Skip to main content

The T-peak-to-T-end interval: a novel ECG marker for ventricular arrhythmia and appropriate ICD therapy in patients with hypertrophic cardiomyopathy

Abstract

Introduction

Hypertrophic cardiomyopathy (HCM) is associated with an increased risk of sudden cardiac death (SCD) primarily due to ventricular arrhythmia (VA). In patients (pts.) with a high risk of SCD, the implantation of an intracardiac cardioverter defibrillator (ICD) is thus indicated. Previous studies suggest that a prolonged interval between the peak and the end of the T wave, T-peak to T-end (TpTe), is associated with an elevated risk of VA and SCD in various clinical settings. The aim of our study was to evaluate the association between TpTe and VA in HCM pts. with a previously implanted ICD.

Methods

In 40 HCM pts. (51.4 ± 16.4 years; 62.5% men), TpTe was measured using the baseline digital standard resting 12-lead ECG during sinus rhythm. VA was assessed by device follow-up.

Results

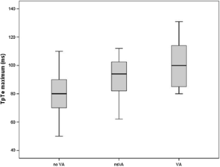
Within 41.8 ± 35.1 months, 7 (17.5%) pts. had VA leading to appropriate therapy (AT), 7 pts. (17.5%) had non-sustained VA, and 26 pts. (65.0%) had no VA. The maximum TpTe was significantly prolonged in pts. with VA leading to AT compared to pts. without VA (101.3 ± 19.6 vs. 79.9 ± 15.3 ms; p = 0.004). Maximum TpTe was associated with an elevated risk of VA leading to AT (hazard ratio per 10 ms increase 1.63; 95% CI 1.04–2.54; p = 0.031) and pts. with a maximum TpTe ≤ 78 ms were without any VA leading to AT during follow-up. There was no correlation of maximum TpTe to other clinical parameters in our patient cohort.

Conclusion

A prolonged TpTe is associated with VA and AT in HCM. Our findings suggest that TpTe can possibly serve as a marker for ventricular arrhythmogenesis in pts. with HCM and assessment of TpTe might, therefore, optimize SCD risk stratification.

This is a preview of subscription content, access via your institution.

Fig. 1
Fig. 2
Fig. 3

References

  1. Gersh BJ, Maron BJ, Bonow RO et al (2011) 2011 ACCF/AHA guideline for the diagnosis and treatment of hypertrophic cardiomyopathy 58(25):1–51. doi:10.1016/j.jacc.2011.06.011

  2. Elliott PM, Anastasakis A, Borger MA et al (2014) 2014 ESC Guidelines on diagnosis and management of hypertrophic cardiomyopathy: the task force for the diagnosis and management of hypertrophic cardiomyopathy of the European Society of Cardiology (ESC). Eur Heart J. doi:10.1093/eurheartj/ehu284

    Google Scholar 

  3. Maron BJ, Maron MS (2016) Contemporary strategies for risk stratification and prevention of sudden death with the implantable defibrillator in hypertrophic cardiomyopathy. Heart Rhythm. doi:10.1016/j.hrthm.2015.12.048

    PubMed  Google Scholar 

  4. Antzelevitch C (2001) Tpeak ± Tend interval as an index of transmural dispersion of repolarization. Eur J Clin Invest 31(7):555–557

    CAS  Article  PubMed  Google Scholar 

  5. Xia Y, Liang Y, Kongstad O, Holm M, Olsson B, Yuan S (2005) Tpeak–Tend interval as an index of global dispersion of ventricular repolarization: evaluations using monophasic action potential mapping of the epi- and endocardium in swine. J Interv Card Electrophysiol 14(2):79–87. doi:10.1007/s10840-005-4592-4

    Article  PubMed  Google Scholar 

  6. Barbhaiya C, Po JRF, Hanon S, Schweitzer P (2013) Tpeak-Tend and Tpeak-Tend/QT ratio as markers of ventricular arrhythmia risk in cardiac resynchronization therapy patients. Pacing Clin Electrophysiol 36(1):103–108. doi:10.1111/pace.12031

    Article  PubMed  Google Scholar 

  7. Gupta P, Patel C, Patel H et al (2008) T(p-e)/QT ratio as an index of arrhythmogenesis. J Electrocardiol 41(6):567–574. doi:10.1016/j.jelectrocard.2008.07.016

    Article  PubMed  Google Scholar 

  8. Haarmark C, Hansen PR, Vedel-Larsen E et al (2009) The prognostic value of the Tpeak-Tend interval in patients undergoing primary percutaneous coronary intervention for ST-segment elevation myocardial infarction. J Electrocardiol 42(6):555–560. doi:10.1016/j.jelectrocard.2009.06.009

    Article  PubMed  Google Scholar 

  9. Letsas KP, Weber R, Astheimer K, Kalusche D, Arentz T (2010) Tpeak-Tend interval and Tpeak-Tend/QT ratio as markers of ventricular tachycardia inducibility in subjects with Brugada ECG phenotype. Europace 12(2):271–274. doi:10.1093/europace/eup357

    Article  PubMed  Google Scholar 

  10. Panikkath R, Reinier K, Uy-Evanado A et al (2011) Prolonged Tpeak-to-tend interval on the resting ECG is associated with increased risk of sudden cardiac death. Circ Arrhythm Electrophysiol 4(4):441–447. doi:10.1161/CIRCEP.110.960658

    Article  PubMed  PubMed Central  Google Scholar 

  11. Porthan K, Viitasalo M, Toivonen L et al (2013) Predictive value of electrocardiographic T-wave morphology parameters and T-wave peak to T-wave end interval for sudden cardiac death in the general population. Circ Arrhythm Electrophysiol 6(4):690–696. doi:10.1161/CIRCEP.113.000356

    Article  PubMed  Google Scholar 

  12. Shimizu M, Ino H, Okeie K et al (2002) T-peak to T-end interval may be a better predictor of high-risk patients with hypertrophic cardiomyopathy associated with a cardiac troponin I mutation than QT dispersion. Clin Cardiol 25(7):335–339. http://www.ncbi.nlm.nih.gov/pubmed/12109867. Accessed 26 Nov 2014

  13. O’Mahony C, Jichi F, Pavlou M et al (2014) A novel clinical risk prediction model for sudden cardiac death in hypertrophic cardiomyopathy (HCM Risk-SCD). Eur Heart J 35(30):2010–2020. doi:10.1093/eurheartj/eht439

    Article  PubMed  Google Scholar 

  14. Rautaharju PM, Surawicz B, Gettes LS et al (2009) AHA/ACCF/HRS recommendations for the standardization and interpretation of the electrocardiogram: part IV: the ST segment, T and U waves, and the QT interval: a scientific statement from the American Heart Association Electrocardiography and Arrhythmias C. Circulation 119(10):e241-50. doi:10.1161/CIRCULATIONAHA.108.191096

    Article  PubMed  Google Scholar 

  15. Antzelevitch C (2010) M cells in the human heart. Circ Res 106(5):815–817. doi:10.1161/CIRCRESAHA.109.216226

    CAS  Article  PubMed  PubMed Central  Google Scholar 

  16. Opthof T, Coronel R, Wilms-Schopman FJG et al (2007) Dispersion of repolarization in canine ventricle and the electrocardiographic T wave: Tp-e interval does not reflect transmural dispersion. Heart Rhythm 4(3):341–348. doi:10.1016/j.hrthm.2006.11.022

    Article  PubMed  Google Scholar 

  17. Kors J a, van Eck Ritsema G, van Herpen HJ (2008) The meaning of the Tp-Te interval and its diagnostic value. J Electrocardiol 41(6):575–580. doi:10.1016/j.jelectrocard.2008.07.030

    Article  PubMed  Google Scholar 

  18. Antzelevitch C (2007) Role of spatial dispersion of repolarization in inherited and acquired sudden cardiac death syndromes. Am J Physiol Heart Circ Physiol 293(4):H2024-38. doi:10.1152/ajpheart.00355.2007

    Article  PubMed  Google Scholar 

  19. Bachmann TN, Skov MW, Rasmussen PV et al (2015) Electrocardiographic Tpeak-Tend interval and risk of cardiovascular morbidity and mortality: results from the Copenhagen ECG study. Heart Rhythm. doi:10.1016/j.hrthm.2015.12.027

    Google Scholar 

  20. Maury P, Sacher F, Gourraud JB et al (2015) Increased Tpeak-Tend interval is highly and independently related to arrhythmic events in Brugada syndrome. Hear Rhythm 12(12):2469–2476. doi:10.1016/j.hrthm.2015.07.029

    Article  Google Scholar 

  21. Sen Ö, Yilmaz S, Sen F et al (2016) T-peak to T-end interval predicts appropriate shocks in patients with heart failure undergoing implantable cardioverter defibrillator implantation for primary prophylaxis. Ann Noninvasive Electrocardiol. doi:10.1111/anec.12383

    PubMed  Google Scholar 

  22. Rosenthal TM, Stahls PF, Abi Samra FM et al (2015) T-peak to T-end interval for prediction of ventricular tachyarrhythmia and mortality in a primary prevention population with systolic cardiomyopathy. Heart Rhythm 12(8):1789–1797. doi:10.1016/j.hrthm.2015.04.035

    Article  PubMed  Google Scholar 

  23. Monserrat L, Elliott PM, Gimeno JR, Sharma S, Penas-Lado M, McKenna WJ (2003) Non-sustained ventricular tachycardia in hypertrophic cardiomyopathy: an independent marker of sudden death risk in young patients. J Am Coll Cardiol 42(5):873–879. http://www.ncbi.nlm.nih.gov/pubmed/12957435. Accessed 28 Mar 2017

  24. Frommeyer G, Dechering DG, Zumhagen S et al (2016) Long-term follow-up of subcutaneous ICD systems in patients with hypertrophic cardiomyopathy: a single-center experience. Clin Res Cardiol 105(1):89–93. doi:10.1007/s00392-015-0901-9

    Article  PubMed  Google Scholar 

  25. Schaeffer BN, Rybczynski M, Sheikhzadeh S et al (2015) Heart rate turbulence and deceleration capacity for risk prediction of serious arrhythmic events in Marfan syndrome. Clin Res Cardiol 104(12):1054–1063. doi:10.1007/s00392-015-0873-9

    Article  PubMed  Google Scholar 

  26. Bunz M, Lenski D, Wedegärtner S et al (2016) Heart-focused anxiety in patients with chronic heart failure before implantation of an implantable cardioverter defibrillator: baseline findings of the Anxiety-CHF Study. Clin Res Cardiol 105(3):216–224. doi:10.1007/s00392-015-0909-1

    CAS  Article  PubMed  Google Scholar 

  27. Schwab JO, Bonnemeier H, Kleemann T et al (2015) Reduction of inappropriate ICD therapies in patients with primary prevention of sudden cardiac death: DECREASE study. Clin Res Cardiol 104(12):1021–1032. doi:10.1007/s00392-015-0870-z

    Article  PubMed  Google Scholar 

  28. Chan RH, Maron BJ, Olivotto I et al (2014) Prognostic value of quantitative contrast-enhanced cardiovascular magnetic resonance for the evaluation of sudden death risk in patients with hypertrophic cardiomyopathy. Circulation 130(6):484–495. doi:10.1161/CIRCULATIONAHA.113.007094

    Article  PubMed  Google Scholar 

Download references

Author information

Affiliations

Authors

Corresponding author

Correspondence to Monica Patten.

Ethics declarations

Conflict of interest

The authors declare that they have no conflicts of interest.

Electronic supplementary material

Below is the link to the electronic supplementary material.

Supplementary material 1 (DOCX 21 KB)

Rights and permissions

Reprints and Permissions

About this article

Verify currency and authenticity via CrossMark

Cite this article

Dinshaw, L., Münch, J., Dickow, J. et al. The T-peak-to-T-end interval: a novel ECG marker for ventricular arrhythmia and appropriate ICD therapy in patients with hypertrophic cardiomyopathy. Clin Res Cardiol 107, 130–137 (2018). https://doi.org/10.1007/s00392-017-1164-4

Download citation

  • Received:

  • Accepted:

  • Published:

  • Issue Date:

  • DOI: https://doi.org/10.1007/s00392-017-1164-4

Keywords

  • Hypertrophic cardiomyopathy
  • Sudden cardiac death
  • Intracardiac cardioverter defibrillator
  • Ventricular arrhythmia