n = 5) and without (n = 6) infusion of dobutamine to augment MVO2. Coronary venous PO2 decreased over similar ranges (~ 28–15 mmHg) as CPP was lowered from 140 to 40 mmHg in each of the groups. However, coronary venous PO2 was not associated with changes in coronary blood flow (r = − 0.11; P = 0.29) or autoregulatory gain (r = − 0.29; P = 0.12). Coronary zero-flow pressure (Pzf) was measured in 20 mmHg increments and determined to be directly related to vascular resistance (r = 0.71; P < 0.001). Further analysis demonstrated that changes in coronary blood flow remained minimal at Pzf > 20 mmHg, but progressively increased as Pzf decreased below this threshold value (r = 0.68; P < 0.001). Coronary Pzf was also positively correlated with autoregulatory gain (r = 0.43; P = 0.001). These findings support that coronary autoregulatory behavior is predominantly dependent on an adequate degree of underlying vasomotor tone, independent of normal myocardial oxygen tension.

This is a preview of subscription content, access via your institution.

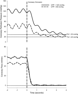
Fig. 1
Fig. 2
Fig. 3
Fig. 4
Fig. 5

References

  1. Alella A, Williams FL, Bolene-Williams C, Katz LN (1955) Interrelation between cardiac oxygen consumption and coronary blood flow. Am J Physiol 183:570–582. https://doi.org/10.1152/ajplegacy.1955.183.3.570

    PubMed  CAS  Article  Google Scholar 

  2. Aversano T, Klocke FJ, Mates RE, Canty JM Jr (1984) Preload-induced alterations in capacitance-free diastolic pressure–flow relationship. Am J Physiol 246:H410–H417. https://doi.org/10.1152/ajpheart.1984.246.3.H410

    PubMed  CAS  Article  Google Scholar 

  3. Bai XJ, Iwamoto T, Williams AG Jr, Fan WL, Downey HF (1994) Coronary pressure–flow autoregulation protects myocardium from pressure-induced changes in oxygen consumption. Am J Physiol 266:H2359–H2368. https://doi.org/10.1152/ajpheart.1994.266.6.H2359

    PubMed  CAS  Article  Google Scholar 

  4. Bayliss WM (1902) On the local reactions of the arterial wall to changes of internal pressure. J Physiol 28:220–231. https://doi.org/10.1113/jphysiol.1902.sp000911

    Article  PubMed  PubMed Central  CAS  Google Scholar 

  5. Bellamy RF (1978) Diastolic coronary artery pressure–flow relations in the dog. Circ Res 43:92–101. https://doi.org/10.1161/01.RES.43.1.92

    Article  PubMed  CAS  Google Scholar 

  6. Bender SB, Berwick ZC, Laughlin MH, Tune JD (2011) Functional contribution of P2Y1 receptors to the control of coronary blood flow. J Appl Physiol 111:1744–1750. https://doi.org/10.1152/japplphysiol.00946.2011

    Article  PubMed  PubMed Central  CAS  Google Scholar 

  7. Berne RM (1959) Cardiodynamics and the coronary circulation in hypothermia. Ann N Y Acad Sci 80:365–383. https://doi.org/10.1111/j.1749-6632.1959.tb49217.x

    Article  PubMed  CAS  Google Scholar 

  8. Berwick ZC, Moberly SP, Kohr MC, Morrical EB, Kurian MM, Dick GM, Tune JD (2012) Contribution of voltage-dependent K+ and Ca2+ channels to coronary pressure–flow autoregulation. Basic Res Cardiol 107:264. https://doi.org/10.1007/s00395-012-0264-6

    Article  PubMed  PubMed Central  CAS  Google Scholar 

  9. Cornelissen AJ, Dankelman J, VanBavel E, Spaan JA (2002) Balance between myogenic, flow-dependent, and metabolic flow control in coronary arterial tree: a model study. Am J Physiol Heart Circ Physiol 282:H2224–H2237. https://doi.org/10.1152/ajpheart.00491.2001

    Article  PubMed  CAS  Google Scholar 

  10. Cornelissen AJ, Dankelman J, VanBavel E, Stassen HG, Spaan JA (2000) Myogenic reactivity and resistance distribution in the coronary arterial tree: a model study. Am J Physiol Heart Circ Physiol 278:H1490–H1499. https://doi.org/10.1152/ajpheart.2000.278.5.H1490

    Article  PubMed  CAS  Google Scholar 

  11. Crystal GJ, El-Orbany M, Zhou X, Salem MR, Kim SJ (2008) Hemodilution does not alter the coronary vasodilating effects of endogenous or exogenous nitric oxide. Can J Anaesth 55:507–514. https://doi.org/10.1007/BF03016670

    Article  PubMed  Google Scholar 

  12. Davis MJ (1993) Myogenic response gradient in an arteriolar network. Am J Physiol 264:H2168–H2179. https://doi.org/10.1152/ajpheart.1993.264.6.H2168

    PubMed  CAS  Article  Google Scholar 

  13. Dick GM, Namani R, Patel B, Kassab GS (2018) Role of coronary myogenic response in pressure–flow autoregulation in swine: a meta-analysis with coronary flow modeling. Front Physiol. https://doi.org/10.3389/fphys.2018.00580

    Article  PubMed  PubMed Central  Google Scholar 

  14. Dole WP, Alexander GM, Campbell AB, Hixson EL, Bishop VS (1984) Interpretation and physiological significance of diastolic coronary artery pressure–flow relationships in the canine coronary bed. Circ Res 55:215–226. https://doi.org/10.1161/01.RES.55.2.215

    Article  PubMed  CAS  Google Scholar 

  15. Dole WP, Bishop VS (1982) Influence of autoregulation and capacitance on diastolic coronary artery pressure–flow relationships in the dog. Circ Res 51:261–270. https://doi.org/10.1161/01.RES.51.3.261

    Article  PubMed  CAS  Google Scholar 

  16. Dole WP, Nuno DW (1986) Myocardial oxygen tension determines the degree and pressure range of coronary autoregulation. Circ Res 59:202–215. https://doi.org/10.1161/01.RES.59.2.202

    Article  PubMed  CAS  Google Scholar 

  17. Dole WP, Yamada N, Bishop VS, Olsson RA (1985) Role of adenosine in coronary blood flow regulation after reductions in perfusion pressure. Circ Res 56:517–524

    Article  PubMed  CAS  Google Scholar 

  18. Drake-Holland AJ, Laird JD, Noble MI, Spaan JA, Vergroesen I (1984) Oxygen and coronary vascular resistance during autoregulation and metabolic vasodilation in the dog. J Physiol 348:285–299. https://doi.org/10.1113/jphysiol.1984.sp015110

    Article  PubMed  PubMed Central  CAS  Google Scholar 

  19. Duncker DJ, van Zon NS, Ishibashi Y, Bache RJ (1996) Role of K+ ATP channels and adenosine in the regulation of coronary blood flow during exercise with normal and restricted coronary blood flow. J Clin Investig 97:996–1009. https://doi.org/10.1172/JCI118524

    Article  PubMed  CAS  Google Scholar 

  20. Eng C, Jentzer JH, Kirk ES (1982) The effects of the coronary capacitance on the interpretation of diastolic pressure–flow relationships. Circ Res 50:334–341. https://doi.org/10.1161/01.RES.50.3.334

    Article  PubMed  CAS  Google Scholar 

  21. Feigl EO (1989) Coronary autoregulation. J Hypertens Suppl 7:S55–S58 (discussion S59)

    Article  PubMed  CAS  Google Scholar 

  22. Feigl EO (1983) Coronary physiology. Physiol Rev 63:1–205. https://doi.org/10.1152/physrev.1983.63.1.1

    Article  PubMed  CAS  Google Scholar 

  23. Feigl EO, Neat GW, Huang AH (1990) Interrelations between coronary artery pressure, myocardial metabolism and coronary blood flow. J Mol Cell Cardiol 22:375–390. https://doi.org/10.1016/0022-2828(90)91474-L

    Article  PubMed  CAS  Google Scholar 

  24. Goodwill AG, Dick GM, Kiel AM, Tune JD (2017) Regulation of coronary blood flow. Compr Physiol 7:321–382. https://doi.org/10.1002/cphy.c160016

    Article  PubMed  PubMed Central  Google Scholar 

  25. Hanley FL, Grattan MT, Stevens MB, Hoffman JI (1986) Role of adenosine in coronary autoregulation. Am J Physiol 250:H558–H566. https://doi.org/10.1152/ajpheart.1986.250.4.H558

    PubMed  CAS  Article  Google Scholar 

  26. Hoffman JI, Spaan JA (1990) Pressure–flow relations in coronary circulation. Physiol Rev 70:331–390. https://doi.org/10.1152/physrev.1990.70.2.331

    Article  PubMed  CAS  Google Scholar 

  27. Kajiya F, Tsujioka K, Ogasawara Y, Wada Y, Hiramatsu O, Goto M, Nakai M, Tadaoka S, Matsuoka S, Sha Y (1988) Effect of packed cell volume on diastolic coronary artery pressure–flow relations in the dog. Cardiovasc Res 22:545–554. https://doi.org/10.1093/cvr/22.8.545

    Article  PubMed  CAS  Google Scholar 

  28. Kiel AM, Goodwill AG, Noblet JN, Barnard AL, Sassoon DJ, Tune JD (2017) Regulation of myocardial oxygen delivery in response to graded reductions in hematocrit: role of K(+) channels. Basic Res Cardiol 112:65. https://doi.org/10.1007/s00395-017-0654-x

    Article  PubMed  CAS  PubMed Central  Google Scholar 

  29. Kirkeeide R, Puschmann S, Schaper W (1981) Diastolic coronary pressure–flow relationships investigated by induced long-wave pressure oscillations. Basic Res Cardiol 76:564–569. https://doi.org/10.1007/BF01908362

    Article  PubMed  CAS  Google Scholar 

  30. Klocke FJ, Mates RE, Canty JM Jr, Ellis AK (1985) Coronary pressure–flow relationships. Controversial issues and probable implications. Circ Res 56:310–323. https://doi.org/10.1161/01.RES.56.3.310

    Article  PubMed  CAS  Google Scholar 

  31. Komaru T, Lamping KG, Dellsperger KC (1994) Role of adenosine in vasodilation of epimyocardial coronary microvessels during reduction in perfusion pressure. J Cardiovasc Pharmacol 24:434–442

    Article  PubMed  CAS  Google Scholar 

  32. Kroll K, Hendriks FF, Schipperheyn JJ (1979) Extracorporeal circulation system for coronary artery perfusion in the closed-chest dog. Am J Physiol 236:H652–H656. https://doi.org/10.1152/ajpheart.1979.236.4.H652

    PubMed  CAS  Article  Google Scholar 

  33. Kuo L, Chilian WM, Davis MJ (1990) Coronary arteriolar myogenic response is independent of endothelium. Circ Res 66:860–866. https://doi.org/10.1161/01.RES.66.3.860

    Article  PubMed  CAS  Google Scholar 

  34. Kuo L, Chilian WM, Davis MJ (1991) Interaction of pressure- and flow-induced responses in porcine coronary resistance vessels. Am J Physiol 261:H1706–H1715. https://doi.org/10.1152/ajpheart.1991.261.6.H1706

    PubMed  CAS  Article  Google Scholar 

  35. Kuo L, Davis MJ, Chilian WM (1990) Endothelium-dependent, flow-induced dilation of isolated coronary arterioles. Am J Physiol 259:H1063–H1070. https://doi.org/10.1152/ajpheart.1990.259.4.H1063

    PubMed  CAS  Article  Google Scholar 

  36. Levy PS, Kim SJ, Eckel PK, Chavez R, Ismail EF, Gould SA, Ramez Salem M, Crystal GJ (1993) Limit to cardiac compensation during acute isovolemic hemodilution: influence of coronary stenosis. Am J Physiol 265:H340–H349. https://doi.org/10.1152/ajpheart.1993.265.1.H340

    PubMed  CAS  Article  Google Scholar 

  37. Miller FJ Jr, Dellsperger KC, Gutterman DD (1997) Myogenic constriction of human coronary arterioles. Am J Physiol 273:H257–H264. https://doi.org/10.1152/ajpheart.1997.273.1.H257

    Article  PubMed  CAS  Google Scholar 

  38. Mosher P, Ross J Jr, McFate PA, Shaw RF (1964) Control of coronary blood flow by an autoregulatory mechanism. Circ Res 14:250–259. https://doi.org/10.1161/01.RES.14.3.250

    Article  PubMed  CAS  Google Scholar 

  39. Osher WJ (1953) Pressure–flow relationship of the coronary system. Am J Physiol 172:403–416. https://doi.org/10.1152/ajplegacy.1953.172.2.403

    PubMed  CAS  Article  Google Scholar 

  40. Smith TP Jr, Canty JM Jr (1993) Modulation of coronary autoregulatory responses by nitric oxide. Evidence for flow-dependent resistance adjustments in conscious dogs. Circ Res 73:232–240. https://doi.org/10.1161/01.RES.73.2.232

    Article  PubMed  CAS  Google Scholar 

  41. Spaan JA (1985) Coronary diastolic pressure–flow relation and zero flow pressure explained on the basis of intramyocardial compliance. Circ Res 56:293–309. https://doi.org/10.1161/01.RES.56.3.293

    Article  PubMed  CAS  Google Scholar 

  42. Stepp DW, Kroll K, Feigl EO (1997) K + ATP channels and adenosine are not necessary for coronary autoregulation. Am J Physiol 273:H1299–H1308. https://doi.org/10.1152/ajpheart.1997.273.3.H1299

    PubMed  CAS  Article  Google Scholar 

  43. Traverse JH, Chen Y, Crampton M, Voss S, Bache RJ (2001) Increased extravascular forces limit endothelium-dependent and -independent coronary vasodilation in congestive heart failure. Cardiovasc Res 52:454–461. https://doi.org/10.1016/S0008-6363(01)00392-3

    Article  PubMed  CAS  Google Scholar 

  44. Tune JD (2014) Coronary circulation. Morgan & Claypool Life Sciences, Williston

    Google Scholar 

  45. van de Hoef TP, Nolte F, Rolandi MC, Piek JJ, van den Wijngaard JP, Spaan JA, Siebes M (2012) Coronary pressure–flow relations as basis for the understanding of coronary physiology. J Mol Cell Cardiol 52:786–793. https://doi.org/10.1016/j.yjmcc.2011.07.025

    Article  PubMed  CAS  Google Scholar 

  46. Vergroesen I, Noble MI, Wieringa PA, Spaan JA (1987) Quantification of O2 consumption and arterial pressure as independent determinants of coronary flow. Am J Physiol 252:H545–H553. https://doi.org/10.1152/ajpheart.1987.252.3.H545

    PubMed  CAS  Article  Google Scholar 

  47. Westerhof N, Boer C, Lamberts RR, Sipkema P (2006) Cross-talk between cardiac muscle and coronary vasculature. Physiol Rev 86:1263–1308. https://doi.org/10.1152/physrev.00029.2005

    Article  PubMed  CAS  Google Scholar 

  48. Yonekura S, Watanabe N, Caffrey JL, Gaugl JF, Downey HF (1987) Mechanism of attenuated pressure–flow autoregulation in right coronary circulation of dogs. Circ Res 60:133–141. https://doi.org/10.1161/01.RES.60.1.133

    Article  PubMed  CAS  Google Scholar 

Download references

Acknowledgements

The authors wish to thank Joshua Sturek for expert technical assistance. This study was supported by the National Institutes of Health U01HL118738.

Author information

Affiliations

Authors

Corresponding author

Correspondence to Johnathan D. Tune.

Ethics declarations

Conflict of interest

The authors declare that they have no conflict of interest.

Rights and permissions

Reprints and Permissions

About this article

Verify currency and authenticity via CrossMark

Cite this article

Kiel, A.M., Goodwill, A.G., Baker, H.E. et al. Local metabolic hypothesis is not sufficient to explain coronary autoregulatory behavior. Basic Res Cardiol 113, 33 (2018). https://doi.org/10.1007/s00395-018-0691-0

Download citation

  • Received:

  • Revised:

  • Accepted:

  • Published:

  • DOI: https://doi.org/10.1007/s00395-018-0691-0

Keywords

  • Coronary
  • Autoregulation
  • Zero-flow pressure
  • Swine