Skip to main content

Three-dimensional speckle-tracking echocardiography for the global and regional assessments of left ventricle myocardial deformation in breast cancer patients treated with anthracyclines

Abstract

Background

Assessment of 2D/3D left ventricular ejection fraction (LVEF) and 2D global longitudinal strain (GLS) is the gold standard for diagnosing cancer therapeutics-related cardiac dysfunction (CTRCD). Although 3D speckle-tracking echocardiography (STE) has several advantages, it is not used in this setting.

Methods

105 breast cancer patients who underwent serial echocardiographic assessment during anthracycline therapy were included. STE was used to estimate 2D GLS, 3D GLS, 3D global circumferential strain (GCS), 3D global radial strain (GRS), and 3D global area strain (GAS). CTRCD was defined as an absolute decrease in 2D/3D LVEF > 10% to a value < 54% or a relative decrease in 2D GLS > 15%.

Results

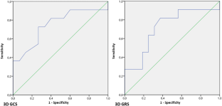
24 patients developed CTRCD. There was a significant worsening of all 3D strain parameters during chemotherapy. 3D strain regional analysis showed impaired contractility in the anterior, inferior, and septal walls. Variations of 3D GRS and 3D GCS were associated with a higher incidence of CTRCD and the variation of 3D GRS was an independent predictor of CTRCD. Variations of 3D GCS and 3D GRS had a good discrimination for predicting CTRCD, with optimal cutoff values of − 34.2% for 3D GCS and − 34.4% for 3D GRS. These variations were observed 45 and 23 days before the diagnosis of CTRCD, respectively.

Conclusion

Variations of 3D strain parameters were predictive of and preceded CTRCD, and thus have added value over currently recommended 2D/3D LVEF and 2D GLS. Routine application of this technique should be considered to offer targeted monitoring and timely initiation of cardioprotective treatment.

Graphic abstract

This is a preview of subscription content, access via your institution.

Fig. 1
Fig. 2
Fig. 3
Fig. 4

References

  1. Swain SM, Whaley FS, Ewer MS (2003) Congestive heart failure in patients treated with doxorubicin: a retrospective analysis of three trials. Cancer 97:2869–2879. https://doi.org/10.1002/cncr.11407

    CAS  Article  PubMed  Google Scholar 

  2. Doyle JJ, Neugut AI, Jacobson JS, Grann VR, Hershman DL (2005) Chemotherapy and cardiotoxicity in older breast cancer patients: a population-based study. J Clin Oncol 23:8597–8605. https://doi.org/10.1200/JCO.2005.02.5841

    Article  PubMed  Google Scholar 

  3. Ramos A, Meyer RA, Korfhagen J, Wong KY, Kaplan S (1976) Echocardiographic evaluation of adriamycin cardiotoxicity in children. Cancer Treat Rep 60:1281–1284

    CAS  PubMed  Google Scholar 

  4. Lenzhofer R, Dudczak R, Gumhold G, Graninger W, Moser K, Spitzy KH (1983) Noninvasive methods for the early detection of doxorubicin-induced cardiomyopathy. J Cancer Res Clin Oncol 106:136–142

    CAS  Article  Google Scholar 

  5. Ewer MS, Ali MK, Mackay B, Wallace S, Valdivieso M, Legha SS, Benjamin RS, Haynie TP (1984) A comparison of cardiac biopsy grades and ejection fraction estimations in patients receiving adriamycin. J Clin Oncol 2:112–117. https://doi.org/10.1200/JCO.1984.2.2.112

    CAS  Article  PubMed  Google Scholar 

  6. Thavendiranathan P, Grant AD, Negishi T, Plana JC, Popovic ZB, Marwick TH (2013) Reproducibility of echocardiographic techniques for sequential assessment of left ventricular ejection fraction and volumes: application to patients undergoing cancer chemotherapy. J Am Coll Cardiol 61:77–84. https://doi.org/10.1016/j.jacc.2012.09.035

    Article  PubMed  Google Scholar 

  7. Lang RM, Badano LP, Mor-Avi V, Afilalo J, Armstrong A, Ernande L, Flachskampf FA, Foster E, Goldstein SA, Kuznetsova T, Lancellotti P, Muraru D, Picard MH, Rietzschel ER, Rudski L, Spencer KT, Tsang W, Voigt JU (2015) Recommendations for cardiac chamber quantification by echocardiography in adults: an update from the American Society of Echocardiography and the European Association of Cardiovascular Imaging. Eur Heart J Cardiovasc Imaging 16:233–270. https://doi.org/10.1093/ehjci/jev014

    Article  PubMed  Google Scholar 

  8. Armstrong GT, Plana JC, Zhang N, Srivastava D, Green DM, Ness KK, Daniel Donovan F, Metzger ML, Arevalo A, Durand JB, Joshi V, Hudson MM, Robison LL, Flamm SD (2012) Screening adult survivors of childhood cancer for cardiomyopathy: comparison of echocardiography and cardiac magnetic resonance imaging. J Clin Oncol 30:2876–2884. https://doi.org/10.1200/JCO.2011.40.3584

    Article  PubMed  PubMed Central  Google Scholar 

  9. Cardinale D, Sandri MT, Martinoni A, Borghini E, Civelli M, Lamantia G, Cinieri S, Martinelli G, Fiorentini C, Cipolla CM (2002) Myocardial injury revealed by plasma troponin I in breast cancer treated with high-dose chemotherapy. Ann Oncol 13:710–715. https://doi.org/10.1093/annonc/mdf170

    CAS  Article  PubMed  Google Scholar 

  10. Morris PG, Dickler M, McArthur HL, Traina T, Sugarman S, Lin N, Moy B, Come S, Godfrey L, Nulsen B, Chen C, Steingart R, Rugo H, Norton L, Winer E, Hudis CA, Dang CT (2009) Dose-dense adjuvant doxorubicin and cyclophosphamide is not associated with frequent short-term changes in left ventricular ejection fraction. J Clin Oncol 27:6117–6123. https://doi.org/10.1200/JCO.2008.20.2952

    CAS  Article  PubMed  PubMed Central  Google Scholar 

  11. Thavendiranathan P, Poulin F, Lim KD, Plana JC, Woo A, Marwick TH (2014) Use of myocardial strain imaging by echocardiography for the early detection of cardiotoxicity in patients during and after cancer chemotherapy: a systematic review. J Am Coll Cardiol 63:2751–2768. https://doi.org/10.1016/j.jacc.2014.01.073

    Article  PubMed  Google Scholar 

  12. Zamorano JL, Lancellotti P, Rodriguez Munoz D, Aboyans V, Asteggiano R, Galderisi M, Habib G, Lenihan DJ, Lip GYH, Lyon AR, Lopez Fernandez T, Mohty D, Piepoli MF, Tamargo J, Torbicki A, Suter TM, Group ESCSD (2016) 2016 ESC position paper on cancer treatments and cardiovascular toxicity developed under the auspices of the esc committee for practice guidelines: the task force for cancer treatments and cardiovascular toxicity of the european society of cardiology. Eur Heart J. 37:2768–2801. https://doi.org/10.1093/eurheartj/ehw211

    Article  PubMed  Google Scholar 

  13. de Isla PL, Balcones DV, Fernandez-Golfin C, Marcos-Alberca P, Almeria C, Rodrigo JL, Macaya C, Zamorano J (2009) Three-dimensional-wall motion tracking: a new and faster tool for myocardial strain assessment: comparison with two-dimensional-wall motion tracking. J Am Soc Echocardiogr. 22:325–330. https://doi.org/10.1016/j.echo.2009.01.001

    Article  Google Scholar 

  14. Mor-Avi V, Lang RM, Badano LP, Belohlavek M, Cardim NM, Derumeaux G, Galderisi M, Marwick T, Nagueh SF, Sengupta PP, Sicari R, Smiseth OA, Smulevitz B, Takeuchi M, Thomas JD, Vannan M, Voigt JU, Zamorano JL (2011) Current and evolving echocardiographic techniques for the quantitative evaluation of cardiac mechanics: ASE/EAE consensus statement on methodology and indications endorsed by the japanese society of echocardiography. J Am Soc Echocardiogr 24:277–313. https://doi.org/10.1016/j.echo.2011.01.015

    Article  PubMed  Google Scholar 

  15. Reant P, Barbot L, Touche C, Dijos M, Arsac F, Pillois X, Landelle M, Roudaut R, Lafitte S (2012) Evaluation of global left ventricular systolic function using three-dimensional echocardiography speckle-tracking strain parameters. J Am Soc Echocardiogr 25:68–79. https://doi.org/10.1016/j.echo.2011.10.009

    Article  PubMed  Google Scholar 

  16. Lang RM, Badano LP, Tsang W, Adams DH, Agricola E, Buck T, Faletra FF, Franke A, Hung J, de Isla LP, Kamp O, Kasprzak JD, Lancellotti P, Marwick TH, McCulloch ML, Monaghan MJ, Nihoyannopoulos P, Pandian NG, Pellikka PA, Pepi M, Roberson DA, Shernan SK, Shirali GS, Sugeng L, Cate FJT, Vannan MA, Zamorano JL, Zoghbi WA, American Society of E, European Association of E (2012) EAE/ASE recommendations for image acquisition and display using three-dimensional echocardiography. Eur Heart J Cardiovasc Imaging 13:1–46. https://doi.org/10.1093/ehjci/jer316

    Article  PubMed  Google Scholar 

  17. Voigt JU, Pedrizzetti G, Lysyansky P, Marwick TH, Houle H, Baumann R, Pedri S, Ito Y, Abe Y, Metz S, Song JH, Hamilton J, Sengupta PP, Kolias TJ, d’Hooge J, Aurigemma GP, Thomas JD, Badano LP (2015) Definitions for a common standard for 2D speckle tracking echocardiography: consensus document of the EACVI/ASE/industry task force to standardize deformation imaging. Eur Heart J Cardiovasc Imaging 16:1–11. https://doi.org/10.1093/ehjci/jeu184

    CAS  Article  PubMed  Google Scholar 

  18. Nagueh SF, Smiseth OA, Appleton CP, Byrd BF 3rd, Dokainish H, Edvardsen T, Flachskampf FA, Gillebert TC, Klein AL, Lancellotti P, Marino P, Oh JK, Popescu BA, Waggoner AD, Houston T, Oslo N, Phoenix A, Nashville T, Hamilton OC, Uppsala S, Ghent T, Liege B, Cleveland O, Novara I, Rochester M, Bucharest R, St. Louis M (2016) Recommendations for the evaluation of left ventricular diastolic function by echocardiography: an update from the American Society of Echocardiography and the European Association of Cardiovascular Imaging. Eur Heart J Cardiovasc Imaging 17:1321–1360. https://doi.org/10.1093/ehjci/jew082

    Article  PubMed  Google Scholar 

  19. Muraru D, Cucchini U, Mihaila S, Miglioranza MH, Aruta P, Cavalli G, Cecchetto A, Padayattil-Jose S, Peluso D, Iliceto S, Badano LP (2014) Left ventricular myocardial strain by three-dimensional speckle-tracking echocardiography in healthy subjects: reference values and analysis of their physiologic and technical determinants. J Am Soc Echocardiogr 27:858–871. https://doi.org/10.1016/j.echo.2014.05.010(e851)

    Article  PubMed  Google Scholar 

  20. Minotti G, Menna P, Salvatorelli E, Cairo G, Gianni L (2004) Anthracyclines: molecular advances and pharmacologic developments in antitumor activity and cardiotoxicity. Pharmacol Rev 56:185–229. https://doi.org/10.1124/pr.56.2.6

    CAS  Article  PubMed  Google Scholar 

  21. Cardinale D, Colombo A, Lamantia G, Colombo N, Civelli M, De Giacomi G, Rubino M, Veglia F, Fiorentini C, Cipolla CM (2010) Anthracycline-induced cardiomyopathy: clinical relevance and response to pharmacologic therapy. J Am Coll Cardiol 55:213–220. https://doi.org/10.1016/j.jacc.2009.03.095

    CAS  Article  PubMed  Google Scholar 

  22. Ohtani K, Fujino T, Ide T, Funakoshi K, Sakamoto I, Hiasa KI, Higo T, Kamezaki K, Akashi K, Tsutsui H (2019) Recovery from left ventricular dysfunction was associated with the early introduction of heart failure medical treatment in cancer patients with anthracycline-induced cardiotoxicity. Clin Res Cardiol 108:600–611. https://doi.org/10.1007/s00392-018-1386-0

    CAS  Article  PubMed  Google Scholar 

  23. Chen J, Long JB, Hurria A, Owusu C, Steingart RM, Gross CP (2012) Incidence of heart failure or cardiomyopathy after adjuvant trastuzumab therapy for breast cancer. J Am Coll Cardiol 60:2504–2512. https://doi.org/10.1016/j.jacc.2012.07.068

    CAS  Article  PubMed  Google Scholar 

  24. Bergamini C, Dolci G, Truong S, Zanolla L, Benfari G, Fiorio E, Rossi A, Ribichini FL (2019) Role of speckle tracking echocardiography in the evaluation of breast cancer patients undergoing chemotherapy: review and meta-analysis of the literature. Cardiovasc Toxicol. https://doi.org/10.1007/s12012-019-09523-y

    Article  PubMed  Google Scholar 

  25. Mornos C, Manolis AJ, Cozma D, Kouremenos N, Zacharopoulou I, Ionac A (2014) The value of left ventricular global longitudinal strain assessed by three-dimensional strain imaging in the early detection of anthracyclinemediated cardiotoxicity. Hellenic J Cardiol 55:235–244

    PubMed  Google Scholar 

  26. Lorenzini C, Lamberti C, Aquilina M (2015) Speckle tracking analysis for early detection of cardiotoxicity in breast cancer patients. Comput Cardiol Nice France IEEE. 42:177–180. https://doi.org/10.1109/CIC.2015.7408615

    Article  Google Scholar 

  27. Santoro C, Arpino G, Esposito R, Lembo M, Paciolla I, Cardalesi C, de Simone G, Trimarco B, De Placido S, Galderisi M (2017) 2D and 3D strain for detection of subclinical anthracycline cardiotoxicity in breast cancer patients: a balance with feasibility. Eur Heart J Cardiovasc Imaging 18:930–936. https://doi.org/10.1093/ehjci/jex033

    Article  PubMed  Google Scholar 

  28. Song FY, Shi J, Guo Y, Zhang CJ, Xu YC, Zhang QL, Shu XH, Cheng LL (2017) Assessment of biventricular systolic strain derived from the two-dimensional and three-dimensional speckle tracking echocardiography in lymphoma patients after anthracycline therapy. Int J Cardiovasc Imaging 33:857–868. https://doi.org/10.1007/s10554-017-1082-6

    Article  PubMed  Google Scholar 

  29. Zhang KW, Finkelman BS, Gulati G, Narayan HK, Upshaw J, Narayan V, Plappert T, Englefield V, Smith AM, Zhang C, Hundley WG, Ky B (2018) Abnormalities in 3-dimensional left ventricular mechanics with anthracycline chemotherapy are associated with systolic and diastolic dysfunction. JACC Cardiovasc Imaging 11:1059–1068. https://doi.org/10.1016/j.jcmg.2018.01.015

    Article  PubMed  PubMed Central  Google Scholar 

  30. Li VW, Liu AP, So EK, Ho KK, Yau JP, Cheuk DK, Cheung YF (2019) Two- and three-dimensional myocardial strain imaging in the interrogation of sex differences in cardiac mechanics of long-term survivors of childhood cancers. Int J Cardiovasc Imaging 35:999–1007. https://doi.org/10.1007/s10554-019-01573-1

    CAS  Article  PubMed  Google Scholar 

  31. Sawaya H, Sebag IA, Plana JC, Januzzi JL, Ky B, Cohen V, Gosavi S, Carver JR, Wiegers SE, Martin RP, Picard MH, Gerszten RE, Halpern EF, Passeri J, Kuter I, Scherrer-Crosbie M (2011) Early detection and prediction of cardiotoxicity in chemotherapy-treated patients. Am J Cardiol 107:1375–1380. https://doi.org/10.1016/j.amjcard.2011.01.006

    CAS  Article  PubMed  PubMed Central  Google Scholar 

  32. Stoodley PW, Richards DA, Hui R, Boyd A, Harnett PR, Meikle SR, Clarke J, Thomas L (2011) Two-dimensional myocardial strain imaging detects changes in left ventricular systolic function immediately after anthracycline chemotherapy. Eur J Echocardiogr 12:945–952. https://doi.org/10.1093/ejechocard/jer187

    Article  PubMed  Google Scholar 

  33. Mavinkurve-Groothuis AM, Marcus KA, Pourier M, Loonen J, Feuth T, Hoogerbrugge PM, de Korte CL, Kapusta L (2013) Myocardial 2D strain echocardiography and cardiac biomarkers in children during and shortly after anthracycline therapy for acute lymphoblastic leukaemia (all): a prospective study. Eur Heart J Cardiovasc Imaging 14:562–569. https://doi.org/10.1093/ehjci/jes217

    Article  PubMed  Google Scholar 

  34. Florescu M, Magda LS, Enescu OA, Jinga D, Vinereanu D (2014) Early detection of epirubicin-induced cardiotoxicity in patients with breast cancer. J Am Soc Echocardiogr 27:83–92. https://doi.org/10.1016/j.echo.2013.10.008

    Article  PubMed  Google Scholar 

  35. Tarr A, Stoebe S, Tuennemann J, Baka Z, Pfeiffer D, Varga A, Hagendorff A (2015) Early detection of cardiotoxicity by 2D and 3D deformation imaging in patients receiving chemotherapy. Echo Res Pract 2:81–88. https://doi.org/10.1530/ERP-14-0084

    Article  PubMed  PubMed Central  Google Scholar 

  36. Boyd A, Stoodley P, Richards D, Hui R, Harnett P, Vo K, Marwick T, Thomas L (2017) Anthracyclines induce early changes in left ventricular systolic and diastolic function: a single centre study. PLoS One. 12:e0175544. https://doi.org/10.1371/journal.pone.0175544

    CAS  Article  PubMed  PubMed Central  Google Scholar 

  37. Tang Q, Jiang Y, Xu Y, Xia H (2017) Speckle tracking echocardiography predicts early subclinical anthracycline cardiotoxicity in patients with breast cancer. J Clin Ultrasound 45:222–230. https://doi.org/10.1002/jcu.22434

    Article  PubMed  Google Scholar 

  38. Lorenzini C, Corsi C, Aquilina M, Gardini AC, Rocca A, Frassineti L, Scarpi E, Amadori D, Lamberti C (2013) Early detection of cardiotoxicity in chemotherapy-treated patients from real-time 3D echocardiography. Comput Cardiol Zaragoza Spain IEEE. 40:249–252

    Google Scholar 

  39. Okuma H, Noto N, Tanikawa S, Kanezawa K, Hirai M, Shimozawa K, Yagasaki H, Shichino H, Takahashi S (2017) Impact of persistent left ventricular regional wall motion abnormalities in childhood cancer survivors after anthracycline therapy: assessment of global left ventricular myocardial performance by 3D speckle-tracking echocardiography. J Cardiol 70:396–401. https://doi.org/10.1016/j.jjcc.2016.12.015

    Article  PubMed  Google Scholar 

  40. Miyoshi T, Tanaka H, Kaneko A, Tatsumi K, Matsumoto K, Minami H, Kawai H, Hirata K (2014) Left ventricular endocardial dysfunction in patients with preserved ejection fraction after receiving anthracycline. Echocardiography 31:848–857. https://doi.org/10.1111/echo.12473

    Article  PubMed  Google Scholar 

  41. Tadic M, Genger M, Baudisch A, Kelle S, Cuspidi C, Belyavskiy E, Burkhardt F, Venneri L, Attanasio P, Pieske B (2018) Left ventricular strain in chemotherapy-naive and radiotherapy-naive patients with cancer. Can J Cardiol 34:281–287. https://doi.org/10.1016/j.cjca.2017.11.018

    Article  PubMed  Google Scholar 

  42. Yu HK, Yu W, Cheuk DK, Wong SJ, Chan GC, Cheung YF (2013) New three-dimensional speckle-tracking echocardiography identifies global impairment of left ventricular mechanics with a high sensitivity in childhood cancer survivors. J Am Soc Echocardiogr 26:846–852. https://doi.org/10.1016/j.echo.2013.04.018

    Article  PubMed  Google Scholar 

  43. Ho E, Brown A, Barrett P, Morgan RB, King G, Kennedy MJ, Murphy RT (2010) Subclinical anthracycline- and trastuzumab-induced cardiotoxicity in the long-term follow-up of asymptomatic breast cancer survivors: a speckle tracking echocardiographic study. Heart 96:701–707. https://doi.org/10.1136/hrt.2009.173997

    CAS  Article  PubMed  Google Scholar 

  44. Lange SA, Jung J, Jaeck A, Hitschold T, Ebner B (2016) Subclinical myocardial impairment occurred in septal and anterior LV wall segments after anthracycline-embedded chemotherapy and did not worsen during adjuvant trastuzumab treatment in breast cancer patients. Cardiovasc Toxicol 16:193–206. https://doi.org/10.1007/s12012-015-9328-9

    CAS  Article  PubMed  Google Scholar 

  45. Portugal G, Moura Branco L, Galrinho A, Mota Carmo M, Timoteo AT, Feliciano J, Abreu J, Duarte Oliveira S, Batarda L, Cruz Ferreira R (2017) Global and regional patterns of longitudinal strain in screening for chemotherapy-induced cardiotoxicity. Rev Port Cardiol 36:9–15. https://doi.org/10.1016/j.repc.2016.06.009

    Article  PubMed  Google Scholar 

  46. Perel RD, Slaughter RE, Strugnell WE (2006) Subendocardial late gadolinium enhancement in two patients with anthracycline cardiotoxicity following treatment for Ewing’s sarcoma. J Cardiovasc Magn Reson 8:789–791. https://doi.org/10.1080/10976640600737664

    Article  PubMed  Google Scholar 

  47. Harries I, Biglino G, Baritussio A, De Garate E, Dastidar A, Plana JC, Bucciarelli-Ducci C (2019) Long term cardiovascular magnetic resonance phenotyping of anthracycline cardiomyopathy. Int J Cardiol. https://doi.org/10.1016/j.ijcard.2019.04.026

    Article  PubMed  Google Scholar 

  48. Barros MVL, Macedo AVS, Sarvari SI, Faleiros MH, Felipe PT, Silva JLP, Edvardsen T (2019) Left ventricular regional wall motion abnormality is a strong predictor of cardiotoxicity in breast cancer patients undergoing chemotherapy. Arq Bras Cardiol 112:50–56. https://doi.org/10.5935/abc.20180220

    CAS  Article  PubMed  PubMed Central  Google Scholar 

  49. Bogaert J, Rademakers FE (2001) Regional nonuniformity of normal adult human left ventricle. Am J Physiol Heart Circ Physiol 280:H610–620. https://doi.org/10.1152/ajpheart.2001.280.2.H610

    CAS  Article  PubMed  Google Scholar 

  50. Chareonthaitawee P, Kaufmann PA, Rimoldi O, Camici PG (2001) Heterogeneity of resting and hyperemic myocardial blood flow in healthy humans. Cardiovasc Res 50:151–161. https://doi.org/10.1016/s0008-6363(01)00202-4

    CAS  Article  PubMed  Google Scholar 

  51. Melillo G, Lima JA, Judd RM, Goldschmidt-Clermont PJ, Silverman HS (1996) Intrinsic myocyte dysfunction and tyrosine kinase pathway activation underlie the impaired wall thickening of adjacent regions during postinfarct left ventricular remodeling. Circulation 93:1447–1458. https://doi.org/10.1161/01.CIR.93.7.1447

    CAS  Article  PubMed  Google Scholar 

  52. Laufer-Perl M, Arnold JH, Mor L, Amrami N, Derakhshesh M, Moshkovits Y, Sadeh B, Arbel Y, Topilsky Y, Rozenbaum Z (2019) The association of reduced global longitudinal strain with cancer therapy-related cardiac dysfunction among patients receiving cancer therapy. Clin Res Cardiol. https://doi.org/10.1007/s00392-019-01508-9

    Article  PubMed  Google Scholar 

  53. Fallah-Rad N, Walker JR, Wassef A, Lytwyn M, Bohonis S, Fang T, Tian G, Kirkpatrick ID, Singal PK, Krahn M, Grenier D, Jassal DS (2011) The utility of cardiac biomarkers, tissue velocity and strain imaging, and cardiac magnetic resonance imaging in predicting early left ventricular dysfunction in patients with human epidermal growth factor receptor ii-positive breast cancer treated with adjuvant trastuzumab therapy. J Am Coll Cardiol 57:2263–2270. https://doi.org/10.1016/j.jacc.2010.11.063

    CAS  Article  PubMed  Google Scholar 

  54. Sawaya H, Sebag IA, Plana JC, Januzzi JL, Ky B, Tan TC, Cohen V, Banchs J, Carver JR, Wiegers SE, Martin RP, Picard MH, Gerszten RE, Halpern EF, Passeri J, Kuter I, Scherrer-Crosbie M (2012) Assessment of echocardiography and biomarkers for the extended prediction of cardiotoxicity in patients treated with anthracyclines, taxanes, and trastuzumab. Circ Cardiovasc Imaging 5:596–603. https://doi.org/10.1161/CIRCIMAGING.112.973321

    Article  PubMed  PubMed Central  Google Scholar 

  55. Baratta S, Damiano MA, Marchese ML, Trucco JI, Rizzo MM, Bernok F, Chejtman D, Olano D, Rojas M, Hita A (2018) Serum markers, conventional doppler echocardiography and two-dimensional systolic strain in the diagnosis of chemotherapy-induced myocardial toxicity. Rev Argent Cardiol 81:133–138. https://doi.org/10.7775/rac.v81.i2.2300

    Article  Google Scholar 

  56. Muraru D, Niero A, Rodriguez-Zanella H, Cherata D, Badano L (2018) Three-dimensional speckle-tracking echocardiography: benefits and limitations of integrating myocardial mechanics with three-dimensional imaging. Cardiovasc Diag Ther 8:101–117. https://doi.org/10.21037/cdt.2017.06.01

    Article  Google Scholar 

  57. Badano LP, Cucchini U, Muraru D, Al Nono O, Sarais C, Iliceto S (2013) Use of three-dimensional speckle tracking to assess left ventricular myocardial mechanics: inter-vendor consistency and reproducibility of strain measurements. Eur Heart J Cardiovasc Imaging 14:285–293. https://doi.org/10.1093/ehjci/jes184

    Article  PubMed  Google Scholar 

Download references

Author information

Affiliations

Authors

Corresponding author

Correspondence to Madalena Coutinho Cruz.

Ethics declarations

Conflicts of interest

The authors declare that they have no conflict of interest.

Ethical standards

This study has been performed in accordance with the ethical standards laid down in the 1964 Declaration of Helsinki and its later amendments.

Informed consent

Informed consent was obtained from all individual participants included in the study.

Electronic supplementary material

Below is the link to the electronic supplementary material.

Supplementary material 1 (PDF 23 kb)

Rights and permissions

Reprints and Permissions

About this article

Verify currency and authenticity via CrossMark

Cite this article

Coutinho Cruz, M., Moura Branco, L., Portugal, G. et al. Three-dimensional speckle-tracking echocardiography for the global and regional assessments of left ventricle myocardial deformation in breast cancer patients treated with anthracyclines. Clin Res Cardiol 109, 673–684 (2020). https://doi.org/10.1007/s00392-019-01556-1

Download citation

  • Received:

  • Accepted:

  • Published:

  • Issue Date:

  • DOI: https://doi.org/10.1007/s00392-019-01556-1

Keywords

  • Anthracyclines
  • Cardiotoxicity
  • Speckle-tracking echocardiography
  • Strain
  • Three-dimensional