Skip to main content

Reduced proliferation capacity of lung cells in chronic obstructive pulmonary disease

Verminderte Proliferationskapazität von Lungenzellen bei chronisch-obstruktiver Lungenerkrankung

Abstract

Background and objectives

The prevalence of chronic obstructive pulmonary disease (COPD) and lung emphysema increases with age and both lung diseases are again risk factors for lung cancer. Since a reduced capacity of fibroblasts for proliferation is a good indicator of tissue aging, we studied the cell proliferation of lung fibroblasts from normal and tumor tissue of lung cancer patients depending on lung comorbidities.

Material and methods

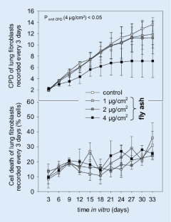
Fibroblasts were isolated from tumor and normal lung tissue of 40 lung cancer patients. Cumulative population doubling (CPD) was determined to assess the proliferation capacity, and the PCR technique was used to measure telomere lengths. Since many patients had previously been exposed to severe air pollution, we also studied the effect of air pollution particles on the fibroblast CPD in vitro.

Results

Fibroblasts from tumor and normal lung tissue had comparable CPDs; however, the CPD of fibroblasts from both tumor and normal lung tissue was significantly reduced in patients also suffering from COPD. This CPD reduction was highest in COPD patients who had already developed emphysema or were smokers. A significant correlation between CPD and telomere length was identified only for fibroblasts of non-COPD patients. Further studies also showed an adverse effect of air pollution particles on the CPD of lung fibroblasts.

Conclusion

Lung cells of COPD patients are characterized by accelerated senescence which must have been initiated prior to lung tumorigenesis and cannot depend on telomere shortening only. In addition to smoking as a known risk factor for COPD and lung cancer, air pollution particles could be another reason for the accelerated senescence of lung cells.

Zusammenfassung

Hintergrund und Zielsetzung

Die Prävalenz der chronisch-obstruktiven Lungenerkrankung (COPD) und des Lungenemphysems nimmt mit dem Alter zu, wobei beide Erkrankungen wiederum das Risiko an Lungenkrebs zu erkranken, steigern. Da eine reduzierte Proliferationskapazität von Fibroblasten einen guten Indikator für die Gewebealterung darstellt, haben wir die Zellproliferation von Lungenfibroblasten aus dem Normal- und Tumorgewebe von Patienten mit Lungenkrebs in Abhängigkeit von pulmonalen Begleiterkrankungen untersucht.

Material und Methoden

Fibroblasten wurden aus Tumor- und Normallungengewebe von 40 Patienten mit Lungenkrebs isoliert. Die kumulative Populationsverdopplung (CPD) wurde als Maß für die Proliferationskapazität ermittelt. Die Telomerlängen wurden per Polymerase-Kettenreaktion (PCR) bestimmt. Da viele Patienten hoher Luftverschmutzung ausgesetzt waren, untersuchten wir zudem den Einfluss von Partikeln aus Industrieanlagen auf die Fibroblasten-CPD in vitro.

Ergebnisse

Die CPD-Werte von Fibroblasten aus Tumor- und Normallungengewebe unterschieden sich nicht. Dagegen waren die CPD von Fibroblasten aus Tumor- sowie Normalgewebe von Patienten mit COPD stark verringert. Diese Verringerung war am stärksten bei den COPD-Patienten, die bereits ein Emphysem entwickelt hatten oder Raucher waren. Die CPD und Telomerlängen korrelierten jedoch nur bei den Fibroblasten von Patienten ohne COPD signifikant. Weitere Untersuchungen zeigten einen nachteiligen Effekt von Luftverschmutzungspartikeln auf die CPD von Lungenfibroblasten.

Schlussfolgerung

Die COPD ist eng mit der beschleunigten Alterung von Lungenzellen verbunden, wobei diese bereits vor der Tumorbildung eingesetzt haben muss und nicht ausschließlich von der Telomerverkürzung abhängig ist. Neben dem Rauchen als bekannter Risikofaktor für COPD und Lungenkrebs könnte auch die Luftverschmutzung Grund für die beschleunigte Zellalterung sein.

This is a preview of subscription content, access via your institution.

Fig. 1
Fig. 2
Fig. 3

References

  1. Aoki Y (2017) Evaluation of in vivo mutagenesis for assessing the health risk of air pollutants. Genes Environ 39:16

    Article  CAS  PubMed  PubMed Central  Google Scholar 

  2. Aoshiba K, Zhou F, Tsuji T et al (2012) DNA damage as a molecular link in the pathogenesis of COPD in smokers. Eur Respir J 39:1368–1376

    Article  CAS  PubMed  Google Scholar 

  3. Bartling B (2013) Cellular senescence in normal and premature lung aging. Z Gerontol Geriatr 46:613–622

    Article  CAS  PubMed  Google Scholar 

  4. Buchner N, Ale-Agha N, Jakob S et al (2013) Unhealthy diet and ultrafine carbon black particles induce senescence and disease associated phenotypic changes. Exp Gerontol 48:8–16

    Article  CAS  PubMed  Google Scholar 

  5. Cawthon RM (2009) Telomere length measurement by a novel monochrome multiplex quantitative PCR method. Nucleic Acids Res 37:e21

    Article  CAS  PubMed  PubMed Central  Google Scholar 

  6. Coppe JP, Desprez PY, Krtolica A et al (2010) The senescence-associated secretory phenotype: the dark side of tumor suppression. Annu Rev Pathol 5:99–118

    Article  CAS  PubMed  PubMed Central  Google Scholar 

  7. Diabate S, Günther R, Völkel K et al (2004) Gesundheitseffekte durch inhalierbare Feinststäube aus technischen Verbrennungsanlagen: In vitro Untersuchungen zur Wirkung feiner und ultrafeiner Partikel auf kultivierte Lungenzellen, p 52 (In, http://www.fachdokumente.lubw.baden-wuerttemberg.de/servlet/is/40181/?COMMAND=DisplayBericht&FIS=203&OBJECT=40181&MODE=METADATA)

    Google Scholar 

  8. Dimri GP, Lee X, Basile G et al (1995) A biomarker that identifies senescent human cells in culture and in aging skin in vivo. Proc Natl Acad Sci Usa 92:9363–9367

    Article  CAS  PubMed  Google Scholar 

  9. Erdogan B, Webb DJ (2017) Cancer-associated fibroblasts modulate growth factor signaling and extracellular matrix remodeling to regulate tumor metastasis. Biochem Soc Trans 45:229–236

    Article  CAS  PubMed  PubMed Central  Google Scholar 

  10. Hara H, Araya J, Takasaka N et al (2012) Involvement of creatine kinase B in cigarette smoke-induced bronchial epithelial cell senescence. Am J Respir Cell Mol Biol 46:306–312

    Article  CAS  PubMed  Google Scholar 

  11. Hayflick L, Moorhead PS (1961) The serial cultivation of human diploid cell strains. Exp Cell Res 25:585–621

    Article  CAS  Google Scholar 

  12. Holz O, Zuhlke I, Jaksztat E et al (2004) Lung fibroblasts from patients with emphysema show a reduced proliferation rate in culture. Eur Respir J 24:575–579

    Article  CAS  PubMed  Google Scholar 

  13. Ito K, Barnes PJ (2009) COPD as a disease of accelerated lung aging. Chest 135:173–180

    Article  PubMed  Google Scholar 

  14. Kulkarni T, O’reilly P, Antony VB et al (2016) Matrix remodeling in pulmonary fibrosis and emphysema. Am J Respir Cell Mol Biol 54:751–760

    Article  CAS  PubMed  PubMed Central  Google Scholar 

  15. Kuzet SE, Gaggioli C (2016) Fibroblast activation in cancer: when seed fertilizes soil. Cell Tissue Res 365:607–619

    Article  CAS  PubMed  Google Scholar 

  16. Mahale J, Smagurauskaite G, Brown K et al (2016) The role of stromal fibroblasts in lung carcinogenesis: a target for chemoprevention? Int J Cancer 138:30–44

    Article  CAS  PubMed  Google Scholar 

  17. Mouronte-Roibas C, Leiro-Fernandez V, Fernandez-Villar A et al (2016) COPD, emphysema and the onset of lung cancer. A systematic review. Cancer Lett 382:240–244

    Article  CAS  PubMed  Google Scholar 

  18. Müller KC, Welker L, Paasch K et al (2006) Lung fibroblasts from patients with emphysema show markers of senescence in vitro. Respir Res 7:32

    Article  CAS  PubMed  PubMed Central  Google Scholar 

  19. Noureddine H, Gary-Bobo G, Alifano M et al (2011) Pulmonary artery smooth muscle cell senescence is a pathogenic mechanism for pulmonary hypertension in chronic lung disease. Circ Res 109:543–553

    Article  CAS  PubMed  PubMed Central  Google Scholar 

  20. Nyunoya T, Monick MM, Klingelhutz AL et al (2009) Cigarette smoke induces cellular senescence via Werner’s syndrome protein down-regulation. Am J Respir Crit Care Med 179:279–287

    Article  CAS  PubMed  Google Scholar 

  21. Sanchez-Perez Y, Chirino YI, Osornio-Vargas AR et al (2009) DNA damage response of A549 cells treated with particulate matter (PM10) of urban air pollutants. Cancer Lett 278:192–200

    Article  CAS  PubMed  Google Scholar 

  22. Shay JW, Wright WE (2000) Hayflick, his limit, and cellular ageing. Nat Rev Mol Cell Biol 1:72–76

    Article  CAS  PubMed  Google Scholar 

  23. Toussaint O, Remacle J, Dierick JF et al (2002) From the Hayflick mosaic to the mosaics of ageing. Role of stress-induced premature senescence in human ageing. Int J Biochem Cell Biol 34:1415–1429

    Article  CAS  PubMed  Google Scholar 

  24. Tsuji T, Aoshiba K, Nagai A (2010) Alveolar cell senescence exacerbates pulmonary inflammation in patients with chronic obstructive pulmonary disease. Respiration 80:59–70

    Article  PubMed  Google Scholar 

  25. Yosef R, Pilpel N, Papismadov N et al (2017) p21 maintains senescent cell viability under persistent DNA damage response by restraining JNK and caspase signaling. Embo J 36:2280–2295

    Article  CAS  PubMed  PubMed Central  Google Scholar 

  26. Zhou F, Onizawa S, Nagai A et al (2011) Epithelial cell senescence impairs repair process and exacerbates inflammation after airway injury. Respir Res 12:78

    Article  PubMed  PubMed Central  Google Scholar 

Download references

Acknowledgements

The authors appreciate the technical assistance of S. Koitzsch and K. Szymala.

Author information

Affiliations

Authors

Corresponding author

Correspondence to Babett Bartling.

Ethics declarations

Conflict of interest

B. Bartling and H.-S. Hofmann declare that they have no competing interests.

The use of patient material was approved by the local ethics committee, and informed consent of the patients was obtained.

Rights and permissions

Reprints and Permissions

About this article

Verify currency and authenticity via CrossMark

Cite this article

Bartling, B., Hofmann, HS. Reduced proliferation capacity of lung cells in chronic obstructive pulmonary disease. Z Gerontol Geriat 52, 249–255 (2019). https://doi.org/10.1007/s00391-018-1377-9

Download citation

  • Received:

  • Revised:

  • Accepted:

  • Published:

  • Issue Date:

  • DOI: https://doi.org/10.1007/s00391-018-1377-9

Keywords

  • Cellular senescence
  • Fibroblasts
  • Cancer
  • Smoking
  • Air pollution

Schlüsselwörter

  • Zellalterung
  • Fibroblasten
  • Krebs
  • Rauchen
  • Luftverschmutzung