Skip to main content

Inflammatory cell ratios predict major septic complications following rectal cancer surgery

Abstract

Introduction

The inflammatory response is known to have an important role in tumourigenesis and the response to treatment. Previous studies have demonstrated that inflammatory cell ratios such as the neutrophil-to-lymphocyte ratio (NLR) can predict survival and recurrence following surgery for various cancers. The objective of this study was to demonstrate if pre-operative NLR has a role in predicting post-operative septic complications in patients undergoing rectal cancer surgery.

Methodology

Consecutive patients undergoing scheduled resection for rectal cancer in a tertiary centre from July 2007 to Dec 2015 were included. Data was gathered from a prospectively held database of rectal cancer. Normally distributed data were compared with paired t tests (mean ± standard error in the mean (SEM)), and proportions were compared with Fisher’s exact test. A p value of < 0.05 was considered statistically significant.

Results

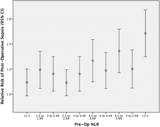
Three hundred fourteen patients were identified in this study. Sixty nine (22.0%) patients had a major septic complication following surgery for rectal cancer, which was associated with a poor survival outcome (p < 0.01) Both pre and post-operative NLR and PLR (platelet lymphocyte ratio) were associated with post-operative septic complications (both p < 0.01). A pre-operative NLR threshold level of 4 was chosen from ROC analysis, and this provided a relatively specific test to predict post-operative septic complications in these patients (specificity = 83.7%, negative predictive value (NPV) = 74.8%).

Discussion

In this study, the pre-operative NLR and PLR were both predictive of major post-operative septic complications. A pre-operative NLR of less than 4 was strongly negative predictor of post-operative complications in rectal cancer surgery. It can be regarded as a predictive and prognostic factor for these patients.

This is a preview of subscription content, access via your institution.

Fig. 1
Fig. 2
Fig. 3

References

  1. Siegel R, DeSantis C, Jemal A (2014) Colorectal cancer statistics, 2014. CA Cancer J Clin 64(2):104–117

    Article  PubMed  Google Scholar 

  2. Chen J, Deng Q, Pan Y, He B, Ying H, Sun H, Liu X, Wang S (2015) Prognostic value of neutrophil to lymphocyte ratio in breast cancer. FEBS Open Biol 5(1):502–507

    Article  CAS  Google Scholar 

  3. Colotta F, Allavena P, Sica A, Garlanda C, Mantovani A (2009) Cancer-related inflammation, the seventh hallmark of cancer: links to genetic instability. Carcinogenesis 30(7):1073–1081

    Article  PubMed  CAS  Google Scholar 

  4. Mantovani A, Allavena P, Sica A, Balkwill F (2008) Cancer-related inflammation. Nature 454(7203):436–444

    Article  PubMed  CAS  Google Scholar 

  5. Deng Q, He B, Liu X, Yue J. (2015) Prognostic value of pre-operative inflammatory response biomarkers in gastric cancer patients and the construction of a predictive model. Journal of

  6. Su P, Dong Y-w, Y-q S, He L (2016) Prognostic significance of neutrophil-to-lymphocyte ratio in rectal cancer: a meta-analysis. OncoTargets Ther 9:3127–3134

    Article  Google Scholar 

  7. Song Y, Yang Y, Gao P, Chen X, Yu D, Xu Y, Zhao J, Wang Z (2017) The preoperative neutrophil to lymphocyte ratio is a superior indicator of prognosis compared with other inflammatory biomarkers in resectable colorectal cancer. BMC Cancer 17(1):744

    Article  PubMed  PubMed Central  Google Scholar 

  8. Guo D, Han A, Jing W, Chen D, Jin F, Li M, Kong L, Yu J (2018) Preoperative to postoperative change in neutrophil-to-lymphocyte ratio predict survival in colorectal cancer patients. Future Oncol

  9. Yang J, Xu H, Guo X, Zhang J, Ye X, Yang Y, Ma X (2018) Pretreatment inflammatory indexes as prognostic predictors for survival in colorectal cancer patients receiving neoadjuvant chemoradiotherapy. Sci Rep 8(1):3044

    Article  PubMed  PubMed Central  CAS  Google Scholar 

  10. Dindo D, Demartines N, Clavien PA (2004) Classification of surgical complications: a new proposal with evaluation in a cohort of 6336 patients and results of a survey. Ann Surg 240(2):205–213

    Article  PubMed  PubMed Central  Google Scholar 

  11. Lång M, Niskanen M, Miettinen P, Alhava E, Takala J (2001) Outcome and resource utilization in gastroenterological surgery. Br J Surg 88(7):1006–1014

    Article  PubMed  Google Scholar 

  12. Walsh SR, Cook EJ, Goulder F, Justin TA, Keeling NJ (2005) Neutrophil-lymphocyte ratio as a prognostic factor in colorectal cancer. J Surg Oncol 91(3):181–184

    Article  PubMed  CAS  Google Scholar 

  13. Forget P, Dinant V, De Kock M (2015) Is the neutrophil-to-lymphocyte ratio more correlated than C-reactive protein with postoperative complications after major abdominal surgery? PeerJ 3:e713

    Article  PubMed  PubMed Central  CAS  Google Scholar 

  14. Cook EJ, Walsh SR, Farooq N, Alberts JC (2007) Post-operative neutrophil–lymphocyte ratio predicts complications following colorectal surgery. Int J

  15. Eberhardt JM, Kiran RP, Lavery IC (2009) The impact of anastomotic leak and intra-abdominal abscess on cancer-related outcomes after resection for colorectal cancer: a case control study. Dis Colon Rectum 52(3):380–386

    Article  PubMed  Google Scholar 

  16. Kressner U, Graf W, Mahteme H, Pahlman L, Glimelius B (2002) Septic complications and prognosis after surgery for rectal cancer. Dis Colon Rectum 45(3):316–321

    Article  PubMed  Google Scholar 

  17. Lai CC, You JF, Yeh CY, Chen JS, Tang R, Wang JY, Chin CC (2011) Low preoperative serum albumin in colon cancer: a risk factor for poor outcome. Int J Color Dis 26(4):473–481

    Article  Google Scholar 

  18. Frasson M, Flor-Lorente B, Rodriguez JL, Granero-Castro P, Hervas D, Alvarez Rico MA, Brao MJ, Sanchez Gonzalez JM, Garcia-Granero E, Group AS (2015) Risk factors for anastomotic leak after colon resection for cancer: multivariate analysis and nomogram from a multicentric, prospective, national study with 3193 patients. Ann Surg 262(2):321–330

    Article  PubMed  Google Scholar 

  19. Biagi JJ, Raphael MJ, Mackillop WJ, Kong W, King WD, Booth CM (2011) Association between time to initiation of adjuvant chemotherapy and survival in colorectal cancer: a systematic review and meta-analysis. JAMA 305(22):2335–2342

    Article  PubMed  CAS  Google Scholar 

Download references

Author information

Affiliations

Authors

Corresponding author

Correspondence to H. G. Jones.

Ethics declarations

Conflict of interest

The authors declare that they have no conflict of interest.

Additional information

Previous work:

This work has not been previously presented or published in any form.

Rights and permissions

Reprints and Permissions

About this article

Verify currency and authenticity via CrossMark

Cite this article

Jones, H.G., Qasem, E., Dilaver, N. et al. Inflammatory cell ratios predict major septic complications following rectal cancer surgery. Int J Colorectal Dis 33, 857–862 (2018). https://doi.org/10.1007/s00384-018-3061-3

Download citation

  • Accepted:

  • Published:

  • Issue Date:

  • DOI: https://doi.org/10.1007/s00384-018-3061-3

Keywords

  • Cell ratios
  • Colorectal cancer
  • Surgery