Skip to main content

Visceral fat area, not body mass index, predicts postoperative 30-day morbidity in patients undergoing colon resection for cancer

Abstract

Purpose

Colectomy for cancer in obese patients is technically challenging and may be associated with worse outcomes. Whether visceral obesity, as measured on computed tomography, is a better predictor of complication than body mass index (BMI) or determines long-term oncologic outcomes has not been well characterized. This study examines the association between derived anthropometrics and postoperative complication and long-term oncologic outcomes.

Methods

Retrospective review of patients undergoing elective colectomy for cancer at a single tertiary-care center from 2010 to 2016. Adipose tissue distribution measurements, including visceral fat area (VFA), were determined from preoperative imaging. The primary outcome was 30-day postoperative complication; secondary outcomes included overall and disease-free survival. Multivariable logistic regression was performed to determine association between obesity metrics and outcome.

Results

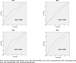
Two hundred and sixty-four patients underwent 266 primary resections of colon cancer. Twenty-eight patients (10.5%) developed major morbidity (Clavien-Dindo grade ≥ III). VFA but not BMI was significantly associated with morbidity in multivariate analysis (p = 0.004, odds ratio 1.99, 95% confidence interval 1.25–3.19). No other imaging-derived anthropometric was associated with increased morbidity. In receiver operating characteristic analysis, VFA was predictive of major morbidity (area under curve 0.660). A cutoff value of VFA ≥ 191 cm2 was associated with 50% sensitivity and 76% specificity for predicting major morbidity. Patients with VFA ≥ 191cm2 had 19.4% risk of morbidity, whereas those with < 191 cm2 had 7.2% risk (relative risk ratio 2.69, unadjusted p = 0.004). Neither VFA nor BMI was associated with overall or disease-free survival.

Conclusion

VFA but not BMI predicts morbidity following elective surgery for colon cancer.

This is a preview of subscription content, access via your institution.

Fig. 1
Fig. 2
Fig. 3
Fig. 4
Fig. 5
Fig. 6

References

  1. U.S. Cancer Statistics Working Group, United States cancer statistics: 1999–2013 cancer incidence and mortality data report. US Department of Health and Human Services, CDC; National Cancer Institute, 2014. [Online]. Available: http://www.cdc.gov/uscs. [Accessed 17 January 2017]

  2. Siegel RL, Miller KD, Jemal A (2016) Cancer statistics, 2016. CA Cancer J Clin 66(1):7–30

    Article  PubMed  Google Scholar 

  3. Hendren S, Birkmeyer JD, Yin H, Banerjee M, Sonnenday C, Morris AM (2010) Surgical complications are associated with omission of chemotherapy for stage III colorectal cancer. Dis Colon Rectum 53(12):1587–1593

    Article  PubMed  Google Scholar 

  4. Merkow RP, Bentrem DJ, Mulcahy MF, Chung JW, Abbott DE, Kmiecik TE, Stewart AK, Winchester DP, Ko CY, Bilimoria KY (2013) Effect of postoperative complications on adjuvant chemotherapy use for stage III colon cancer. Ann Surg 258(6):847–853

    Article  PubMed  Google Scholar 

  5. Eberhardt JM, Kiran RP, Lavery IC (2009) The impact of anastomotic leak and intra-abdominal abscess on cancer-related outcomes after resection for colorectal cancer: a case control study. Dis Colon Rectum 52(3):380–386

    Article  PubMed  Google Scholar 

  6. Doyle SL, Lysaght J, Reynolds JV (2010) Obesity and post-operative complications in patients undergoing non-bariatric surgery. Obes Rev 11(12):875–886

    Article  PubMed  CAS  Google Scholar 

  7. Benns M, Woodall C, Scoggins C, McMasters K, Martin R (2009) The impact of obesity on outcomes following pancreatectomy for malignancy. Ann Surg Oncol 16(9):2565–2569

  8. Bickenbach KA, Denton B, Gonen M, Brennan MF, Coit DG, Strong VE (2013) Impact of obesity on perioperative complications and long-term survival of patients with gastric cancer. Ann Surg Oncol 20(3):780–787

    Article  PubMed  Google Scholar 

  9. Aytac E, Lavery IC, Kalady MF, Kiran RP (2013) Impact of obesity on operation performed, complications, and long-term outcomes in terms of restoration of intestinal continuity for patients with mid and low rectal cancer. Dis Colon Rectum 56(6):689–697

    Article  PubMed  Google Scholar 

  10. Gendall KA, Raniga S, Kennedy R, Frizelle FA (2007) The impact of obesity on outcome after major colorectal surgery. Dis Colon Rectum 50(12):2223–2227

    Article  PubMed  Google Scholar 

  11. Makino T, Shukla PJ, Rubino F, Milsom JW (2012) The impact of obesity on perioperative outcomes after laparoscopic colorectal resection. Ann Surg 255(2):228–236

    Article  PubMed  Google Scholar 

  12. Mullen JT, Moorman DW, Davenport DL (2009) The obesity paradox: body mass index and outcomes in patients undergoing nonbariatric general surgery. Ann Surg 250(1):166–172

    Article  PubMed  Google Scholar 

  13. Zogg CK, Mungo B, Lidor AO, Stem M, Rios Diaz AJ, Haider AH, Molena D (2015) Influence of body mass index on outcomes after major resection for cancer. Surgery 158(2):472–485

    Article  PubMed  Google Scholar 

  14. Smith RL 2nd, Herbert MA, Dewey TM, Brinkman WT, Prince SL, Ryan WH, Mack MJ (2012) Does body mass index affect outcomes for aortic valve replacement surgery for aortic stenosis? Ann Thorac Surg 93(3):742–746

    Article  PubMed  Google Scholar 

  15. Bokey L, Chapuis PH, Dent OF (2014) Impact of obesity on complications after resection for rectal cancer. Color Dis 16(11):896–906

    Article  CAS  Google Scholar 

  16. Gruberg L, Weissman NJ, Waksman R, Fuchs S, Deible R, Pinnow EE, Ahmed LM, Kent KM, Pichard AD, Suddath WO, Satler LF, Jr LJ (2002) The impact of obesity on the short-term and long-term outcomes after percutaneous coronary intervention: the obesity paradox? J Am Coll Cardiol 39(4):578–584

    Article  PubMed  Google Scholar 

  17. McAuley PA, Artero EG, Sui X, Lee DC, Church TS, Lavie CJ, Myers JN, España-Romero V, Blair SN (2012) The obesity paradox, cardiorespiratory fitness, and coronary heart disease. Mayo Clin Proc 87(5):443–451

    Article  PubMed  PubMed Central  Google Scholar 

  18. Yusuf S, Hawken S, Ounpuu S, Dans T, Avezum A, Lanas F, McQueen M, Budaj A, Pais P, Varigos J, Lisheng L, INTERHEART Study Investigators (2004) Effect of potentially modifiable risk factors associated with myocardial infarction in 52 countries (the INTERHEART study): case-control study. Lancet 364(9438):937–952

    Article  PubMed  PubMed Central  Google Scholar 

  19. Kartheuser AH, Leonard DF, Penninckx F, Paterson HM, Brandt D, Remue C, Bugli C, Dozois E, Mortensen N, Ris F, Tiret E, Waist Circumference Study Group (2013) Waist circumference and waist/hip ratio are better predictive risk factors for mortality and morbidity after colorectal surgery than body mass index and body surface area. Ann Surg 258(5):722–730

    Article  PubMed  Google Scholar 

  20. Graffy PM, Pickhardt PJ (2016) Quantification of hepatic and visceral fat by CT and MR imaging: relevance to the obesity epidemic, metabolic syndrome and NAFLD. Br J Radiol 89(1062):20151024

    Article  PubMed  PubMed Central  Google Scholar 

  21. Shuster A, Patlas M, Pinthus JH, Mourtzakis M (2012) The clinical importance of visceral adiposity: a critical review of methods for visceral adipose tissue analysis. Br J Radiol 85(1009):1–10

    Article  PubMed  PubMed Central  CAS  Google Scholar 

  22. Ding Z, Wu XR, Remer EM, Lian L, Stocchi L, Li Y, McCullough A, Remzi FH, Shen B (2016) Association between high visceral fat area and postoperative complications in patients with Crohn’s disease following primary surgery. Color Dis 18(2):163–172

    Article  CAS  Google Scholar 

  23. Park BK, Park JW, Ryoo SB, Jeong SY, Park KJ, Park JG (2015) Effect of visceral obesity on surgical outcomes of patients undergoing laparoscopic colorectal surgery. World J Surg 39(9):2343–2353

    Article  PubMed  Google Scholar 

  24. Tappouni R, Mathew P, Connelly TM, Luke F, Messaris E (2015) Measurement of visceral fat on preoperative computed tomography predicts complications after sigmoid colectomy for diverticular disease. Am J Surg 210(2):285–290

    Article  PubMed  Google Scholar 

  25. Tsujinaka S, Konishi F, Kawamura YJ, Saito M, Tajima N, Tanaka O, Lefor AT (2008) Visceral obesity predicts surgical outcomes after laparoscopic colectomy for sigmoid colon cancer. Dis Colon Rectum 51(12):1757–1765

    Article  PubMed  Google Scholar 

  26. Malietzis G, Currie AC, Athanasiou T, Johns N, Anyamene N, Glynne-Jones R, Kennedy RH, Fearon KC, Jenkins JT (2016) Influence of body composition profile on outcomes following colorectal cancer surgery. Br J Surg 103(5):572–580

    Article  PubMed  CAS  Google Scholar 

  27. Yu H, Joh YG, Son GM, Kim HS, Jo HJ, Kim HY (2016) Distribution and impact of the visceral fat area in patients with colorectal cancer. Ann Coloproctol 32(1):20–26

    Article  PubMed  PubMed Central  Google Scholar 

  28. Shiomi A, Kinugasa Y, Yamaguchi T, Kagawa H, Yamakawa Y (2016) Robot-assisted versus laparoscopic surgery for lower rectal cancer: the impact of visceral obesity on surgical outcomes. Int J Color Dis 31(10):1701–1710

  29. Doyle SL, Bennett AM, Donohoe CL, Mongan AM, Howard JM, Lithander FE, Pidgeon GP, Reynolds JV, Lysaght J (2013) Establishing computed tomography-defined visceral fat area thresholds for use in obesity-related cancer research. Nutr Res 33(3):171–179

    Article  PubMed  CAS  Google Scholar 

  30. Pickhardt PJ, Jee Y, O'Connor SD, del Rio AM (2012) Visceral adiposity and hepatic steatosis at abdominal CT: association with the metabolic syndrome. AJR Am J Roentgenol 198(5):1100–1107

    Article  PubMed  Google Scholar 

  31. Hiuge-Shimizu A, Kishida K, Funahashi T, Ishizaka Y, Oka R, Okada M, Suzuki S, Takaya N, Nakagawa T, Fukui T, Fukuda H, Watanabe N, Yoshizumi T, Nakamura T, Matsuzawa Y, Yamakado M, Shimomura I (2012) Absolute value of visceral fat area measured on computed tomography scans and obesity-related cardiovascular risk factors in large-scale Japanese general population (the VACATION-J study). Ann Med 44(1):82–92

    Article  PubMed  Google Scholar 

  32. Zhao B, Colville J, Kalaigian J, Curran S, Jiang L, Kijewski P, Schwartz LH (2006) Automated quantification of body fat distribution on volumetric computed tomography. J Comput Assist Tomogr 30(5):777–783

    Article  PubMed  Google Scholar 

  33. Kvist H, Sjöström L, Tylén U (1986) Adipose tissue volume determinations in women by computed tomography: technical considerations. Int J Obes 10(1):53–67

    PubMed  CAS  Google Scholar 

  34. Aubrey J, Esfandiari N, Baracos VE, Buteau FA, Frenette J, Putman CT, Mazurak VC (2014) Measurement of skeletal muscle radiation attenuation and basis of its biological variation. Acta Physiol (Oxf) 210(3):489–497

    Article  CAS  Google Scholar 

  35. Dindo D, Demartines N, Clavien PA (2004) Classification of surgical complications: a new proposal with evaluation in a cohort of 6336 patients and results of a survey. Ann Surg 240(2):205–213

    Article  PubMed  PubMed Central  Google Scholar 

  36. Youden W (1950) Index for rating diagnostic tests. Cancer 3(1):32–35

    Article  PubMed  CAS  PubMed Central  Google Scholar 

  37. Schisterman EF, Perkins NJ, Liu A, Bondell H (2005) Optimal cut-point and its corresponding Youden index to discriminate individuals using pooled blood samples. Epidemiology 16(1):73–81

    Article  PubMed  Google Scholar 

  38. Yamamoto N, Fujii S, Sato T, Oshima T, Rino Y, Kunisaki C, Masuda M, Imada T (2012) Impact of body mass index and visceral adiposity on outcomes in colorectal cancer. Asia Pac J Clin Oncol 8(4):337–345

    Article  PubMed  Google Scholar 

  39. Nieman KM, Romero IL, Van Houten B, Lengyel E (2013) Adipose tissue and adipocytes support tumorigenesis and metastasis. Biochim Biophys Acta 1831(10):1533–1541

    Article  PubMed  PubMed Central  CAS  Google Scholar 

  40. Qi G, Tang BO, Zhou L, Jikihara H, Kiwata A, Sakamoto Y, Tang F, Xiao S, Wang Z, Wu Q, Lu H, Wu Z, Zeng S, Shimamoto F (2015) Effects of high-fat diet on 1,2-dimethylhydrazine-induced aberrant crypt foci and colorectal tumours in rats. Biomed Rep 3(3):289–294

    Article  PubMed  PubMed Central  CAS  Google Scholar 

  41. Paeschke A, Erben U, Kredel LI, Kühl AA, Siegmund B (2017) Role of visceral fat in colonic inflammation: from Crohn’s disease to diverticulitis. Curr Opin Gastroenterol 33(1):53–58

    Article  PubMed  CAS  Google Scholar 

Download references

Acknowledgments

The authors would like to acknowledge Steven A. Lee-Kong, MD, and Daniel L. Feingold, MD, for their contributions to this manuscript.

Author information

Affiliations

Authors

Corresponding author

Correspondence to Benjamin A. Kuritzkes.

Ethics declarations

This study was approved by the Columbia University Medical Center Institutional Review Board with waiver of informed consent.

Conflict of interest

This manuscript has been reviewed by all authors, who declare no conflict of interest.

Disclaimer

None.

Additional information

This manuscript was presented as a scientific poster at the Annual Scientific Meeting of the American Society of Colon & Rectal Surgeons, June 10–14, 2017, Seattle, Washington.

What does this paper add to the literature?

This manuscript examines the relationship between computed tomography-derived measures of body fat distribution and morbidity and long-term oncologic outcomes after colectomy for cancer. This study seeks to overcome some of the drawbacks of prior studies of this subject. In our series, on multivariate analysis visceral fat area (VFA), but not BMI predicted morbidity following elective surgery for colon cancer. Neither VFA nor BMI was associated with overall or disease-free survival.

Rights and permissions

Reprints and Permissions

About this article

Verify currency and authenticity via CrossMark

Cite this article

Kuritzkes, B.A., Pappou, E.P., Kiran, R.P. et al. Visceral fat area, not body mass index, predicts postoperative 30-day morbidity in patients undergoing colon resection for cancer. Int J Colorectal Dis 33, 1019–1028 (2018). https://doi.org/10.1007/s00384-018-3038-2

Download citation

  • Accepted:

  • Published:

  • Issue Date:

  • DOI: https://doi.org/10.1007/s00384-018-3038-2

Keywords

  • Colon cancer
  • Visceral obesity
  • Abdominal obesity
  • Visceral fat area
  • Clinical outcomes