Skip to main content

Left atrial anterior line ablation using ablation index and inter-lesion distance measurement

Abstract

Background

Ablation index (AI) is a novel ablation quality marker that incorporates contact force (CF), time and power in a weighted formula to provide accurate information about lesion formation during catheter ablation. This index has been evaluated for pulmonary vein isolation (PVI) but has not been systematically used for other left atrial (LA) procedures so far. The aim of this study is to evaluate the feasibility and efficacy of this index for LA anterior line (AL) ablation (LAALA).

Methods

30 consecutive patients with persistent atrial fibrillation or LA macro-reentrant tachycardia and large low-voltage area at the left atrial anterior wall were evaluated and divided into 2 groups: group 1 (15 pts) LAALA guided by CF; group 2 (15 pts) LAALA guided by AI target (500) and inter-lesion distance ≤ 6 mm.

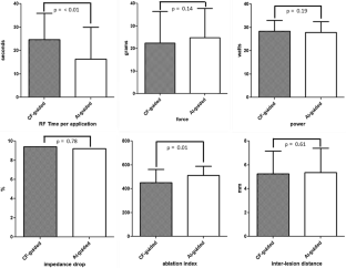
Results

In group 2, shorter ablation time (12.5 ± 3.8 vs 17 ± 7 min, p = 0.049), overall RF application time (7.9 ± 1.4 vs 10.8 ± 3.2 min. p = 0.01) and less radiofrequency (RF) applications (14.5 ± 2.3 vs 20.5 ± 6.1 p = 0.01) were necessary to achieve AL bi-directional block. Acute reconnection of the AL was documented in three patients (20%) of group 1 and in no patient of group 2 (20% vs 0% p = 0.22). At site of reconnection, an inter-lesion distance > 6 mm was always found. There was no difference in terms of CF and power between group 2 and group 1. AI was statistically different between group 2 and group 1 (AI = 511 ± 77 vs 451 ± 111; p = 0.004).

Conclusion

AI-guided LAALA in this study was feasible and featured by shorter ablation time, shorter overall RF application time and a reduced number of RF applications to achieve AL bidirectional block.

This is a preview of subscription content, access via your institution.

Fig. 1
Fig. 2
Fig. 3

References

  1. Ouyang F, Antz M, Ernst S, Hachiya H, Mavrakis H, Deger FT, Schaumann A, Chun J, Falk P, Hennig D, Liu X, Bänsch D, Kuck KH (2005) Recovered pulmonary vein conduction as a dominant factor for recurrent atrial tachyarrhythmias after complete circular isolation of the pulmonary veins: lessons from double Lasso technique. Circulation 111(2):127–135

    Article  PubMed  Google Scholar 

  2. Maurer T, Rottner L, Makimoto H, Reissmann B, Heeger CH, Lemes C, Fink T, Riedl J, Santoro F, Wohlmuth P, Volkmer M, Mathew S, Metzner A, Ouyang F, Kuck KH, Sohns C (2018) The best of two worlds? Pulmonary vein isolation using a novel radiofrequency ablation catheter incorporating contact force sensing technology and 56-hole porous tip irrigation. Clin Res Cardiol. https://doi.org/10.1007/s00392-018-1270-y

    Article  PubMed  Google Scholar 

  3. Schaeffer B, Willems S, Meyer C, Lüker J, Akbulak R, Moser J, Jularic M, Eickholt C, Schwarzl JM, Gunawardene M, Kuklik P, Sultan A, Hoffmann BA, Steven D (2018) Contact force facilitates the achievement of an unexcitable ablation line during pulmonary vein isolation. Clin Res Cardiol 107(8):632–641

    Article  PubMed  Google Scholar 

  4. Neuzil P, Reddy VY, Kautzner J, Petru J, Wichterle D, Shah D et al (2013) Electrical reconnection after pulmonary vein isolation is contingent on contact force during initial treatment: results from the EFFICAS I study. Circ Arrhythm Electrophysiol 6:327–333

    Article  PubMed  Google Scholar 

  5. Kautzner J, Neuzil P, Lambert H, Peichl P, Petru J, Cihak R et al (2015) EFFICAS II: optimization of catheter contact force improves outcome of pulmonary vein isolation for paroxysmal atrial fibrillation. Europace 17:1229–1235

    Article  PubMed  PubMed Central  Google Scholar 

  6. Reissmann B, Rillig A, Wissner E, Tilz R, Schlüter M, Sohns C, Heeger C, Mathew S, Maurer T, Lemes C, Fink T, Wohlmuth P, Santoro F, Riedl J, Ouyang F, Kuck KH, Metzner A (2017) Durability of wide-area left atrial appendage isolation: results from extensive catheter ablation for treatment of persistent atrial fibrillation. Heart Rhythm 14(3):314–319

    Article  PubMed  Google Scholar 

  7. Rillig A, Lin T, Schmidt B, Feige B, Heeger C, Wegner J, Wissner E, Metzner A, Arya A, Mathew S, Wohlmuth P, Ouyang F, Kuck KH, Tilz RR (2016) Experience matters: long-term results of pulmonary vein isolation using a robotic navigation system for the treatment of paroxysmal atrial fibrillation. Clin Res Cardiol 105(2):106–116

    Article  PubMed  Google Scholar 

  8. Rillig A, Schmidt B, Di Biase L, Lin T, Scholz L, Heeger CH, Metzner A, Steven D, Wohlmuth P, Willems S, Trivedi C, Galllinghouse JG, Natale A, Ouyang F, Kuck KH, Tilz RR (2017) Manual versus robotic catheter ablation for the treatment of atrial fibrillation: the man and machine trial. JACC Clin Electrophysiol 3(8):875–883

    Article  PubMed  Google Scholar 

  9. Reichlin T, Knecht S, Lane C, Kuhne M, Nof E, Chopra N et al (2014) Initial impedance decrease as an indicator of good catheter contact: insights from radiofrequency ablation with force sensing catheters. Heart Rhythm 11:194–201

    Article  PubMed  Google Scholar 

  10. Reichlin T, Lane C, Nagashima K, Nof E, Chopra N, Ng J et al (2015) Feasibility, efficacy, and safety of radiofrequency ablation of atrial fibrillation guided by monitoring of the initial impedance decrease as a surrogate of catheter contact. J Cardiovasc Electrophysiol 26:390–396

    Article  PubMed  Google Scholar 

  11. Ullah W, Hunter RJ, Baker V, Dhinoja MB, Sporton S, Earley MJ et al (2014) Target indices for clinical ablation in atrial fibrillation: insights from contact force, electrogram, and biophysical parameter analysis. Circ Arrhythm Electrophysiol 7:63–68

    Article  PubMed  Google Scholar 

  12. Hussein A, Das M, Chaturvedi V, Asfour IK, Daryanani N, Morgan M, Ronayne C, Shaw M, Snowdon R, Gupta D (2017) Prospective use of ablation index targets improves clinical outcomes following ablation for atrial fibrillation. J Cardiovasc Electrophysiol 28(9):1037–1047

    Article  PubMed  Google Scholar 

  13. Calkins H, Kuck KH, Cappato R et al (2012) 2012 HRS/EHRA/ECAS expert consensus statement on catheter and surgical ablation of atrial fibrillation: recommendations for patient selection, procedural techniques, patient management and follow-up, definitions, endpoints, and research trial design. Europace 14:528–606

    Article  PubMed  Google Scholar 

  14. Ouyang F, Ernst S, Vogtmann T, Goya M, Volkmer M, Schaumann A, Bänsch D, Antz M, Kuck KH (2002) Characterization of reentrant circuits in left atrial macroreentrant tachycardia: critical isthmus block can prevent atrial tachycardia recurrence. Circulation 105(16):1934–1942

    Article  PubMed  Google Scholar 

  15. Ouyang F, Tilz R, Chun J, Schmidt B, Wissner E, Zerm T, Neven K, Köktürk B, Konstantinidou M, Metzner A, Fuernkranz A, Kuck KH (2010) Long-term results of catheter ablation in paroxysmal atrial fibrillation: lessons from a 5-year follow-up. Circulation 122:2368–2377

    Article  PubMed  Google Scholar 

  16. Sanders P, Morton JB, Davidson NC et al (2003) Electrical remodeling of the atria in congestive heart failure: electrophysiological and electroanatomic mapping in humans. Circulation 108:1461–1468

    Article  PubMed  Google Scholar 

  17. Stabile G, Solimene F, Calò L, Anselmino M, Castro A, Pratola C, Golia P, Bottoni N, Grandinetti G, De Simone A, De Ponti R, Dottori S, Bertaglia E (2014) Catheter-tissue contact force for pulmonary veins isolation: a pilot multicentre study on effect on procedure and fluoroscopy time. Europace 16(3):335–340

    Article  PubMed  Google Scholar 

  18. Di Biase L, Natale A, Barrett C, Tan C, Elayi CS, Ching CK, Wang P, Al-Ahmad A, Arruda M, Burkhardt JD, Wisnoskey BJ, Chowdhury P, De Marco S, Armaganijan L, Litwak KN, Schweikert RA, Cummings JE (2009) Relationship between catheter forces, lesion characteristics, “popping,” and char formation: experience with robotic navigation system. J Cardiovasc Electrophysiol 20(4):436–440

    Article  PubMed  Google Scholar 

  19. Huemer M, Wutzler A, Parwani AS, Attanasio P, Heiderfazel S, Ewertsen NC, Haverkamp W, Boldt LH (2015) Left atrial appendage conduction jump for real-time evaluation of conduction block over the anterior mitral annulus line. J Cardiovasc Electrophysiol 26(7):730–736

    Article  PubMed  Google Scholar 

  20. Park CI, Lehrmann H, Keyl C, Weber R, Schiebeling J, Allgeier J, Schurr P, Shah A, Neumann FJ, Arentz T, Jadidi AS (2014) Mechanisms of pulmonary vein reconnection after radiofrequency ablation of atrial fibrillation: the deterministic role of contact force and interlesion distance. J Cardiovasc Electrophysiol 1:1–8

    Google Scholar 

  21. Guerra JM, Jorge E, Raga S, Galvez-Monton C, Alonso-Martin C, Rodriguez-Font E et al (2013) Effects of open-irrigated radiofrequency ablation catheter design on lesion formation and complications: in vitro comparison of 6 different devices. J Cardiovasc Electrophysiol 24:1157–1162

    PubMed  Google Scholar 

  22. Kumar S, Chan M, Lee J, Wong MC, Yudi M, Morton JB et al (2014) Catheter-tissue contact force determines atrial electrogram characteristics before and lesion efficacy after antral pulmonary vein isolation in humans. J Cardiovasc Electrophysiol 25:122–129

    Article  PubMed  Google Scholar 

  23. Das M, Loveday JJ, Wynn GJ, Gomes S, Saeed Y, Bonnett LJ, Waktare JEP, Todd DM, Hall MCS, Snowdon RL, Modi S, Gupta D (2017) Ablation index, a novel marker of ablation lesion quality: prediction of pulmonary vein reconnection at repeat electrophysiology study and regional differences in target values. Europace 19(5):775–783

    Google Scholar 

  24. Ullah W, Hunter RJ, Finlay MC, McLean A, Dhinoja MB, Sporton S, Earley MJ, Schilling RJ (2017) Ablation index and surround flow catheter irrigation impedance-based appraisal in clinical ablation. JACC Clin Electrophysiol 3(10):1080–1088

    Article  PubMed  Google Scholar 

  25. Pak HN, Oh YS, Lim HE, Kim YH, Hwang C (2011) Comparison of voltage map-guided left atrial anterior wall ablation versus left lateral mitral isthmus ablation in patients with persistent atrial fibrillation. Heart Rhythm 8(2):199–206

    Article  PubMed  Google Scholar 

  26. Rillig A, Tilz RR, Lin T, Fink T, Heeger CH, Arya A, Metzner A, Mathew S, Wissner E, Makimoto H, Wohlmuth P, Kuck KH, Ouyang F (2016) Unexpectedly high incidence of stroke and left atrial appendage thrombus formation after electrical isolation of the left atrial appendage for the treatment of atrial tachyarrhythmias. Circ Arrhythm Electrophysiol 9(5):e003461

    Article  PubMed  Google Scholar 

  27. Verma A, Jiang CY, Betts TR, Chen J, Deisenhofer I, Mantovan R, Macle L, Morillo CA, Haverkamp W, Weerasooriya R, Albenque JP, Nardi S, Menardi E, Novak P, Sanders P (2015) STAR AF II Investigators. Approaches to catheter ablation for persistent atrial fibrillation. N Engl J Med 372(19):1812–1822

    Article  PubMed  Google Scholar 

  28. Bellmann B, Lin T, Ruppersberg P, Zettwitz M, Guttmann S, Tscholl V, Nagel P, Roser M, Landmesser U, Rillig A (2018) Identification of active atrial fibrillation sources and their discrimination from passive rotors using electrographical flow mapping. Clin Res Cardiol. https://doi.org/10.1007/s00392-018-1274-7

    Article  PubMed  Google Scholar 

  29. Ammar S, Luik A, Hessling G, Bruhm A, Reents T, Semmler V, Buiatti A, Kathan S, Hofmann M, Kolb C, Schmitt C, Deisenhofer I (2015) Ablation of perimitral flutter: acute and long-term success of the modified anterior line. Europace 17(3):447–452

    Article  PubMed  Google Scholar 

  30. Phlips T, Taghji P, El Haddad M, Wolf M, Knecht S, Vandekerckhove Y, Tavernier R, Duytschaever M (2018) Improving procedural and one-year outcome after contact force-guided pulmonary vein isolation: the role of interlesion distance, ablation index, and contact force variability in the ‘CLOSE’-protocol. Europace. https://doi.org/10.1093/europace/eux376

    Article  PubMed  Google Scholar 

  31. El Haddad M, Taghji P, Phlips T, Wolf M, Demolder A, Choudhury R, Knecht S, Vandekerckhove Y, Tavernier R, Nakagawa H, Duytschaever M (2017) Determinants of acute and late pulmonary vein reconnection in contact force-guided pulmonary vein isolation: identifying the weakest link in the ablation chain. Circ Arrhythm Electrophysiol 10(4):e004867

    Article  PubMed  Google Scholar 

  32. Chun KRJ, Perrotta L, Bordignon S, Khalil J, Dugo D, Konstantinou A, Fürnkranz A, Schmidt B (2017) Complications in catheter ablation of atrial fibrillation in 3,000 consecutive procedures: balloon versus radiofrequency current ablation. JACC Clin Electrophysiol 3(2):154–161

    Article  PubMed  Google Scholar 

Download references

Author information

Affiliations

Authors

Corresponding author

Correspondence to Francesco Santoro.

Rights and permissions

Reprints and Permissions

About this article

Verify currency and authenticity via CrossMark

Cite this article

Santoro, F., Metzner, A., Brunetti, N.D. et al. Left atrial anterior line ablation using ablation index and inter-lesion distance measurement. Clin Res Cardiol 108, 1009–1016 (2019). https://doi.org/10.1007/s00392-019-01428-8

Download citation

  • Received:

  • Accepted:

  • Published:

  • Issue Date:

  • DOI: https://doi.org/10.1007/s00392-019-01428-8

Keywords

  • Ablation
  • Ablation index
  • Anterior line
  • Contact force
  • PVI
  • Pulmonary vein isolation
  • RF
  • Power