Abstract
Background
This article summarizes the emerging field of hypertension over the last decades. It covers paradigm shifts on hypertension from an undefined cardiovascular condition to the most relevant cardiovascular modifiable risk factor and the developments of drug treatments and interventional treatments to improve cardiovascular outcomes.
Methods
We performed a selective literature research in PubMed on trials published in the past until 2018 without time restrictions and covered unpublished trials disclosed in ClinicalTrials.org.
Results
The development of treatments of hypertension is a success story covering many decades from the early attempts with drug treatments, development of tolerable and effective medications to interventional techniques involving renal denervation, AV fistulas, and autonomic devices. Novel guidelines define new definitions and treatment targets of hypertension, which are a matter of ongoing discussion.
Conclusion
Despite the development of tolerable and effective drugs, new treatments in the field of neuroendocrine modulation by drugs and devices are still under development trying to further improve treatment of patients with hypertension and to further reduce cardiovascular events in those individuals.






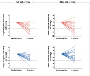
Modified from Azizi et al. [87]

Modified from Townsend et al. [92]

Modified from Mahfoud F, presented at EuroPCR 2018
References
World Health Organization (2013) A global brief on hypertension—World Health Day 2013
Ettehad D, Emdin CA, Kiran A et al (2016) Blood pressure lowering for prevention of cardiovascular disease and death: a systematic review and meta-analysis. Lancet 387:957–967
Lewington S, Clarke R, Qizilbash N et al (2002) Age-specific relevance of usual blood pressure to vascular mortality: a meta-analysis of individual data for one million adults in 61 prospective studies. Lancet 360:1903–1913
Harvey W, Sigerist HE (1628) Exercitatio anatomica de motu cordis et Sanguinis in animalibus. Movement of the heart and blood in animals. Sumptibus Guilielmi Fitzeri
Hales S (1733) Statical essays: Containing haemastaticks; Or, an account of some hydraulick and hydrostatical experiments made on the blood and blood-vessels of animals. Meet Counc R Soc 2:426
Multanowski M (1970) Korotkoff’s method. The history of its discovery, of its clinical and experimental interpretation and modern appreciation. The 50th anniversary of N.S. Korotkoff’s death. Cor Vasa 12:106
Paullin JE (1926) Ultimate results of essential hypertension. JAMA 87:925–928
Hay J (1931) A british medical association lecture on the significance of a raised blood pressure. Br Med J 2:43–47
Keith N, Wagener H, Barker N (1974) Some different types of essential hypertension: their course and prognosis. Am J Med SCI 268:336–345
Gudbrandsson T (1981) Malignant hypertension; A clinical follow-up study with special reference to renal and cardiovascular function and immunogenetic factors. Acta Med Scand 650:1–62
Ross CG (1945) “Came out of clear sky,” says President’s physician. St Louis Post-Dispatch A2
Messerli FH (1995) This day 50 years ago. N Engl J Med 332:1038–1039
Veterans Administration Cooperative Study Group on Antihypertensive Agents (1967) Effects of treatment on morbidity in hypertension. Results in patients with diastolic blood pressures averaging 115 through 129 mm Hg. JAMA 202:1028–1034
Veterans Administration Cooperative Study Group on Antihypertensive Agents (1970) Effects morbidity of treatment on in hypertension. Results in patients with diastolic blood pressures averaging 90 through 114 mm Hg. JAMA 213:1143–1152
Kempner W (1948) Treatment of hypertensive vascular disease with rice diet. Am J Med 4:545–577
Page I, Taylor R (1949) Pyrogens in the treatment of malignant hypertension. Mod Concepts Cardiovasc Dis 18:51
Freis E, Wilkins R (1947) Effect of pentaquine in patients with hypertension. Proc Soc Exp Biol Med 64:455–458
Hines EA (1946) The thiocyanates in the treatment of hypertensive disease. Med Clin North Am 30:869–877
Adrogué HJ, Madias NE (2007) Sodium and potassium in the pathogenesis of hypertension. N Engl J Med 356:1966–1978
Center for Disease Control (2010) Centers for disease control and prevention morbidity and mortality weekly report. MMWR Morb Mortal Wkly Rep 59(24):746–749
He FJ, Pombo-Rodrigues S, MacGregor GA (2014) Salt reduction in England from 2003 to 2011: its relationship to blood pressure, stroke and ischaemic heart disease mortality. BMJ Open 4:e004549. https://doi.org/10.1136/bmjopen-2013-004549
Sasaki N (1980) Epidemiological studies on hypertension in northeast Japan. In: Kesteloot H, Joossens JV (eds) Epidemiology of arterial blood pressure. Developments in cardiovascular medicine, vol 8. Springer, Dordrecht, pp 367–377
Karppanen H, Mervaala E (2006) Sodium intake and hypertension. Prog Cardiovasc Dis 49:59–75
Lerchl K, Rakova N, Dahlmann A et al (2015) Agreement between 24-hour salt ingestion and sodium excretion in a controlled environment. Hypertension 66:850–857
Ludwig C (1842) De viribus physicis secretionem urinae adjuvantibus: Marburge Cattorum. Elwert, Marburg
Bradford J (1889) The innervation of the renal blood vessels. J Physiol 10:358–432
Sen S (1936) Some observations on decapsulation and denervation of the kidney. Br J Urol 8:319–328
Papin E, Ambard L (1924) Resection of the nerves of the kidney for nephralgia and small hydronephroses. J Urol 11:337
Page I, Heuer G (1935) The effect of renal denervation on the level of arterial blood pressure and renal function in essential hypertension. J Clin Invest 14:27–30
Page I, Heuer G (1935) The effect of renal denervation on patients suffering from nephritis. J Clin Invest 14:443–458
Smithwick RH, Thompson JE (1953) Splanchnicectomy for essential hypertension: results in 1,266 cases. J Am Med Assoc 152:1501–1504
Grimson KS, Orgain ES, Anderson B, D’Angelo GJ (1953) Total thoracic and partial to total lumbar sympathectomy, splanchnicectomy and celiac ganglionectomy for hypertension. Ann Surg 138:532–547
Esler M (2010) The 2009 Carl Ludwig Lecture: pathophysiology of the human sympathetic nervous system in cardiovascular diseases: the transition from mechanisms to medical management. J Appl Physiol 108:227–237
Böhm M, Linz D, Ukena C et al (2014) Renal denervation for the treatment of cardiovascular high risk-hypertension or beyond? Circ Res 115:400–409
Vogl A (1950) The discovery of the organic mercurial diuretics. Am Heart J 39:881–883
Freis ED, Wanko A, Wilson IM, Parrish AE (1958) Treatment of essential hypertension with chlorothiazide (diuril): Its use alone and combined with other antihypertensive agents. J Am Med Assoc 166:137–140
Muschaweck R, Hajdú P (1964) Die salidiuretische Wirksamkeit der Chlor-N-(2-furylmethyl)5-sulfamy-anthranilsäure. Arzneimittelforschung 14:44–47
Moyer J (1954) Cardiovascular and renal hemodynamic response to reserpine (serpasil), and clinical results of using this agent for the treatment of hypertension. Ann N Y Acad Sci 59:82–94
Day M, Rand M (1963) A hypothesis for the mode of action of alpha-methyldopa in relieving hypertension. J Pharm Pharmacol 15:221–224
Hoefke W, Kobinger W (1966) Pharmakologische Wirkungen des 2-(2,6-Dichlorophenylamino)-2-Imidazolin-hydrochlorids, einer neuen antihypertensiven Substanz. Arzneimittelforschung 16:1038–1050
Tigerstedt R, Bergmann P (1898) Niere und Kreislauf. Scand Arch Physiol 7–8:223–271
Lindner E (1960) Phenyl-propyl-diphenyl-propyl-amin, eine neue Substanz mit coronargefäßerweiternder Wirkung. Arzneimittelforschung1 10:569–573
Fleckenstein A (1964) Die Bedeutung der energiereichen Phosphate für Kontraktilität und Tonus des Myokards. Verh Dtsch Ges Inn Med 70:81–99
Mills KT, Bundy JD, Kelly TN et al (2016) Global disparities of hypertension prevalence and control—global disparities of hypertension prevalence and control a systematic analysis of population-based studies from 90 countries. Circulation 134:441–450
Kearney PM, Whelton M, Reynolds K et al (2005) Global burden of hypertension: analysis of worldwide data. Lancet 365:217–223
Lawes CMM, Rodgers A, Bennett D et al (2003) Blood pressure and cardiovascular disease in the Asia Pacific region. J Hypertens 21:707–716
Rapsomaniki E, Timmis A, George J et al (2014) Blood pressure and incidence of twelve cardiovascular diseases: Lifetime risks, healthy life-years lost, and age-specific associations in 1·25 million people. Lancet 383:1899–1911
Parati G, Stergiou G, O’Brien E et al (2014) European society of hypertension practice guidelines for ambulatory blood pressure monitoring. J Hypertens 32:1359–1366
Sheppard JP, Holder R, Nichols L et al (2014) Predicting out-of-office blood pressure level using repeated measurements in the clinic: an observational cohort study. J Hypertens 32:2171–2178
Kjeldsen SE, Lund-Johansen P, Nilsson PM, Mancia G (2016) Unattended blood pressure measurements in the systolic blood pressure intervention trial: Implications for entry and achieved blood pressure values compared with other trials. Hypertension 67:808–812
Mancia G, Verdecchia P (2015) Clinical value of ambulatory blood pressure: evidence and limits. Circ Res 116:1034–1045
Banegas JR, Ruilope LM, de la Sierra A et al (2018) Relationship between clinic and ambulatory blood-pressure measurements and mortality. N Engl J Med 378:1509–1520
SPRINT Research Group, Wright JT, Williamson JD, et al (2015) A randomized trial of intensive versus standard blood-pressure control. N Engl J Med 373:2103–2116
Thomopoulos C, Parati G, Zanchetti A (2014) Effects of blood pressure lowering on outcome incidence in hypertension. 1. Overview, meta-analyses, and meta-regression analyses of randomized trials. J Hypertens 32:2285–2295
Böhm M, Schumacher H, Teo KK et al (2017) Achieved blood pressure and cardiovascular outcomes in high-risk patients: results from ONTARGET and TRANSCEND trials. Lancet 389:2226–2237
Williams B, Mancia G, Spiering W et al (2018) 2018 ESH/ESC Guidelines for the management of aterial hypertension. Eur Heart J (unpublished)
Vidal-Petiot E, Ford I, Greenlaw N et al (2016) Cardiovascular event rates and mortality according to achieved systolic and diastolic blood pressure in patients with stable coronary artery disease: an international cohort study. Lancet 388:2142–2152
Böhm M, Schumacher H, Teo KK et al (2018) Achieved diastolic blood pressure and pulse pressure at target systolic blood pressure (120–140 mmHg) and cardiovascular outcomes in high-risk patients: results from ONTARGET and TRANSCEND trials. Eur Heart J. https://doi.org/10.1093/eurheartj/ehy287
Psaty BM, Lumley T, Furberg CD et al (2003) Health outcomes associated with various antihypertensive therapies used as first-line agents: a network meta-analysis. J Am Med Assoc 289:2534–2544
Costanzo P, Perrone-Filardi P, Petretta M et al (2009) Calcium channel blockers and cardiovascular outcomes: a meta-analysis of 175,634 patients. J Hypertens 27:1136–1151
Van Vark LC, Bertrand M, Akkerhuis KM et al (2012) Angiotensin-converting enzyme inhibitors reduce mortality in hypertension: A meta-analysis of randomized clinical trials of renin–angiotensin–aldosterone system inhibitors involving 158 998 patients. Eur Heart J 33:2088–2097
Turnbull F, Neal B, Algert C et al (2005) Effects of different blood pressure-lowering regimens on major cardiovascular events in individuals with and without diabetes mellitus: results of prospectively designed overviews of randomized trials. Arch Intern Med 165:1410–1419
Mancia G, Fagard R, Narkiewicz K et al (2013) 2013 ESH/ESC guidelines for the management of arterial hypertension: the Task Force for the management of arterial hypertension of the European Society of Hypertension (ESH) and of the European Society of Cardiology (ESC). Eur Heart J 34:2159–2219
Whelton PK, Carey RM, Aronow WS et al (2017) 2017 ACC/AHA/AAPA/ABC/ACPM/AGS/APhA/ASH/ASPC/NMA/PCNA Guideline for the prevention, detection, evaluation, and management of high blood pressure in adults: executive summary. Hypertension 71(6):1269–1324
Ogihara T, Saruta T, Rakugi H et al (2010) Target blood pressure for treatment of isolated systolic hypertension in the elderly: valsartan in elderly isolated systolic hypertension study. Hypertension 56:196–202
Law MR, Morris JK, Wald NJ (2009) Use of blood pressure lowering drugs in the prevention of cardiovascular disease: Meta-analysis of 147 randomised trials in the context of expectations from prospective epidemiological studies. BMJ 338:b1665
Dahlof B, Devereux BR, Kjeldsen SE (2002) Cardiovascular morbidity and mortality in the losartan intervention for end point reduction in hypertension study (LIFE): a randomised trial against atenolol. ACC Curr J Rev 11:26
Silvestri A, Galetta P, Cerquetani E et al (2003) Report of erectile dysfunction after therapy with beta-blockers is related to patient knowledge of side effects and is reversed by placebo. Eur Heart J 24:1928–1932
Calhoun D, Jones D, Textor S et al (2008) Resistant hypertension: diagnosis, evaluation, and treatment: a scientific statement from the American Heart Association Professional Education Committee of the Council for High Blood Pressure Research. Circulation 117:e510–e526
Egan BM, Zhao Y, Axon RN et al (2011) Uncontrolled and apparent treatment resistant hypertension in the United States, 1988 to 2008. Circulation 124:1046–1058
Krieger EM, Drager LF, Giorgi DMA et al (2018) Spironolactone versus clonidine as a fourth-drug therapy for resistant hpertension novelty and significance. Hypertension 71:681–690
Williams B, Macdonald TM, Morant S et al (2015) Spironolactone versus placebo, bisoprolol, and doxazosin to determine the optimal treatment for drug-resistant hypertension (PATHWAY-2): a randomised, double-blind, crossover trial. Lancet 386:2059–2068
Václavík J, Sedlák R, Plachý M et al (2011) Addition of spironolactone in patients with resistant arterial hypertension (ASPIRANT): a randomized, double-blind, placebo-controlled trial. Hypertension 57:1069–1075
Schulz M, Krueger K, Schuessel K et al (2016) Medication adherence and persistence according to different antihypertensive drug classes: A retrospective cohort study of 255,500 patients. Int J Cardiol 220:668–676
Berra E, Azizi M, Capron A et al (2016) Evaluation of adherence should become an integral part of assessment of patients with apparently treatment-resistant hypertension. Hypertension 68:297–306
Gupta P, Patel P, Štrauch B et al (2017) Risk factors for nonadherence to antihypertensive treatment. Hypertension 69:1113–1120
Wald DS, Law M, Morris JK et al (2009) Combination therapy versus monotherapy in reducing blood pressure: meta-analysis on 11,000 participants from 42 trials. Am J Med 122:290–300
Chow CK, Thakkar J, Bennett A et al (2017) Quarter-dose quadruple combination therapy for initial treatment of hypertension: placebo-controlled, crossover, randomised trial and systematic review. Lancet 389:1035–1042
Bobrow K, Farmer AJ, Springer D et al (2016) Mobile phone text messages to support treatment adherence in adults with high blood pressure (SMS-Text Adherence Support [StAR]): a single-blind, randomized trial. Circulation 133:592–600
McNaughton CD, Brown NJ, Rothman RL et al (2017) Systolic blood pressure and biochemical assessment of adherence: a cross-sectional analysis in the emergency department. Hypertension 70:307–314
Gupta P, Patel P, Štrauch B et al (2017) Biochemical screening for nonadherence is associated with blood pressure reduction and improvement in adherence. Hypertension 70:1042–1048
Donazzan L, Mahfoud F, Ewen S et al (2016) Effects of catheter-based renal denervation on cardiac sympathetic activity and innervation in patients with resistant hypertension. Clin Res Cardiol 105:364–371
Hering D, Marusic P, Walton AS et al (2014) Sustained sympathetic and blood pressure reduction 1 year after renal denervation in patients with resistant hypertension. Hypertension 64:118–124
Ewen S, Zivanovic I, Böhm M, Mahfoud F (2015) Catheter-based renal denervation for hypertension treatment: update 2015. Eur Heart J 37:930–933
Mahfoud F, Böhm M, Azizi M et al (2015) Proceedings from the European clinical consensus conference for renal denervation: considerations on future clinical trial design. Eur Heart J 36:2219–2227
Böhm M, Mahfoud F, Ukena C et al (2015) First report of the global SYMPLICITY registry on the effect of renal artery denervation in patients with uncontrolled hypertension. Hypertension 65:766–774
De Jager RL, Sanders MF, Bots ML et al (2016) Renal denervation in hypertensive patients not on blood pressure lowering drugs. Clin Res Cardiol 105:755–762
Sharp ASP, Davies JE, Lobo MD et al (2016) Renal artery sympathetic denervation: observations from the UK experience. Clin Res Cardiol 105:544–552
Bhatt DL, Kandzari DE, O’Neill WW et al (2014) A controlled trial of renal denervation for resistant hypertension. N Engl J Med 370:1393–1401
Pathak A, Ewen S, Fajadet J et al (2014) From symplicity HTN-3 to the renal denervation global registry: where do we stand and where should we go. EuroIntervention 10:21–24
Azizi M, Sapoval M, Gosse P et al (2015) Optimum and stepped care standardised antihypertensive treatment with or without renal denervation for resistant hypertension (DENERHTN): a multicentre, open-label, randomised controlled trial. Lancet 385:1957–1965
Ewen S, Meyer MR, Cremers B et al (2015) Blood pressure reductions following catheter-based renal denervation are not related to improvements in adherence to antihypertensive drugs measured by urine/plasma toxicological analysis. Clin Res Cardiol 104:1097–1105
Azizi M, Pereira H, Hamdidouche I et al (2016) Adherence to antihypertensive treatment and the blood pressure-lowering effects of renal denervation in the renal denervation for hypertension (DENERHTN) trial. Circulation 134:847–857
Kandzari DE, Kario K, Mahfoud F et al (2016) The SPYRAL HTN Global Clinical Trial Program: rationale and design for studies of renal denervation in the absence (SPYRAL HTN OFF-MED) and presence (SPYRAL HTN ON-MED) of antihypertensive medications. Am Heart J 171:82–91
Ewen S, Ukena C, Linz D et al (2015) Reduced effect of percutaneous renal denervation on blood pressure in patients with isolated systolic hypertension. Hypertension 65:193–199
Mahfoud F, Bakris G, Bhatt DL et al (2017) Reduced blood pressure-lowering effect of catheter-based renal denervation in patients with isolated systolic hypertension: Data from SYMPLICITY HTN-3 and the Global SYMPLICITY Registry. Eur Heart J 38:93–100
Mahfoud F, Tunev S, Ewen S et al (2015) Impact of lesion placement on efficacy and safety of catheter-based radiofrequency renal denervation. J Am Coll Cardiol 66:1766–1775
Townsend RR, Mahfoud F, Kandzari DE et al (2017) Catheter-based renal denervation in patients with uncontrolled hypertension in the absence of antihypertensive medications (SPYRAL HTN-OFF MED): a randomised, sham-controlled, proof-of-concept trial. Lancet 390:2160–2170
Kandzari DE, Böhm M, Mahfoud F et al (2018) Effect of renal denervation on blood pressure in the presence of antihypertensive drugs: 6-month efficacy and safety results from the SPYRAL HTN-ON MED proof-of-concept randomised trial. Lancet 6736:1–10
Azizi M, Schmieder RE, Mahfoud F et al (2018) Endovascular ultrasound renal denervation to treat hypertension (RADIANCE-HTN SOLO): a multicentre, international, single-blind, randomised, sham-controlled trial. Lancet 6736:1–11
Scheffers IJM, Kroon AA, Schmidli J et al (2010) Novel baroreflex activation therapy in resistant hypertension: results of a European multi-center feasibility study. J Am Coll Cardiol 56:1254–1258
De Leeuw PW, Bisognano JD, Bakris GL et al (2017) Sustained reduction ofbBlood pressure with baroreceptor activation therapy: results of the 6-year open follow-up. Hypertension 69:836–843
Ewen S, Böhm M, Mahfoud F (2017) Long-term follow-up of baroreflex activation therapy in resistant hypertension: Another piece of the puzzle? Hypertension 69:782–784
Lobo MD, Sobotka PA, Stanton A et al (2015) Central arteriovenous anastomosis for the treatment of patients with uncontrolled hypertension (the ROX CONTROL HTN study): a randomised controlled trial. Lancet 385:1634–1164
Ewen S, Lauder L, Böhm M, Mahfoud F (2018) Real-time left ventricular pressure-volume loops during percutaneous central arteriovenous anastomosis. Eur Heart J (Epub ahead of press)
Lobo MD, Ott C, Sobotka PA et al (2017) Central iliac arteriovenous anastomosis for uncontrolled hypertension: one-year results from the ROX CONTROL HTN Trial. Hypertens (Dallas. Tex 1979) 70:1099–1105
Spiering W, Williams B, Van der Heyden J et al (2017) Endovascular baroreflex amplification for resistant hypertension: a safety and proof-of-principle clinical study. Lancet 390:2655–2661
Author information
Authors and Affiliations
Corresponding author
Rights and permissions
About this article
Cite this article
Wolf, M., Ewen, S., Mahfoud, F. et al. Hypertension: history and development of established and novel treatments. Clin Res Cardiol 107 (Suppl 2), 16–29 (2018). https://doi.org/10.1007/s00392-018-1299-y
Received:
Accepted:
Published:
Issue Date:
DOI: https://doi.org/10.1007/s00392-018-1299-y