Skip to main content

Glutamine attenuates nitric oxide synthase expression and mitochondria membrane potential decrease in interleukin-1β-activated rat hepatocytes

Abstract

Background

Mitochondrial dysfunction induced by nitric oxide (NO) overproduction is involved in the pathogenesis of organ failure during many severe diseases. Recently, several experiments have reported that glutamine (Gln) modifies inducible nitric oxide synthase (iNOS) gene expression which is thought to be responsible for its beneficial effects in critical illnesses.

Aim of the study

This study was designed to evaluate the effects of Gln on NO production, iNOS expression and mitochondria membrane potential (Δψm) variation in interleukin (IL)-1β-activated rat hepatocytes. The mechanical effects of nuclear factor kappaB (NF-κB) were also investigated.

Methods

Primary cultured rat hepatocytes were isolated by an in situ collagenase perfusion method. The cultured hepatocytes were treated with IL-1β (1 nmol/l) alone or with Gln in concentrations ranging from 2 to 10 mmol/l for 24 h. The concentrations of alanine aminotransferase (ALT) and nitrite in the culture medium were detected by biochemical methods. The levels of iNOS protein and mRNA in the hepatocytes were analyzed by western blot and real-time RT-PCR. The Δψm of the hepatocytes was assessed with flow cytometry after incubating with fluorescent probe JC-1. Th binding activity of NF-κB in hepatocytes was investigated using electrophoretic mobility shift assay.

Results

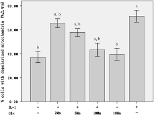
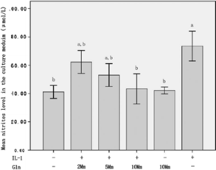
IL-1β significantly enhanced iNOS protein and mRNA level in the cultured rat hepatocytes which consisted with the increased NO production and ALT releasing in the culture medium. These effects were inhibited by the treatment of glutamine in a dose-dependent manner. The Δψm of hepatocytes was markedly decreased after IL-1β stimulation which was significantly attenuated by Gln at 5 and 10 mmol/l. NF-κB activity was increased by IL-1β stimulation and this effect was augmented by Gln at 5 and 10 mol/l.

Conclusions

These observations indicate that Gln has a capability to protect mitochondria function in hepatocytes under inflammatory stress. Although the molecular mechanism remains to be clarified, our findings suggest this effect may be related to down-regulation of iNOS gene expression through an NF-κB independent pathway.

This is a preview of subscription content, access via your institution.

Fig. 1
Fig. 2
Fig. 3
Fig. 4
Fig. 5
Fig. 6
Fig. 7

References

  1. Adrie C, Bachelet M, Vayssier-Taussat M, Russo-Marie F, Bouchaert I, Adib-Conquy M, Cavaillon J-M, Pinsky MR, Dhainaut J-F, Polla BS (2001) Mitochondrial membrane potential and apoptosis peripheral blood monocytes in severe human sepsis. Am J Respir Crit Care Med 164:389–395

    CAS  Google Scholar 

  2. Andus T, Bauer J (1991) Effects of cytokines on the liver. Hepatology 13:364–375

    Article  CAS  Google Scholar 

  3. Bradford MM (1976) A rapid and sensitive method for the quantitation of microgram quantities of protein utilizing the principle of protein-dye binding. Anal Biochem 72:248–254

    Article  CAS  Google Scholar 

  4. Brealey D, Brand M, Hargreaves I, Heales S, Land J, Smolenski R, Davies NA, Cooper CE, Singer M (2002) Association between mitochondrial dysfunction and severity and outcome of septic shock. Lancet 360:219–223

    Article  CAS  Google Scholar 

  5. Brealey D, Karyampudi S, Jacques TS, Novelli M, Stidwill R, Taylor V, Smolenski RT, Singer M (2004) Mitochondrial dysfunction in a long-term rodent model of sepsis and organ failure. Am J Physiol Regul Integr Comp Physiol 286:R491–R497

    CAS  Google Scholar 

  6. Bruins MJ, Lamers WH, Meijer AJ, Soeters PB, Deutz NE (2002) In vivo measurement of nitric oxide production in porcine gut, liver and muscle during hyperdynamic endotoxaemia. Br J Pharmacol 137:1225–1236

    Article  CAS  Google Scholar 

  7. Crouser ED (2004) Mitochondrial dysfunction in septic shock and multiple organ dysfunction syndrome. Mitochondrion 4:729–741

    Article  CAS  Google Scholar 

  8. De-Souza DA, Greene L (2005) Intestinal permeability and systemic infections in critically ill patients. Effects of glutamine. Crit Care Med 33:1125–1135

    Article  Google Scholar 

  9. Fink MP (2001) Cytopathic hypoxia: mitochondrial dysfunction as mechanism contributing to organ dysfunction in sepsis. Crit Care Clin 17:219–237

    Article  CAS  Google Scholar 

  10. Geller DA, de Vera ME, Russell DA, Shapiro RA, Nussler AK, Simmons RL, Billiar TR (1995) A central role for IL-1 beta in the in vitro and in vivo regulation of hepatic nitric oxide synthesis. J Immunol 155:4890–4898

    CAS  Google Scholar 

  11. Green LC, Wagner DA, Glogowski PL, Skipper JS, Wishnok JS, Tannenbaum SR (1982) Analysis of nitrate, nitrite and (15N) nitrate in biological fluids. Anal Biochem 126:131–138

    Article  CAS  Google Scholar 

  12. Griffiths RD, Jones C, Palmer TE (1997) Six-month outcome of critically ill patients given glutamine supplemented parenteral nutrition. Nutrition 13:295–302

    CAS  Google Scholar 

  13. Liaudet L, Garcia-Soriano F, Szabo C (2000) Biology of nitric oxide signaling. Crit Care Med 28:N37–N52

    Article  CAS  Google Scholar 

  14. Lopez A, Lorente JA, Steingrub J, Bakker J, McLuckie A, Willatts S, Brockway M, Anzueto A, Holzapfel L, Breen D, Silverman MS, Takala J, Donaldson J, Ameson C, Grove G, Grossman S, Grover R (2004) Multiple-center, randomized, placebo-controlled, double-blind study of the nitric oxide synthase inhibitor 546C88: effect on survival in patients with septic shock. Crit Care Med 32:21–30

    Article  CAS  Google Scholar 

  15. Novak F, Heyland DK, Avenell A, Drover JW, Su X (2002) Glutamine supplementation in serious illness: a systematic review of the evidence. Crit Care Med 30:2022–2029

    Article  CAS  Google Scholar 

  16. Pie J-E, Baek S-Y, Kim H-P, Ryu S-D, Chung W-G, Cha Y-N, Park C-S (2002) Age-related decline of inducible nitric oxide synthase gene expression in primary cultured rat hepatocytes. Mol Cells 13:399–406

    CAS  Google Scholar 

  17. Salvioli S, Ardizzoni A, Franceschi C, Cossariza A (1997) JC-1, but not DiOC6(3) or rhodamine, is a reliable fluorescent probe to assess Δψ changes in intact cells: implications for studies on mitochondrial functionality during apoptosis. FEBS Lett 411:77–82

    Article  CAS  Google Scholar 

  18. Singer M (2007) Mitochondrial function in sepsis: acute phase versus multiple organ failure. Crit Care Med 35(Suppl):S441–S448

    Article  CAS  Google Scholar 

  19. Singleton KD, Beckey VE, Wischmeyer PE (2005) Glutamine prevents activation of NF-κB and stress kinase pathways, attenuates inflammatory cytokine release, and prevents acute respiratory distress syndrome (ARDS) following sepsis 24:583–589

    Google Scholar 

  20. Szabo C, Billiar TR (1999) Novel roles of nitric oxide in hemorrhagic shock. Shock 12:1–9

    CAS  Article  Google Scholar 

  21. Tu W, Satoi S, Zhang Z, Kitade H, Okumura T, Kwon A-H, Kamiyama Y (2003) Hepatocellular dysfunction induced by nitric oxide production in hepatocytes isolated from rats with sepsis. Shock 19:373–377

    Article  CAS  Google Scholar 

  22. Wang X, Li W, Lu J, Li N, Li J (2004) Lipopolysaccharide suppresses albumin expression by activating NF-κB in rat hepatocytes. J Surg Res 122:274–379

    Article  CAS  Google Scholar 

  23. Wischmeyer PE, Kahana M, Wolfson R, Ren H, Musch MM, Chang EB (2001) Glutamine induces heat shock protein and protects against endotoxin shock in the rat. J Appl Physiol 90:2403–2410

    CAS  Google Scholar 

  24. Yang R, Tan X, Thomas AM, Steppacher R, Qureshi N, Morrison DC, Van Way CW 3rd (2007) Alanine-glutamine dipeptide (AGD) inhibits expression of inflammation-related genes in hemorrhagic shock. JPEN 31:32–36

    Google Scholar 

Download references

Conflict of interest statement

The authors have no commercial associations or sources of support that might pose a conflict of interest.

Author information

Affiliations

Authors

Corresponding author

Correspondence to Wen-hao Tang.

Rights and permissions

Reprints and Permissions

About this article

Cite this article

Lu, J., Wang, Xy. & Tang, Wh. Glutamine attenuates nitric oxide synthase expression and mitochondria membrane potential decrease in interleukin-1β-activated rat hepatocytes. Eur J Nutr 48, 333–339 (2009). https://doi.org/10.1007/s00394-009-0018-x

Download citation

  • Received:

  • Accepted:

  • Published:

  • Issue Date:

  • DOI: https://doi.org/10.1007/s00394-009-0018-x

Keywords

  • Glutamine
  • Interleukin-1β
  • Nitric oxide
  • Mitochondria membrane potential
  • Rat hepatocytes