Abstract
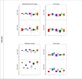
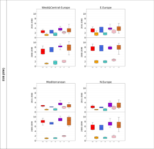
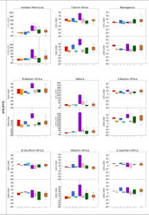
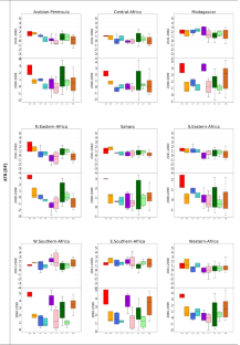
The CORDEX-CORE initiative was developed with the aim of producing homogeneous regional climate model (RCM) projections over domains world wide. In its first phase, two RCMs were run at 0.22° resolution downscaling 3 global climate models (GCMs) from the CMIP5 program for 9 CORDEX domains and two climate scenarios, the RCP2.6 and RCP8.5. The CORDEX-CORE simulations along with the CMIP5 GCM ensemble and the most recently produced CMIP6 GCM ensemble are analyzed, with focus on several temperature, heat, wet and dry hazard indicators for present day and mid-century and far future time slices. The CORDEX-CORE ensemble shows a better performance than the driving GCMs for several hazard indices due to its higher spatial resolution. For the far future time slice the 3 ensembles project an increase in all temperature and heat indices analyzed under the RCP8.5 scenario. The largest increases are always shown by the CMIP6 ensemble, except for Tx > 35 °C, for which the CORDEX-CORE projects higher warming. Extreme wet and flood prone maxima are projected to increase by the RCM ensemble over the la Plata basin in South America, the Congo basin in Africa, east North America, north east Europe, India and Indochina, regions where a better performance is obtained, whereas the GCM ensembles show small or negligible signals. Compound hazard hotspots based on heat, drought and wet indicators are detected in each continent worldwide in region like Central America, the Amazon, the Mediterranean, South Africa and Australia, where a linear relation is shown between the heatwave and drought change signal, and region like Arabian peninsula, the central and south east Africa region (SEAF), the north west America (NWN), south east Asia, India, China and central and northern European regions (WCE, NEU) where the same linear relation is found for extreme precipitation and HW increases. Although still limited, the CORDEX-CORE initiative was able to produce high resolution climate projections with almost global coverage and can provide an important resource for impact assessment and climate service activities.





































Similar content being viewed by others
References
Alfieri L, Burek P, Feyen L, Forzieri G (2015a) Global warming increases the frequency of river floods in Europe. Hydrol Earth Syst Sci 19:2247–2260
Alfieri L, Burek P, Feyen L, Forzieri G (2015b) Global warming increases the frequency of river floods in Europe. Hydrol Earth Syst Sci 19(5):2247–2260. https://doi.org/10.5194/hess-19-2247-2015
Alfieri L, Bisselink B, Dottori F, Naumann G, de Roo A, Salamon P et al (2017) Global projections of river flood risk in a warmer world. Earth’s Futur 5:171–182. https://doi.org/10.1002/2016EF000485
Arnell NW, Brown S, Gosling SN, Gottschalk P, Hinkel J, Huntingford C et al (2016) The impacts of climate change across the globe: a multi-sectoral assessment. Clim Change. https://doi.org/10.1007/s10584-014-1281-2
Arnell NW, Gosling SN (2013) The impacts of climate change on river flow regimes at the global scale. J Hydrol 486:351–364. https://doi.org/10.1016/j.jhydrol.2013.02.010
Arnell NW, Gosling SN (2016) The impacts of climate change on river flood risk at the global scale. Clim Change 134:387–401. https://doi.org/10.1007/s10584-014-1084-5
Arnell NW, Lloyd-Hughes B (2014) The global-scale impacts of climate change on water resources and flooding under new climate and socio-economic scenarios. Clim Change 122:127–140. https://doi.org/10.1007/s10584-013-0948-4
Batibeniz F, Ashfaq M, Diffenbaugh NS, Key K, Evans KJ, Turuncoglu UU, Önol B (2020) Doubling of US population exposure to climate extremes by 2050. Earth’s Future. https://doi.org/10.1029/2019EF001421
Bojinski S, Verstraete M, Peterson TC, Richter C, Simmons A, Zemp M (2014) The concept of essential climate variables in support of climate research, applications, and policy. Bull Am Meteorol Soc 95:1431–1443. https://doi.org/10.1175/BAMS-D-13-00047.1
Carrão H, Naumann G, Barbosa P (2018) Global projections of drought hazard in a warming climate: a prime for disaster risk management. Clim Dyn 50:2137–2155. https://doi.org/10.1007/s00382-017-3740-8
Coppola E, Nogherotto R, Ciarlò JM, Giorgi F, van Meijgaard E, Kadygrov N, Iles C, Corre L, Sandstad M, Somot S, Nabat P, Vautard R, Levavasseur G, Schwingshackl G, Sillmann J, Kjellström E, Nikulin G, Aalbers E, Lenderink G, Christensen OB, Boberg F, Sørland SL, Demory M-E, Bülow K, Teichmann C, Warrach-Sagi K, Wulfmeyer V (2020) Assessment of the European climate projections as simulated by the large EURO-CORDEX regional climate model ensemble. J Geophys Res. https://doi.org/10.1029/2019JD032356
Dai A (2013) Increasing drought under global warming in observations and models. Nat Clim Chang 3:52–58. https://doi.org/10.1038/nclimate1633
Deryng D, Conway D, Ramankutty N, Price J, Warren R (2014) Global crop yield response to extreme heat stress under multiple climate change futures. Environ Res Lett 9:034011. https://doi.org/10.1088/1748-9326/9/3/034011
Diffenbaugh NS, Ashfaq M (2010) Intensification of hot extremes in the United States. Geophys Res Lett 37:L15701. https://doi.org/10.1029/2010GL043888
Eyring V, Bony S, Meehl GA, Senior CA, Stevens B, Stouffer RJ, Taylor KE (2016) Overview of the Coupled Model Intercomparison Project Phase 6 (CMIP6) experimental design and organization. Geosci Model Dev 9:1937–1958. https://doi.org/10.5194/gmd-9-1937-2016
Fisher AC, Michael Hanemann W, Roberts MJ, Schlenker W (2012) The economic impacts of climate change: evidence from agricultural output and random fluctuations in weather: comment. Am Econ Rev 102(7):3749–3760
Forzieri G, Feyen L, Russo S, Vousdoukas M, Alfieri L, Outten S, Migliavacca M, Bianchi A, Rojas R, Cid A (2016a) Multi-hazard assessment in Europe under climate change. Clim Change 137:105–119. https://doi.org/10.1007/s10584-016-1661-x
Forzieri G, Bianchi A, Silva FBE, Marin Herrera MA, Leblois A, Lavalle C et al (2018) Escalating impacts of climate extremes on critical infrastructures in Europe. Glob. Environ. Chang. 48:97–107. https://doi.org/10.1016/j.gloenvcha.2017.11.007
Forzieri G, Cescatti A, Silva FB, Feyen L (2017) Increasing risk over time of weather-related hazards to the European population: a data-driven prognostic study. Lancet Planet. Heal. 1:e200–e208. https://doi.org/10.1016/S2542-5196(17)30082-7
Forzieri G, Feyen L, Rojas R, Flörke M, Wimmer F, Bianchi A (2014) Ensemble projections of future streamflow droughts in Europe. Hydrol Earth Syst Sci 18:85–108. https://doi.org/10.5194/hess-18-85-2014
Forzieri G, Feyen L, Russo S, Vousdoukas M, Alfieri L, Outten S et al (2016b) Multi-hazard assessment in Europe under climate change. Clim Change 137:105–119. https://doi.org/10.1007/s10584-016-1661-x
Forster PM, Maycock AC, McKenna CM et al (2019) Latest climate models confirm need for urgent mitigation. Nat Clim Chang. https://doi.org/10.1038/s41558-019-0660-0
Giorgi F, Coppola E, Raffaele F (2014) A consistent picture of the hydroclimatic response to global warming from multiple indices: models and observations. J Geophys Res 119:11695–11708
Giorgi F, Jones C, Asrar G (2009) Addressing climate information needs at the regional level: the CORDEX framework. WMO Bull 58:175–183
Giorgi F, Im E-S, Coppola E, Diffenbaugh NS, Gao XJ, Mariotti L, Shi Y (2011) Higher hydroclimatic intensity with global warming. J Clim 24:5309–5324
Giorgi F, Raffaele F, Coppola E (2019) The response of precipitation characteristics to global warming from climate projections. Earth Syst Dynam 10:73–89. https://doi.org/10.5194/esd-10-73-2019
Giorgi F, Coppola E, Raffaele F (2018) Threatening levels of cumulative stress due to hydroclimatic extremes in the 21st century. NPJ Clim Atmos Sci 1(1):18. https://doi.org/10.1038/s41612-018-0028-6
Gudmundsson L, Seneviratne SI (2016) Anthropogenic climate change affects meteorological drought risk in Europe. Environ Res Lett 11:044005. https://doi.org/10.1088/1748-9326/11/4/044005
Gutowski JW, Giorgi F, Timbal B, Frigon A, Jacob D, Kang HS, Raghavan K, Lee B, Lennard C, Nikulin G, O’Rourke E, Rixen M, Solman S, Stephenson T, Tangang F (2016) WCRP COordinated Regional Downscaling EXperiment (CORDEX): a diagnostic MIP for CMIP6. Geosci Model Dev 9(11):4087–4095. https://doi.org/10.5194/gmd-9-4087-201
Haylock MR, Hofstra N, Klein Tank AMG, Klok EJ, Jones PD, New M (2008) A European daily high-resolution gridded data set of surface temperature and precipitation for 1950–2006. J. Geophys. Res. 113:D20119. https://doi.org/10.1029/2008JD010201
Im E-S, Nguyen-Xuan T, Qiu L et al (2020) Emergence of robust anthropogenic increase of heat stress-related variables projected from CORDEX-CORE climate simulations. Clim Dyn. https://doi.org/10.1007/s00382-020-05398-w
Im E-S, Pal J, Eltahir E (2017) Deadly heat waves projected in the densely populated agricultural regions of South Asia. Sci Adv 3:e1603322. https://doi.org/10.1126/sciadv.1603322
Iturbide M, Gutiérrez JM, Alves L, Bedia J, Cerezo-Mota R, Di Luca A, Faria SH, Gorodetskaya I, Hauser M, Herrera S, Hennessy KJ, Jones R, Krakovska S, Manzanas R, Martínez-Castro D, Narisma GT, Pinto I, Seneviratne SI, van den Hurk B, Vera CS (2020) An update of IPCC physical climate reference regions for subcontinental analysis of climate model data: Definition and aggregated datasets. Earth Syst Sci Data. https://doi.org/10.5194/essd-12-2959-2020
Jacob D, Petersen J, Eggert B et al (2014) EURO-CORDEX: new high-resolution climate change projections for European impact research. Reg Environ Change 14:563. https://doi.org/10.1007/s10113-013-0499-2
Jenkins K, Warren R (2015) Quantifying the impact of climate change on drought regimes using the Standardised Precipitation Index. Theor Appl Climatol 120:41–54. https://doi.org/10.1007/s00704-014-1143-x
Jiang F, Li X, Wei B et al (2009) Observed trends of heating and cooling degree-days in Xinjiang Province, China. Theor Appl Climatol 97:349–360. https://doi.org/10.1007/s00704-008-0078-5
Kao S-C, Sale MJ, Ashfaq M, Uría Martínez R, Kaiser D, Wei Y, Diffenbaugh NS (2015) Projecting changes in annual hydropower generation using regional runoff data: an assessment of the United States federal hydropower plants. Energy 80:239–250. https://doi.org/10.1016/j.energy.2014.11.066
Lee K, Baek H, Cho C (2014) The estimation of base temperature for heating and cooling degree-days for South Korea. J Appl Meteor Climatol 53:300–309. https://doi.org/10.1175/JAMC-D-13-0220.1
Liu W, Sun F, Ho Lim W, Zhang J, Wang H, Shiogama H et al (2018) Global drought and severe drought-affected populations in 1.5 and 2°C warmer worlds. Earth Syst Dyn 9:267–283. https://doi.org/10.5194/esd-9-267-2018
Livneh B, Rosenberg EA, Lin C, Nijssen B, Mishra V, Andreadis KM, Maurer EP, Lettenmaier DP (2013) A long-term hydrologically based dataset of land surface fluxes and states for the conterminous United States: update and extensions. J Clim 26:9384–9392. https://doi.org/10.1175/JCLI-D-12-00508.1
Mora C, Dousset B, Caldwell IR, Powell FE, Geronimo RC, Bielecki CR et al (2017) Global risk of deadly heat. Nat Clim Chang 7:501–506. https://doi.org/10.1038/nclimate3322
Mora C, Spirandelli D, Franklin EC, Lynham J, Kantar MB, Miles W et al (2018) Broad threat to humanity from cumulative climate hazards intensified by greenhouse gas emissions. Nat Clim Chang. https://doi.org/10.1038/s41558-018-0315-6
Naz BS, Kao SC, Ashfaq M et al (2018) Effects of climate change on streamflow extremes and implications for reservoir inflow in the United States. J Hydrol 556:359–370. https://doi.org/10.1016/j.jhydrol.2017.11.027
Petitti DB, Hondula DM, Yang S, Harlan SL, Chowell G (2016) Multiple trigger points for quantifying heat-health impacts: new evidence from a hot climate. Environ Health Perspect 124:176–183. https://doi.org/10.1289/ehp.1409119
Rajeevan M, Bhate J, Kale JD, Lal B (2006) High resolution daily gridded rainfall data for the Indian region: analysis of break and active monsoon spells. Curr Sci 91(3):296–306
Rastogi D, Lehner F, Ashfaq M (2020) Revisiting recent US heatwaves in a warmer and more humid climate. Geophys Res Lett 47:e2019GL086736. https://doi.org/10.1029/2019GL086736
Rastogi D, Holladay JS, Evans KJ, Preston BL, Ashfaq M (2019) Shift in seasonal climate patterns likely to impact residential energy consumption in the United States. Environ Res Lett 14:074006
Remedio AR, Teichmann C, Buntemeyer L, Sieck K, Weber T, Rechid D, Hoffmann P, Nam C, Kotova L, Jacob D (2019) Evaluation of new CORDEX simulations using an updated Köppen-Trewartha climate classification. Atmosphere 10(11):726. https://doi.org/10.3390/atmos10110726
Ruosteenoja K, Räisänen J, Venäläinen A, Kämäräinen M (2016) Projections for the duration and degree days of the thermal growing season in Europe derived from CMIP5 model output. Int J Climatol 36:3039–3055. https://doi.org/10.1002/joc.4535
Russo S, Dosio A, Graversen RG, Sillmann J, Carrao H, Dunbar MB et al (2014) Magnitude of extreme heat waves in present climate and their projection in a warming world. J Geophys Res Atmos 119:12500–12512. https://doi.org/10.1002/2014JD02209
Russo S, Sillmann J, Sippel S, Barcikowska MJ, Ghisetti C, Smid M et al (2019) Half a degree and rapid socioeconomic development matter for heatwave risk. Nat Commun 10:136. https://doi.org/10.1038/s41467-018-08070-4
Russo S, Sillmann J, Sterl A (2017) Humid heat waves at different warming levels. Sci Rep. https://doi.org/10.1038/s41598-017-07536-7
Schwingshackl C, Sillmann J, Sandstad M, Aunan K (2021) Heat stress indicators in CMIP6: estimating future trends and exceedances of critical physiological thresholds. Earth’s Future (Accepted)
Spinoni J, Naumann G, Carrao H, Barbosa P, Vogt J (2014) World drought frequency, duration, and severity for 1951–2010. Int J Climatol 34:2792–2804. https://doi.org/10.1002/joc.3875
Spinoni J, Vogt J, Barbosa P (2015) European degree-day climatologies and trends for the period 1951–2011. Int J Climatol 35:25–36. https://doi.org/10.1002/joc.3959
Spinoni J, Vogt JV, Barbosa P, Dosio A, McCormick N, Bigano A et al (2018) Changes of heating and cooling degree-days in Europe from 1981 to 2100. Int J Climatol 38:e191–e208. https://doi.org/10.1002/joc.5362
Spinoni J, Barbosa P, Bucchignani E, Cassano J, Cavazos T, Christensen JH, Christensen OB, Coppola E, Evans J, Geyer B, Giorgi F, Hadjinicolaou P, Jacob D, Katzfey J, Koenigk T, Laprise R, Lennard CJ, Kurnaz ML, Li D, Llopart M, McCormick N, Naumann G, Nikulin G, Ozturk T, Panitz H-J, Porfirio da Rocha R, Rockel B, Solman SA, Syktus J, Tangang F, Teichmann C, Vautard R, Vogt JV, Winger K, Zittis G, Dosio A (2020) Future global meteorological drought hotspots: a study based on CORDEX data. J Clim. https://doi.org/10.1175/JCLI-D-19-0084.1
Taylor KE, Stouffer RJ, Meehl GA (2012) An overview of CMIP5 and the experiment design. Bull Am Meteorol Soc 93:485–498. https://doi.org/10.1175/BAMS-D-11-00094.1
Teichmann C, Jacob D, Reca Remedio A, Buelow K, Remke T, Kriegsmann A, Lierhammer L, Rechid D, Buntemeyer KL, Weber T, Hoffmann P, Langendijk G, Coppola E, Giorgi F, Raffaele F, Giuliani G, Xuejie G, Ciarlo J, Rae Sines T, Torres A, Das S, Di Sante F, Pichelli E, Glazer R, Ashfaq M, Bukovsky M, Im E-S (2020) Assessing mean climate change signals in the global CORDEX-CORE ensemble. Clim Dyn. 10:15
Touma D, Ashfaq M, Nayak MA, Kao SC, Diffenbaugh NS (2015) A multi-model and multi-index evaluation of drought characteristics in the 21st century. J. Hydrol. 526:196–207
Van Leeuwen C, Schultz HR, de Cortazar-Atauri IG, Duchêne E, Ollat N, Pieri P, Bois B, Goutouly J-P, Quénol H, Touzard J-M, Malheiro AC, Bavaresco L, Delrot S (2013) Delrot S (2013) Climate change and viticultural suitability. Proc Natl Acad Sci 110(33):E3051–E3052. https://doi.org/10.1073/pnas.1307927110
Vautard R, Kadygrov N, Iles C, Boberg F, Buonomo E, Bülow K, Coppola E, Corre L, van Meijgaard E, Nogherotto R, Sandstad M, Schwingshackl C, Somot S, Aalbers E, Christensen OB, Ciarlo JM, Demory M-E, Giorgi F, Jacob D, Jones RG, Keuler K, Kjellström E, Lenderink G, Levavasseur G, Nikulin G, Sillmann J, Lund Sørland S, Steger C, Teichmann C, Warrach-Sagi K, Wulfmeyer V (2020) Evaluation of the large EURO-CORDEX regional climate model ensemble. J Geophys Res. https://doi.org/10.1029/2019JD032344
Wu J, Xue-Jie G (2013) A gridded daily observation dataset over China region and comparison with the other datasets (in Chinese). Chin J Geophys Chinese Edition 56:1102–1111. https://doi.org/10.6038/cjg20130406
Author information
Authors and Affiliations
Corresponding author
Additional information
Publisher's Note
Springer Nature remains neutral with regard to jurisdictional claims in published maps and institutional affiliations.
Supplementary Information
Below is the link to the electronic supplementary material.
Rights and permissions
About this article
Cite this article
Coppola, E., Raffaele, F., Giorgi, F. et al. Climate hazard indices projections based on CORDEX-CORE, CMIP5 and CMIP6 ensemble. Clim Dyn 57, 1293–1383 (2021). https://doi.org/10.1007/s00382-021-05640-z
Received:
Accepted:
Published:
Issue Date:
DOI: https://doi.org/10.1007/s00382-021-05640-z


