Skip to main content

Treatment of ankylosing spondylitis with biologics and targeted physical therapy

Positive effect on chest pain, diminished chest mobility, and respiratory function

Behandlung der ankylosierenden Spondylitis mit Biologika und gezielter Physiotherapie

Positive Wirkung auf Thoraxschmerz, verminderte Thoraxbeweglichkeit und Atemfunktion

Abstract

Objective

Biologics are highly effective in ankylosing spondylitis (AS). In this self-controlled study, we assessed the additive value of complex physiotherapy in decreasing chest pain and tenderness and improving respiratory function in AS patients treated with tumor necrosis factor α (TNF-α) inhibitors.

Patients and methods

The trial consisted of 2 parts. In study I, clinical data of AS patients with (n = 55) or without biological therapy (n = 20) were retrospectively analyzed and compared. Anthropometrical data, duration since diagnosis and patient assessment of disease activity, pain intensity, tender points, sacroiliac joint involvement determined by X-ray, functional condition, and physical activity level were recorded. Subjective, functional, and physical tests were performed. In study II, 10 voluntary patients (6 men and 4 women, age 52.4 ± 13.6 years) with definite AS and receiving anti-TNF therapy were recruited. It was a prospective, non-randomized physiotherapeutic trial. BASFI (Bath Ankylosing Spondylitis Functional Index), BASDAI (Bath Ankylosing Spondylitis Disease Activity Index), modified Schober Index, occiput-to-wall distance, and fingertip-to-floor distance were evaluated. Forced vital capacity, forced 1-s expiratory volume, peak expiratory flow, and maximum voluntary ventilation were recorded. Furthermore, typical tender points were recorded. A targeted physiotherapy program was conducted twice a week for 12 weeks and all above parameters were recorded at baseline and after 12 weeks.

Results

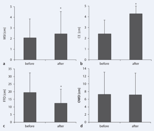
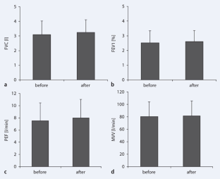
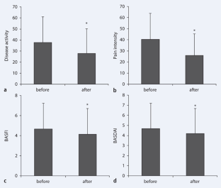
Differences in patient assessment of disease activity (p = 0.019) and pain intensity (p = 0.017) were found in study I. Pain and tenderness of the thoracic spine were observed in both groups. Back pain without biologic therapy was slightly higher than other group. In study II, we found that patient assessment of disease activity and pain intensity significantly improved after the physical therapy program (p = 0.002 and p < 0.001). BASFI and BASDAI increased after treatment (p = 0.004 and p < 0.001). The finger-to-floor distance, chest expansion, and modified Schober index increased (p = 0.008, p < 0.001, and p = 0.031, respectively). The respiratory functional parameters showed a tendency towards improvement.

Conclusion

AS patients already receiving biological therapy may benefit from additional targeted physiotherapy. Physical therapy may be of important additive value in AS patients being treated with biological. The exercise program presented here showed an improvement in functional parameters as well as spine and chest mobility, thereby enhancing the favorable effects of biological therapy.

Zusammenfassung

Ziel

Biologika sind hochwirksam bei ankylosierender Spondylitis (AS). In dieser eigenkontrollierten Studie wurde der Mehrwert einer komplexen Physiotherapie zur Linderung von Thoraxschmerzen und -empfindlichkeit sowie zur Verbesserung der Atemfunktion bei AS-Patienten untersucht, welche mit Tumornekrosefaktor-alpha(TNF-α)-Inhibitoren behandelt wurden.

Patienten und Methoden

Die Studie bestand aus 2 Teilen. In Studie I wurden die klinischen Daten von AS-Patienten mit (n = 55) oder ohne (n = 20) biologische Therapie retrospektiv ausgewertet und verglichen. Anthropometrische Daten, Zeit seit Diagnose und Patientenbeurteilung der Krankheitsaktivität, Schmerzintensität, Druckpunkte, Beteiligung des Sakroiliakalgelenks gemäß Röntgenbild, Funktionszustand und körperliches Aktivitätsniveau wurden dokumentiert. Es wurden subjektive, funktionelle und körperliche Tests durchgeführt. In Studie II wurden 10 freiwillig teilnehmende Patienten (6 Männer, 4 Frauen, Alter: 52,4 ± 13,6 Jahre) mit gesicherter AS und unter Anti-TNF-Therapie aufgenommen. Es handelte sich um eine prospektive nichtrandomisierte physiotherapeutische Studie. BASFI (Bath Ankylosing Spondylitis Functional Index), BASDAI (Bath Ankylosing Spondylitis Disease Activity Index), modifizierter Schober-Index, Hinterkopf-Wand-Abstand und Finger-Boden-Abstand wurden untersucht. Auch die forcierte Vitalkapazität, das forcierte expiratorische 1-s-Volumen, der expiratorische Spitzenfluss und die maximale willkürliche Ventilation wurden dokumentiert. Außerdem wurden typische Druckpunkte aufgezeichnet. Ein gezieltes Physiotherapieprogramm wurde 2-mal pro Woche durchgeführt und sämtliche genannten Parameter zu Beginn der Studie und nach 12 Wochen dokumentiert.

Results

In Studie I stellten sich Unterschiede bei der Patientenbeurteilung der Krankheitsaktivität (p = 0,019) und Schmerzintensität (p = 0,017) heraus. Schmerz und Empfindlichkeit der Brustwirbelsäule wurden in beiden Gruppen beobachtet. Rückenschmerzen ohne biologische Therapie waren etwas stärker als in der anderen Gruppe. In Studie II stellte sich heraus, dass die Patientenbeurteilung der Krankheitsaktivität und Schmerzintensität sich signifikant nach dem Physiotherapieprogramm besserte (p = 0,002 bzw. p < 0,001). BASFI und BASDAI stiegen nach Behandlung an (p = 0,004 bzw. p < 0,001). Der Finger-Boden-Abstand, die Thoraxausdehnung und der modifizierte Schober-Index nahmen zu (p = 0,008; p < 0,001 bzw. p = 0,031). Die funktionellen Atemparameter wiesen eine Tendenz in Richtung der Verbesserung auf.

Schlussfolgerung

AS-Patienten, die bereits eine biologische Therapie erhalten, ziehen möglicherweise einen Nutzen aus zusätzlicher gezielter Physiotherapie. Für AS-Patienten unter Biologikatherapie kann die Physiotherapie einen bedeutenden zusätzlichen Wert darstellen. Das hier vorgestellte Trainingsprogramm führte zu Besserung funktioneller Parameter sowie der Wirbelsäulen- und Thoraxbeweglichkeit, somit konnten die günstigen Wirkungen der biologischen Therapie verstärkt werden.

This is a preview of subscription content, access via your institution.

Fig. 1
Fig. 2
Fig. 3
Fig. 4
Fig. 5
Fig. 6

References

  1. Fisher LR, Cawley MI, Holgate ST (1990) Relationship between chest expansion, pulmonary function and exercise tolerance with AS. Ann Rheum Dis 49:921–925

    PubMed  Article  CAS  PubMed Central  Google Scholar 

  2. Franssen MJ, Herwaarden CL van, Putte LB van de, Gribnau FW (1986) Lung function in patients with ankylosing spondylitis. A study of the influence of disease activity and treatment with nonsteroidal antiinflammatory drugs. J Rheumatol 13:936–940

    PubMed  CAS  Google Scholar 

  3. Haslock I (1993) Ankylosing spondylitis. Baillieres Clin Rheumatol 7:99–115

    PubMed  Article  CAS  Google Scholar 

  4. Sengupta R, Stone MA (2007) The assessment of ankylosing spondylitis in clinical practice. Nat Clin Pract Rheumatol 3:496–503

    PubMed  Article  CAS  Google Scholar 

  5. Dalyan M, Guner A, Tuncer S et al (1999) Disability in ankylosing spondylitis. Disabil Rehabil 21:74–79

    PubMed  Article  CAS  Google Scholar 

  6. Dawes PT, Sheeran TP, Hothersall TE (1988) Chest pain—common feature of ankylosing spondylitis. Postgrad Med J 64:27–29

    PubMed  Article  CAS  PubMed Central  Google Scholar 

  7. Kanathur N, Lee-Chiong T (2010) Pulmonary manifestations of ankylosing spondylitis. Clin Chest Med 31:547–554

    PubMed  Article  Google Scholar 

  8. Moll JM, Wright V (1973) The pattern of chest and spinal mobility in ankylosing spondylitis. Rheumatol Rehabil 12:115–134

    PubMed  Article  CAS  Google Scholar 

  9. Falkenbach A, Curda B (2001) Symptoms, effects on quality of life, judgment and expectations of treatment in active ankylosing spondylitis: the patient’s view. Rehabilitation (Stuttg) 40:275–279 (in German)

    Google Scholar 

  10. Feltelius N, Hedenstrom H, Hillerdal G, Hallgren R (1986) Pulmonary involvement in ankylosing spondylitis. Ann Rheum Dis 45:736–740

    PubMed  Article  CAS  PubMed Central  Google Scholar 

  11. De Keyser F, Van den Bosch F, Mielants H (2006) Anti-TNF-alpha therapy in ankylosing spondylitis. Cytokine 33:294–298

    Article  Google Scholar 

  12. Smidt N, Vet HC de, Bouter LM et al (2005) Effectiveness of exercise therapy: a best-evidence summary of systematic reviews. Aust J Physiother 51:71–85

    PubMed  Article  Google Scholar 

  13. Linden S van der (2002) Physiotherapy in ankylosing spondylitis: what is the evidence? Clin Exp Rheumatol 20:S60–S64

    PubMed  Google Scholar 

  14. Viitanen JV (1992) Effect of physiotherapy on spinal mobility in AS. Scand J Rheumatol 21:38–41

    PubMed  Article  CAS  Google Scholar 

  15. Gyurcsik ZN, András A, Bodnár N et al (2012) Improvement in pain intensity, spine stiffness, and mobility during a controlled individualized physiotherapy program in ankylosing spondylitis. Rheumatol Int 32:3931–3936

    PubMed  Article  Google Scholar 

  16. Goie The HS, Steven MM, Linden SM van der, Cats A (1985) Evaluation of diagnostic criteria for ankylosing spondylitis: a comparison of the Rome, New York and modified New York criteria in patients with a positive clinical history screening test for ankylosing spondylitis. Br J Rheumatol 24:242–249

    Article  Google Scholar 

  17. Heikkila S, Viitanen JV, Kautiainen H, Kauppi M (2000) Sensitivity to change of mobility tests; effect of short term intensive physiotherapy and exercise on spinal, hip, and shoulder measurements in spondyloarthropathy. J Rheumatol 27:1251–1256

    PubMed  CAS  Google Scholar 

  18. American Thoracic Society/European Respiratory Society (2002) ATS/ERS Statement on respiratory muscle testing. Am J Respir Crit Care Med 166:518–624

    Article  Google Scholar 

  19. Chandran V, O’Shea FD, Schentag CT et al (2007) Relationship between spinal mobility and radiographic damage in ankylosing spondylitis and sporiatric spondylitis: a comparative analysis. J Rheumatol 34:2463–2465

    PubMed  Google Scholar 

  20. Gran JT, Husby G, Hordvik M et al (1984) Radiological changes in men and women with ankylosing spondylitis. Ann Rheum Dis 43:570–575

    PubMed  Article  CAS  PubMed Central  Google Scholar 

  21. Sahin G, Calikoglu M, Ozge C et al (2004) Respiratory muscles strength but not BASFI score relates to diminished chest expansion in ankylosing spondylitis. Clin Rheumatol 23:199–202

    PubMed  Article  Google Scholar 

  22. Koseoglu F, Ozel S, Demirdeviren S et al (1998) Effects of a pulmonary rehabilitation program on pulmonary functions, cycle ergometry test-parameters, exercise tolerance, and spinal mobility in patients with ankylosing spondylitis. Eur J Phys Med Rehabil 8:67–70

    Google Scholar 

  23. Freeston J, Barkham N, Hensor E et al (2007) Ankylosing spondylitis, HLA-B27 positivity and the need for biologic therapies. Joint Bone Spine 74:140–143

    PubMed  Article  CAS  Google Scholar 

  24. Baralikos X, Listing J, Brandt J et al (2007) Radiographic progression in patients with ankylosing spondylitis after 4yrs of treatment with the anti-TNF-α antibody infliximab. Rheumatology (Oxford) 46:1450–1453

    Google Scholar 

  25. Dougados M, Braun J, Szanto S et al (2011) Efficacy of etanercept on rheumatic signs and pulmonary function tests in advanced ankylosing spondylitis: results of a randomised double-blind placebo-controlled study (SPINE). Ann Rheum Dis 70:799–804

    PubMed  Article  CAS  PubMed Central  Google Scholar 

  26. Brandt J, Khariouzov A, Listing J et al (2003) Six-month results of a double-blind, placebo-controlled trial of etanercept treatment in patients with active ankylosing spondylitis. Arthritis Rheum 48:1667–1675

    PubMed  Article  CAS  Google Scholar 

  27. Davis JC Jr, Van Der Heijde D, Braun J et al (2003) Recombinant human tumor necrosis factor receptor (etanercept) for treating ankylosing spondylitis: a randomized, controlled trial. Arthritis Rheum 48:3230–3236

    PubMed  Article  CAS  Google Scholar 

  28. Elliott CG, Hill TR, Adams TE et al (1985) Exercise performance of subjects with ankylosing spondylitis and limited chest expansion. Bull Eur Physiopathol Respir 21:363–368

    PubMed  CAS  Google Scholar 

  29. Ince G, Sarpel T, Durgun B, Erdogan S (2006) Effects of a multimodal exercise program for people with ankylosing spondylitis. Phys Ther 86:924–935

    PubMed  Google Scholar 

  30. Viitanen JV, Kautiainen H, Kokko ML, Ala-Peijari S (1995) Age and spinal mobility in ankylosing spondylitis. Scand J Rheumatol 24:314–315

    PubMed  Article  CAS  Google Scholar 

  31. Mengshoel AM, Robinson HS (2008) Clinical significance of spinal mobilization for patient with ankylosing spondylitis evaluated by quantitative assessment and patient interviews. Disabil Rehabil 30:355–364

    PubMed  Article  Google Scholar 

  32. Viitanen JV, Lehtinen K, Suni J, Kautiainen H (1995) Fifteen months’ follow-up of intensive inpatient physiotherapy and exercise in ankylosing spondylitis. Clin Rheumatol 14:413–419

    PubMed  Article  CAS  Google Scholar 

  33. Viitanen JV, Heikkilä S, Kokko ML, Kautiainen H (2000) Clinical assessment of spinal mobility measurements in ankylosing spondylitis: a compact set for follow-up and trials? Clin Rheumatol 19:131–137

    PubMed  Article  CAS  Google Scholar 

  34. Durmuş D, Alayli G, Uzun O et al (2009) Effects of two exercise interventions on pulmonary functions in the patients with ankylosing spondylitis. Joint Bone Spine 76:150–155

    PubMed  Article  Google Scholar 

  35. Halvorsen S, Vøllestad NK, Fongen C et al (2012) Physical fitness in patients with ankylosing spondylitis: comparison with population controls. Phys Ther 92:298–309

    PubMed  Article  Google Scholar 

  36. Feltelius N, Hedenstrom H, Hillerdal G, Hallgren R (1986) Pulmonary involvement in ankylosisng spondylitis. Ann Rheum Dis 45:736–740

    PubMed  Article  CAS  PubMed Central  Google Scholar 

  37. Ozdem Yr O, Inanici F, Hasçelik Z (2011) Reduced vital capacity leads to exercise intolerance in patients with ankylosing spondylitis. Eur J Phys Rehabil Med 47:391–397

    Google Scholar 

  38. Karapolat H, Eyigor S, Zoghi M et al (2009) Are swimming or aerobic exercise better than conventional exercise in ankylosing spondylitis patients? A randomised controlled study. Eur J Phys Rehabil Med 45:449–457

    PubMed  CAS  Google Scholar 

  39. Ortancil O, Sarikaya S, Sapmaz P et al (2009) The effect(s) of a six-week home-based exercise program on the respiratory muscle and functional status in ankylosing spondylitis. J Clin Rheumatol 15:68–70

    PubMed  Article  Google Scholar 

  40. Kaya A, Ozgocmen S, Kamanli A et al (2007) Evaluation of a quantitative scoring of enthesitis in ankylosing spondylitis. J Clin Rheumatol 13:303–306

    PubMed  Article  Google Scholar 

  41. D’Agostino MA, Olivieri I (2006) Enthesitis. Best Pract Res Clin Rheumatol 20:473–486

    Article  Google Scholar 

  42. Pascual E, Castellano JA, López E (1992) Costovertebral joint changes in ankylosing spondylitis with thoracic pain. Br J Rheumatol 31:413–415

    PubMed  Article  CAS  Google Scholar 

  43. Paalanne N, Korpelainen R, Taimela S et al (2008) Isometric trunk muscle strength and body sway in relation to low back pain in young adults. Spine 33:435–441

    Article  Google Scholar 

  44. Bulstrode SJ, Barefoot J, Harrison RA, Clarke AK (1987) The role of passive stretching in the treatment of ankylosing spondylitis. Br J Rheumatol 26:40–42

    PubMed  Article  CAS  Google Scholar 

Download references

Conflict of interest

No statement made.

Author information

Affiliations

Authors

Corresponding author

Correspondence to Z. Szekanecz M.D., Ph.D., D.Sc..

Rights and permissions

Reprints and Permissions

About this article

Cite this article

Gyurcsik, Z., Bodnár, N., Szekanecz, Z. et al. Treatment of ankylosing spondylitis with biologics and targeted physical therapy. Z. Rheumatol. 72, 997–1004 (2013). https://doi.org/10.1007/s00393-013-1240-8

Download citation

  • Published:

  • Issue Date:

  • DOI: https://doi.org/10.1007/s00393-013-1240-8

Keywords

  • Breathing exercises
  • Physiotherapy
  • Biological therapy
  • Anti-TNF therapy
  • Respiration

Schlüsselwörter

  • Atemübungen
  • Physiotherapie
  • Biologische Therapie
  • Anti-TNF-Therapie
  • Atmung