Skip to main content

Lack of relationship between cord blood erythropoietin and intraventricular hemorrhage in premature neonates: a controversial result

Abstract

Purpose

The aim of this study was to assess the incidence and risk factors of intraventricular hemorrhage (IVH) as well as the role of cord blood erythropoietin (EPO) level in predicting the possibility of IVH in premature neonates.

Materials and methods

This prospective study included 140 preterm neonates born at hospitals affiliated to Shiraz University of Medical Sciences from May 2014 to April 2015. Complete blood count and cord blood EPO level was measured after birth. Brain ultrasonography was performed at 3 and 7–10 days after birth in these newborns.

Results

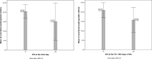
Brain ultrasonography showed IVH in 8.57% (12/140) until the third day and 20% (28/140) at 7–10 days of life in premature neonates. Early gestational age, low birth weight, low Apgar score, and failure to give prenatal steroid were significant risk factors for developing IVH. The mean level of cord blood EPO was 20.95 ± 21.09 mIU/mL in premature newborns without IVH and 15.82 ± 17.11 mIU/mL with IVH. There was no correlation between the cord blood EPO and IVH in premature newborns.

Conclusion

Antenatal steroids therapy should be encouraged among women at risk of premature delivery. Our results showed that the cord blood EPO was not correlated with IVH in preterm neonates and further research is required to assess this relationship.

This is a preview of subscription content, access via your institution.

Fig. 1

References

  1. Linder N, Haskin O, Levit O, Klinger G, Prince T, Naor N, Turner P, Karmazyn B, Sirota L (2003) Risk factors for intraventricular hemorrhage in very low birth weight premature infants: a retrospective case-control study. Pediatrics 111(5 Pt 1):e590–e595

    Article  PubMed  Google Scholar 

  2. Allen KA (2013) Treatment of intraventricular hemorrhages in premature infants: where is the evidence? Adv Neonatal Care 13(2):127–130

    Article  PubMed  Google Scholar 

  3. Cuestas E, Bas J, Pautasso J (2009) Sex differences in intraventricular hemorrhage rates among very low birth weight newborns. Gend Med 6(2):376–382

    Article  PubMed  Google Scholar 

  4. Spinillo A, Ometto A, Stronati M, Piazzi G, Lasci A, Rondini G (1995) Epidemiologic association between maternal smoking during pregnancy and intracranial hemorrhage in preterm infants. J Pediatr 127:472–478

    Article  CAS  PubMed  Google Scholar 

  5. Wieczorek AI, Krasomski G (2015) Twin pregnancy as the risk factor for neonatal intraventricular hemorrhage. Ginekol Pol 86(2):137–142

    Article  PubMed  Google Scholar 

  6. Lu H, Wang Q, Lu J, Zhang Q, Kumar P (2016) Risk factors for intraventricular hemorrhage in preterm infants born at 34 weeks of gestation or less following preterm premature rupture of membranes. J Stroke Cerebrovasc Dis 25(4):807–812

    Article  PubMed  Google Scholar 

  7. Kaiser JR, Gauss CH, Pont MM, Williams DK (2006) Hypercapnia during the first 3 days of life is associated with severe intraventricular hemorrhage in very low birth weight infants. J Perinatol 26(5):279–285

    Article  CAS  PubMed  Google Scholar 

  8. Ment LR, Oh W, Ehrenkranz RA, Philip AG, Duncan CC, Makuch RW (1995) Antenatal steroids, delivery mode, and intraventricular hemorrhage in preterm infants. Am J Obstet Gynecol 172:795–800

    Article  CAS  PubMed  Google Scholar 

  9. Khodapanahandeh F, Khosravi N, Larijani T (2008) Risk factors for intraventricular hemorrhage in very low birth weight infants in Tehran, Iran. Turk J Pediatr 50(3):247–252

    PubMed  Google Scholar 

  10. Egarter C, Leitich H, Karas H, Wieser F, Husslein P, Kaider A, Schemper M (1996) Antibiotic treatment in preterm premature rapture of membranes and neonatal morbidity: a metaanalysis. Am J Obstet Gynecol 174:589–597

    Article  CAS  PubMed  Google Scholar 

  11. Szpecht D, Nowak I, Kwiatkowska P, Szymankiewicz M, Gadzinowski J (2017) Intraventricular hemorrhage in neonates born from 23 to 26 weeks of gestation: retrospective analysis of risk factors. Adv Clin Exp Med 26(1):89–94

    Article  PubMed  Google Scholar 

  12. Patra K, Wilson-Costello D, Taylor HG, Mercuri-Minich N, Hack M (2006) Grades I–II intraventricular hemorrhage in extremely low birth weight infants: effects on neurodevelopment. J Pediatr 149(2):169–173

    Article  PubMed  Google Scholar 

  13. Fowlie PW, Davis PG (2003) Prophylactic indomethacin for preterm infants: a systematic review and meta-analysis. Arch Dis Child Fetal Neonatal Ed 88(6):F464–F466

    Article  CAS  PubMed  PubMed Central  Google Scholar 

  14. Deshmukh M, Patole S (2017) Antenatal corticosteroids for neonates born before 25 Weeks—a systematic review and meta-analysis. PLoS One 12(5):e0176090. https://doi.org/10.1371/journal.pone.0176090 eCollection 2017

    Article  CAS  PubMed  PubMed Central  Google Scholar 

  15. Robinson S (2012) Neonatal posthemorrhagic hydrocephalus from prematurity: pathophysiology and current treatment concepts. J Neurosurg Pediatr 9(3):242–258

    Article  PubMed  Google Scholar 

  16. Köksal V, Öktem S (2010) Ventriculosubgaleal shunt procedure and its long-term outcomes in premature infants with post-hemorrhagic hydrocephalus. Childs Nerv Syst 26(11):1505–1515

    Article  PubMed  PubMed Central  Google Scholar 

  17. Juul SE, Stallings SA, Christensen RD (1999) Erythropoietin in the cerebrospinal fluid of neonates who sustained CNS injury. Pediatr Res 46(5):543–547

    Article  CAS  PubMed  Google Scholar 

  18. Bhandari V, Buhimschi CS, Han CS, Lee SY, Pettker CM, Campbell KH, Dulay AT, Oliver EA, Werner EF, Buhimschi IA (2011) Cord blood erythropoietin and interleukin-6 for prediction of intraventricular hemorrhage in the preterm neonate. J Matern Fetal Neonatal Med 24(5):673–679

    Article  CAS  PubMed  Google Scholar 

  19. Khosravi N, Badamchi A, Khalesi N, Tabatabaee A, Naghdalipour M, Asgarian R (2017) Measurement of interleukin-6 (IL-6) and erythropoietin (EPO) in umbilical cords of preterm infants with intraventricular hemorrhage in two hospitals in Tehran. J Matern Fetal Neonatal Med 30(15):1847–1850

    Article  CAS  PubMed  Google Scholar 

  20. Ment LR, Ådén U, Bauer CR, Bada HS, Carlo WA, Kaiser JR, Lin A, Cotten CM, Murray J, Page G, Hallman M, Lifton RP, Zhang H, Gene Targets for IVH Study Group and the Neonatal Research Network (2015) Genes and environment in neonatal intraventricular hemorrhage. Semin Perinatol 39(8):592–603

    Article  PubMed  PubMed Central  Google Scholar 

  21. Benders MJ, Kersbergen KJ, de Vries LS (2014) Neuroimaging of white matter injury, intraventricular and cerebellar hemorrhage. Clin Perinatol 41:69–82

    Article  PubMed  Google Scholar 

  22. Gleissner M, Jorch G, Avenarius S (2000) Risk factors for intraventricular hemorrhage in a birth cohort of 3721 premature infants. J Perinat Med 28(2):104–110

    CAS  PubMed  Google Scholar 

  23. Hawgood S, Spong J, Yu VY (1984) Intraventricular hemorrhage. Incidence and outcome in a population of very-low-birth-weight infants. Am J Dis Child 138(2):136–139

    Article  CAS  PubMed  Google Scholar 

  24. Partridge JC, Babcock DS, Steichen JJ, Han BK (1983) Optimal timing for diagnostic cranial ultrasound in low-birth-weight infants: detection of intracranial hemorrhage and ventricular dilation. J Pediatr 102(2):281–287

    Article  CAS  PubMed  Google Scholar 

  25. Baik N, Urlesberger B, Schwaberger B, Schmölzer GM, Avian A, Pichler G (2015) Cerebral haemorrhage in preterm neonates: does cerebral regional oxygen saturation during the immediate transition matter? Arch Dis Child Fetal Neonatal Ed 100(5):F422–F427

    Article  PubMed  Google Scholar 

  26. Adegoke SA, Olugbemiga AO, Bankole KP, Tinuade OA (2014) Intraventricular hemorrhage in newborns weighing < 1500 g: epidemiology and short-term clinical outcome in a resource-poor setting. Ann Trop Med Public Health 7:48–54

    Article  Google Scholar 

  27. Wei JC, Catalano R, Profit J, Gould JB, Lee HC (2016) Impact of antenatal steroids on intraventricular hemorrhage in very-low-birth weight infants. J Perinatol 36(5):352–356

    Article  CAS  PubMed  PubMed Central  Google Scholar 

  28. Elimian A, Verma U, Canterino J, Shah J, Visintainer P, Tejani N (1999) Effectiveness of antenatal steroids in obstetric subgroups. Obstet Gynecol 93(2):174–179

    CAS  PubMed  Google Scholar 

  29. Szpecht D, Szymankiewicz M, Nowak I, Gadzinowski J (2016) Intraventricular hemorrhage in neonates born before 32 weeks of gestation—retrospective analysis of risk factors. Childs Nerv Syst 32(8):1399–1404

    Article  PubMed  PubMed Central  Google Scholar 

  30. Mitsiakos G, Papathanasiou AE, Kyriakidis I, Karagianni P, Tsepis K, Tzimou I, Lazaridou E, Chatziioannidis I (2016) Intraventricular hemorrhage and platelet indices in extremely premature neonates. J Pediatr Hematol Oncol 38(7):533–538

    Article  PubMed  Google Scholar 

  31. Roberts JC, Javed MJ, Hocker JR, Wang H, Tarantino MD (2018) Risk factors associated with intraventricular hemorrhage in extremely premature neonates. Blood Coagul Fibrinolysis 29(1):25–29

    Article  PubMed  Google Scholar 

  32. Humberg A, Härtel C, Paul P, Hanke K, Bossung V, Hartz A, Fasel L, Rausch TK, Rody A, Herting E, Göpel W, German Neonatal Network (GNN) (2017) Delivery mode and intraventricular hemorrhage risk in very-low-birth-weight infants: observational data of the German Neonatal Network. Eur J Obstet Gynecol Reprod Biol 212:144–149

    Article  PubMed  Google Scholar 

  33. Chen Y, Zou L, Li G, Ruan Y, Wang X, Zhang W (2015) Appropriate delivery mode and timing of termination for pregnancy with low birth weight infants. Zhonghua Fu Chan Ke Za Zhi 50(5):323–328

    PubMed  Google Scholar 

  34. Marti HH (2004) Erythropoietin and the hypoxic brain. J Exp Biol 207(Pt 18):3233–3242

    Article  CAS  PubMed  Google Scholar 

  35. Mancini MC, Barbosa NE, Banwart D, Silveira S, Guerpelli JL, Leone CR (1999) Intraventricular hemorrhage in very low birth weight infants: associated risk factors and outcome in the neonatal period. Rev Hosp Clin Fac Med Sao Paulo 54(5):151–154

    Article  CAS  PubMed  Google Scholar 

  36. Junk AK, Mammis A, Savitz SI, Singh M, Roth S, Malhotra S, Rosenbaum PS, Cerami A, Brines M, Rosenbaum DM (2002) Erythropoietin administration protects retinal neurons from acute ischemia-reperfusion injury. Proc Natl Acad Sci U S A 99(16):10659–10664

    Article  CAS  PubMed  PubMed Central  Google Scholar 

  37. Sajjadian N, Fakhrai H, Jahadi R (2010) Incidence of intraventricular hemorrhage and post hemorrhagic hydrocephalus in preterm infants. Acta Med Iran 48(4):260–262

    PubMed  Google Scholar 

Download references

Acknowledgements

We are thankful to all the parents who took part in this study. The authors would like to thank Shiraz University of Medical Sciences, Shiraz, Iran and also Center for Development of Clinical Research of Nemazee Hospital and Dr. Nasrin Shokrpour for editorial assistance.

Contributors

Najib Kh contributed to the conception, design, and analysis the data and wrote the paper; Hashemi Z and Pishva N contributed to the design of the research study and analysis of data; Moghtaderi M contributed to the statistical analysis of the data, drafting and writing the article; Pishdad P performed the brain sonography and writing; and Najib Fs examined the newborns and wrote the article. Each author contributed to revisions of the manuscript and approval of the final version.

Funding

This work was supported by a grant from Shiraz University of Medical Sciences (7369-21-01-93).

Author information

Affiliations

Authors

Corresponding author

Correspondence to Mozhgan Moghtaderi.

Ethics declarations

Conflict of interest

No conflict of interest is declared.

Rights and permissions

Reprints and Permissions

About this article

Verify currency and authenticity via CrossMark

Cite this article

Najib, K., Hashemi, Z., Moghtaderi, M. et al. Lack of relationship between cord blood erythropoietin and intraventricular hemorrhage in premature neonates: a controversial result. Childs Nerv Syst 35, 277–282 (2019). https://doi.org/10.1007/s00381-018-3872-0

Download citation

  • Received:

  • Accepted:

  • Published:

  • Issue Date:

  • DOI: https://doi.org/10.1007/s00381-018-3872-0

Keywords

  • Premature
  • Intraventricular hemorrhage
  • Erythropoietin
  • Risk factors