Abstract
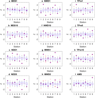
This study derived twelve Extreme Rainfall Indices (ERIs) such as the Maximum Dry Spell (MDS) and Maximum Wet Spell (MWS) from daily rainfall observed over the period 1961–1990 at nine locations across East Africa. Capacity of six CO-ordinated Regional Climate Downscaling EXperiment (CORDEX) Africa Regional Climate Models (RCMs) driven by twenty six Climate Model Intercomparison Project phase 5 (CMIP5) General Circulation Models (GCMs) to reproduce the observed ERIs with respect to long-term mean and trends was evaluated. Four RCMs and their five driving GCMs were further analyzed with respect to ERIs. Ensemble means of the RCMs' biases in simulating trends in several ERIs were of magnitudes above 50%. On average, biases in reproducing long-term mean were smaller than those for trends in ERIs. The difference between the performances of RCMs and GCMs depended on the selected RCM–GCM pair. The ensemble means of the RCMs reproduced observed ERIs better than the individual RCMs corroborating that the use of multi-model ensembles can boost credibility of climate change simulations and projections. The RCMs performed better than their driving GCMs in reproducing MDS. The biases of both the RCMs and GCMs were smaller in reproducing the MWS than MDS. Nonetheless, in reproducing observed MWS, the ensemble mean of RCMs' biases was slightly larger than that of the driving GCMs indicating possible adding up of the uncertainties from the GCMs and RCMs. Suggested RCMs' improvements regarding aerosol impacts on rainfall include adding missing constituents (like nitrate), and refining the crudely represented components. RCMs also require high resolution description (in both space and time) of land use types, land surface covers and characteristics as well as landscape heterogeneity. The GCMs to be used as the initial and lateral boundary conditions for the RCMs require improvement in their representation of key dynamical and thermodynamical feedbacks in the Tropical Indian Ocean.












Similar content being viewed by others
Explore related subjects
Discover the latest articles and news from researchers in related subjects, suggested using machine learning.References
ACAPS (2018) Uganda: Flooding and landslides in Bududa. Retrieved online via the link https://www.acaps.org/sites/acaps/files/products/files/20181018_acaps_start_briefing_note_uganda_flooding_and_landslides_in_bududa.pdf. Accessed 20 Dec 2019.
Ackerley D, Booth BBB, Knight SHE, Highwood EJ, Frame DJ, Allen MR, Rowell DP (2011) Sensitivity of twentieth-century Sahel rainfall to sulfate aerosol and CO2 forcing. J Clim 24:4999–5014
Ahmadi B, Moradkhani H (2019) Revisiting hydrological drought propagation and recovery considering water quantity and quality. Hydrol Process 33:1492–1505
Ahmadalipour A, Moradkhani H (2018) Escalating heat-stress mortality risk due to global warming in the Middle East and North Africa (MENA). Environ Int 117:215–225
Akurut M, Willems P, Niwagaba CB (2014) Potential impacts of climate change on precipitation over Lake Victoria, East Africa, in the 21st century. Water 6:2634–2659
Alizadeh-Choobari O (2018) Impact of aerosol number concentration on precipitation under different precipitation rates. Meteorol Appl 25:596–605
Anyah RO, Semazzi FHM, Xie L (2006) Simulated physical mechanisms associated with climate variability over Lake Victoria basin in East Africa. Mon Weather Rev 134:3588–3609
Ashouri H, Hsu KL, Sorooshian S, Braithwaite DK, KnappKR CLD, Prat OP (2015) PERSIANN-CDR: daily precipitation climate data record from multisatellite observations for hydrological and climate studies. Bull Am Meteorol Soc 96:69–83
Assefa TA (2016) Analysis of rainfall extremes under climate variability in Upper Blue Nile basin. MSc Dissertation, KU Leuven and Vrije Universiteit Brussel, Belgium.
Ayugi B, Tan G, Gnitou GT, Ojara M, Ongoma V (2020) Historical evaluations and simulations of precipitation over East Africa from Rossby centre regional climate model. Atmos Res 232:104705. https://doi.org/10.1016/j.atmosres.2019.104705
Berhane A, Hadgu G, Worku W, Abrha B (2020) Trends in extreme temperature and rainfall indices in the semi-arid areas of Western Tigray. Ethiopia Environ Syst Res 9(3):1–20. https://doi.org/10.1186/s40068-020-00165-6
Boo K-O, Booth BBB, Byun Y-H, Lee J, Cho CH, Shim SB, Kim K-T (2015) Influence of aerosols in multi-decadal SST variability simulations over the North Pacific. J Geophys Res Atmos 120:517–531
Cattani E, Merino A, Guijarro JA, Levizzani V (2018) East Africa Rainfall trends and variability 1983–2015 using three long-term satellite products. Remote Sens 10(6):931. https://doi.org/10.3390/rs10060931
Climate Home News (2013) Climate change linked to 2011 East Africa drought. Retrieved online via the link https://www.climatechangenews.com/2013/02/21/climate-change-linked-to-2011-east-africa-drought/ Accessed 21 Dec 2019.
EM-DAT (2018) The Emergency Events Database—Université Catholique de Louvain (UCL)—CRED, D. Guha-Sapir. www.emdat.be (Brussels, Belgium retrieved at 23 January 2018).
Endris HS, Omondi P, Jain S, Lennard C, Hewitson B, Chang’a L, Awange JL, Dosio A, Ketiem P, Nikulin G, Panitz HJ, Büchner M, Stordal F, Tazalika L (2013) Assessment of the performance of CORDEX regional climate models in simulating East African rainfall. J Clim 26:8453–8475
Evans TE (1996) The effects of changes in the world hydrological cycle on availability of water resources. In: Bazzaz F, Sombroek W (eds) Global climate change and agricultural production: direct and indirect effects of changing hydrological pedological and plant physiological processes. FAO and Wiley, Chichester
Fan J, Leung LR, Rosenfeld D, Chen Q, Li Z, Zhang J, Yan H (2013) Microphysical effects determine macro physical response for aerosol impacts on deep convective clouds. PNAS 110:E4581–E4590
FAO (1986) Irrigation water management: Irrigation water needs. Rome: food and agriculture organization of the United Nations (FAO). https://www.fao.org/3/S2022E/s2022e00.htm. Accessed 04 April 2020
Floodlist (2016) Ethiopia—20,000 families displaced by floods. https://floodlist.com/africa/ethiopia-families-displaced-belg-rain-floods-may-2016. Accessed 27 Dec 2019.
Floodlist (2019) Ethiopia – Over 20 Killed in Landslide in South. https://floodlist.com/africa/ethiopia-landslide-snnpr-october-2019. Accessed: 22 Dec 2019.
Freitas ACV, Aímola L, Ambrizzi T, de Oliveira CP (2017) Extreme intertropical convergence zone shifts over southern maritime continent. Atmos Sci Let 18:2–10
Funk C, Peterson P, Landsfeld M, Pedreros D, Verdin J, Shukla S, Michaelsen J (2015) The climate hazards infrared precipitation with stations – a new environmental record formonitoring extremes Sci. Data 2:150066. https://doi.org/10.1038/sdata.2015.66
Ghan S, Penner JE (2016) ARM-Led improvements in aerosols in climate and climate models. Meteorol Monogr 27(5):1–12. https://doi.org/10.1175/AMSMONOGRAPHS-D-15-0033.1
Gebrechorkos SH, Hülsmann S, Bernhofer C (2019) Changes in temperature and precipitation extremes in Ethiopia, Kenya, and Tanzania. Int J Climatol 39:18–30
Gumbel EJ (1958) Statistics of Extremes. Columbia University Press, New York
Haile GG, Tang Q, Sun S, Huang Z, Zhang X, Liu X (2019) Droughts in East Africa: Causes, impacts and resilience. Earth Sci Rev 193:146–161
Harrison L, Funk C, Peterson P (2019) Identifying changing precipitation extremes in Sub-Saharan Africa with gauge and satellite products. Environ Res Lett 14(085007):1–12. https://doi.org/10.1088/1748-9326/ab2cae
Huffman GJ, Bolvin DT, Nelkin EJ, Wolff DB, Adler RF, Gu G, Hong Y, Bowman KP, Stocker EF (2007) The TRMM Multisatellite precipitation analysis (TMPA): quasi global, multiyear, combined-sensor precipitation estimates at fine scales. J Hydrometeorol 8:38–55
Hurst HE (1951) Long-term storage capacity of reservoirs. Trans Am Soc Civil Eng 116:770–799
IPCC (2013) The physical science basis. contribution of working group I to the fifth assessment report of the intergovernmental panel on climate change. In: Stocker TF, Qin D, Plattner G-K, Tignor M, Allen SK, Boschung J, Nauels A, Xia Y, Bex V, Midgley PM (eds). Cambridge University Press, Cambridge, United Kingdom and New York, NY, USA, pp 1535.
Jarvis A, Reuter HI, Nelson A, Guevara E (2008) Hole-filled seamless SRTM data V4, International Centre for Tropical Agriculture (CIAT) https://srtm.csi.cgiar.org. Accessed 20th Dec 2019
Jenkinson AF (1955) The frequency distribution of the annual maximum (or minimum) of meteorological elements. Q J Roy Meteor Soc 81:158–171
Kawase H, Abe M, Yamada Y, Takemura T, Yokohata T, Nozawa T (2010) Physical mechanism of long-term drying trend over tropical North Africa. Geophys Res Lett 37:L09706. https://doi.org/10.1029/2010GL043038
Kendall MG (1975) Rank correlation methods, 4th edn. Charles Griffin, London
Kisembe J, Favre A, Dosio A, Lennard L, Sabiiti G, Nimusiima A (2018) Evaluation of rainfall simulations over Uganda in CORDEX regional climate models. Theor Appl Climatol 137(1–2):1117–1134
Kolmogorov AN (1940) Wienersche Spiralen und Einige Andere Interessante Kurven in Hilbertschen Raum. Doklady Akademii nauk URSS 26:115–118
Li Z, Niu F, Fan J, Liu Y, Rosenfeld D, Ding Y (2011) Long-term impacts of aerosols on the vertical development of clouds and precipitation. Nature Geosci 4:888–894
Liu L, Xie S-P, Zheng X-T, Li T, Du Y, Huang G, Yu W-D (2014) Indian Ocean variability in the CMIP5 multi-model ensemble: the zonal dipole mode. Clim Dyn 43:1715–1730
Mann HB (1945) Nonparametric tests against trend. Econometrica 13(3):245–259
Nashwan MS, Shahid S (2019) Spatial distribution of unidirectional trends in climate and weather extremes in Nile river basin. Theo Appl Climatol 137:1181–1199
Novella NS, Thiaw WM (2013) African rainfall climatology version 2 for famine early warning systems. J Appl Meteorol Climatol 52:588–606
Muthoni FK, Odongo VO, Ochieng J, Mugalavai EM, Mourice SK, Hoesche-Zeledon I, Mwila M, Bekunda M (2019) Long-term spatial-temporal trends and variability of rainfall over Eastern and Southern Africa. Theo Appl Climatol 137:1869–1882
Nikulin G, Jones C, Giorgi F, Asrar G, Büchner M, Cerezo-Mota R, Christensen OB, Déqué M, Fernandez J, Hänsler A, Meijgaard EV, Samuelsson P, Sylla MB, Sushama L (2012) Precipitation climatology in an ensemble of CORDEX-Africa regional climate simulations. J Clim 25:6057–6078
Okeyo AE (1987) The influence of lake Victoria on the convective activities over the Kenya highlands. J Meteorol Soc Japan 65:689–695
Onyutha C, Willems P (2015) Uncertainty in calibrating generalised Pareto distribution to rainfall extremes in Lake Victoria basin. Hydrol Res 46(3):356–376
Onyutha C (2019) African food insecurity in a changing climate: the roles of science and policy. Food Energy Sec 8(1):e00160. https://doi.org/10.1002/fes3.160
Onyutha C (2017) On rigorous drought assessment using daily time scale: Non-stationary frequency analyses, revisited concepts, and a new method to yield non-parametric indices. Hydrology 4:48. https://doi.org/10.3390/hydrology4040048
Onyutha C (2016) Identification of sub-trends from hydro-meteorological series. Stoch Environ Res Risk Assess 30:189–205
Onyutha C, Tabari H, Rutkowska A, Nyeko-Ogiramoi P, Willems P (2016) Comparison of different statistical downscaling methods for climate change rainfall projections over the Lake Victoria basin considering CMIP3 and CMIP5. J Hydro-Environ Res 12:31–45
Pickands J (1975) Statistical inference using extreme order statistics. Ann Stat 3(1):119–131
Pielke RA, Pitman A, Niyogi D, Mahmood R, McAlpine C, Hossain F, Goldewijk KK, Nair U, Betts R, Fall S, Reichstein M, Kabat P, de Noblet N (2011) Land use/land cover changes and climate: modeling analysis and observational evidence. Wiley Interdiscip Rev Clim Chang 2(6):828–850
Rangarajan G, Sant DA (1997) A climate predictability index and its applications. Geophys Res Lett 24:239–1242
Reliefweb (2019) Several killed as landslides hit Bududa, Sironko. https://reliefweb.int/report/uganda/several-killed-landslides-hit-bududa-sironko. Accessed 20 Dec 2019.
Reuter HI, Nelson A, Jarvis A (2007) An evaluation of void filling interpolation methods for SRTM data. Int J Geogr Inform Sci 21(9):983–1008
Rowell DP, Booth BBB, Nicholson SE, Good P (2015) Reconciling past and future rainfall trends over East Africa. J Clim 28:9768–9788
Sang Y, Singh VP, Xu K (2019) Evolution of IOD-ENSO relationship at multiple time scales. Theor Appl Climatol 136:1303–1309
Sheffield J, Goteti G, Wood EF (2006) Development of a 50-year highresolution global dataset of meteorological forcings for land surface modeling. J Clim 19:3088–3111
Stuecker MF, Timmermann A, Jin F-F, Chikamoto Y, Zhang W, Wittenberg AT, Widiasih E, Zhao S (2017) Revisiting ENSO/Indian Ocean Dipole phase relationships. Geophys Res Lett 44(5):2481–2492
Zhang X, Alexander L, Hegerl GC, Jones P, Tank AK, Peterson TC, Trewin B, Francis W, Zwiers FW (2011) Indices for monitoring changes in extremes based on daily temperature and precipitation data. WIREs Clim Change 2:851–870
Funding
This research did not receive any specific grant from funding agencies in the public, commercial, or not-for-profit sectors.
Author information
Authors and Affiliations
Corresponding author
Ethics declarations
Conflict of interest
The author declares that he has no known competing financial interests or personal relationships that could have appeared to influence the work reported in this paper.
Additional information
Publisher's Note
Springer Nature remains neutral with regard to jurisdictional claims in published maps and institutional affiliations.
Electronic supplementary material
Below is the link to the electronic supplementary material.
Rights and permissions
About this article
Cite this article
Onyutha, C. Analyses of rainfall extremes in East Africa based on observations from rain gauges and climate change simulations by CORDEX RCMs. Clim Dyn 54, 4841–4864 (2020). https://doi.org/10.1007/s00382-020-05264-9
Received:
Accepted:
Published:
Issue Date:
DOI: https://doi.org/10.1007/s00382-020-05264-9


