Skip to main content

Dysphagia and malnutrition limit activities of daily living improvement in phase i cardiac rehabilitation: a prospective cohort study for acute phase heart failure patients

Abstract

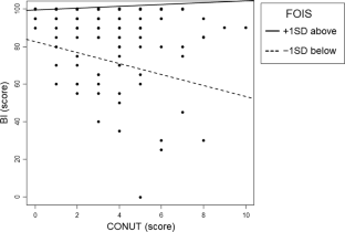
Dysphagia and malnutrition combinations in hospitalized patients with acute heart failure (AHF) may affect activities of daily living (ADL) after hospital discharge more than dysphagia or malnutrition alone. The aim of the present study to clarify the impact of the combination of dysphagia and malnutrition on ADL in hospitalized patients with acute phase heart failure who have undergone cardiac rehabilitation (CR). Prospective cohort study. Acute care hospital. Participants were 224 AHF patients undergoing CR. Barthel index (BI), functional oral intake scale (FOIS), controlling nutritional status (CONUT), short physical performance battery (SPPB), and mini-mental state examination were evaluated at baseline. We examined primary effects of predictors (CONUT) and the moderator (FOIS) and the interaction effect of FOIS and CONUT (FOIS × CONUT) using hierarchical linear regression model and simple-slope tests. The ADL independence dropped in 29.5% of the patients on hospitalization; however, 82.6% of the patients successfully regained their independence at discharge. Based on the FOIS score and nutritional status on admission, 58.5% of the patients were classified into the non-dysphagia and non-malnutrition categories, 21.0% into non-dysphagia and malnutrition, 15.2% into dysphagia and non-malnutrition, and 5.3% into dysphagia and malnutrition. Lower FOIS and SPPB scores as well as the FOIS × CONUT interaction predicted a significantly lower BI but not CONUT. Simple slope test revealed a negative association between CONUT and BI with low-level FOIS (B =  − 2.917, P < .001) but not with high-level FOIS (B = .476, P = .512). Thus, patients with dysphagia and malnutrition in combination had a greater risk of failed recovery of ADL after cardiac rehabilitation than those without this combination. In hospitalized AHF patients, FOIS and CONUT had an interactive effect on BI at hospital discharge in cases with low-level FOIS. Early detection of dysphagia might improve the accurate identification of hospitalized AHF patients at higher risk of ADL dependence at discharge.

This is a preview of subscription content, access via your institution.

Fig. 1
Fig. 2

References

  1. Shimokawa H, Miura M, Nochioka K, Sakata Y (2015) Heart failure as a general pandemic in Asia. Eur J Heart Fail 17:884–892

    PubMed  Article  PubMed Central  Google Scholar 

  2. Konishi M, Ishida J, Springer J, von Haehling S, Akashi YJ, Shimokawa H, Anker SD (2016) Heart failure epidemiology and novel treatments in Japan: facts and numbers. ESC Heart Fail 3:145–151

    PubMed  PubMed Central  Article  Google Scholar 

  3. Narumi T, Arimoto T, Funayama A, Kadowaki S, Otaki Y, Nishiyama S, Takahashi H, Shishido T, Miyashita T, Miyamoto T, Watanabe T, Kubota I (2013) Prognostic importance of objective nutritional indexes in patients with chronic heart failure. J Cardiol 62:307–313

    PubMed  Article  PubMed Central  Google Scholar 

  4. Yokota J, Ogawa Y, Yamanaka S, Takahashi Y, Fujita H, Yamaguchi N, Onoue N, Ishizuka T, Shinozaki T, Kohzuki M (2016) Cognitive dysfunction and malnutrition are independent predictor of dysphagia in patients with acute exacerbation of congestive heart failure. PLoS ONE 11:e0167326

    PubMed  PubMed Central  Article  CAS  Google Scholar 

  5. Wirth R, Dziewas R, Beck AM, Clavé P, Hamdy S, Heppner HJ, Langmore S, Leischker AH, Martino R, Pluschinski P, Rösler A, Shaker R, Warnecke T, Sieber CC, Volkert D (2016) Oropharyngeal dysphagia in older persons - from pathophysiology to adequate intervention: a review and summary of an international expert meeting. Clin Interv Aging 11:189–208

    PubMed  PubMed Central  Article  Google Scholar 

  6. Shizgal HM, Vasilevsky CA, Gardiner PF, Wang WZ, Tuitt DA, Brabant GV (1986) Nutritional assessment and skeletal muscle function. Am J Clin Nutr 44:761–771

    CAS  PubMed  Article  PubMed Central  Google Scholar 

  7. Mirzakhani H, Williams JN, Mello J, Joseph S, Meyer MJ, Waak K, Schmidt U, Kelly E, Eikermann M (2013) Muscle weakness predicts pharyngeal dysfunction and symptomatic aspiration in long-term ventilated patients. Anesthesiology 119:389–397

    PubMed  Article  PubMed Central  Google Scholar 

  8. Shirakabe A, Hata N, Kobayashi N, Okazaki H, Matsushita M, Shibata Y, Nishigoori S, Uchiyama S, Asai K, Shimizu W (2018) The prognostic impact of malnutrition in patients with severely decompensated acute heart failure, as assessed using the prognostic nutritional index (PNI) and controlling nutritional status (CONUT) score. Heart Vessels 33:134–144

    PubMed  Article  PubMed Central  Google Scholar 

  9. Yokota J, Ogawa Y, Takahashi Y, Yamaguchi N, Onoue N, Shinozaki T, Kohzuki M (2020) Dysphagia worsens short-term outcomes in patients with acute exacerbation of heart failure. Heart Vessels 35:1429–1438

    PubMed  Article  PubMed Central  Google Scholar 

  10. Kinugasa Y, Kato M, Sugihara S, Hirai M, Yamada K, Yanagihara K, Yamamoto K (2013) Geriatric nutritional risk index predicts functional dependency and mortality in patients with heart failure with preserved ejection fraction. Circ J 77:705–711

    CAS  PubMed  Article  PubMed Central  Google Scholar 

  11. Covinsky KE, Palmer RM, Fortinsky RH, Counsell SR, Stewart AL, Kresevic D, Burant CJ, Landefeld CS (2003) Loss of independence in activities of daily living in older adults hospitalized with medical illnesses: increased vulnerability with age. J Am Geriatr Soc 51:451–458

    PubMed  Article  PubMed Central  Google Scholar 

  12. Dunlay SM, Manemann SM, Chamberlain AM, Cheville AL, Jiang R, Weston SA, Roger VL (2015) Activities of daily living and outcomes in heart failure. Circ Heart Fail 8:261–267

    PubMed  PubMed Central  Article  Google Scholar 

  13. Ponikowski P, Voors AA, Anker SD, Bueno H, Cleland JGF, Coats AJS, Falk V, González-Juanatey JR, Harjola VP, Jankowska EA, Jessup M, Linde C, Nihoyannopoulos P, Parissis JT, Pieske B, Riley JP, Rosano GMC, Ruilope LM, Ruschitzka F, Rutten FH, van der Meer P; ESC Scientific Document Group (2016) 2016 ESC guidelines for the diagnosis and treatment of acute and chronic heart failure. the task force for the diagnosis and treatment of acute and chronic heart failure of the european society of cardiology (ESC) developed with the special contribution of the heart failure association (HFA) of the ESC. Eur Heart J 37:2129–2200

    Article  Google Scholar 

  14. Katano S, Hashimoto A, Ohori K, Watanabe A, Honma R, Yanase R, Ishigo T, Fujito T, Ohnishi H, Tsuchihashi K, Ishiai S, Miura T (2018) Nutritional status and energy intake as predictors of functional status after cardiac rehabilitation in elderly inpatients with heart failure—a retrospective cohort study. Circ J 82:1584–1591

    CAS  PubMed  Article  PubMed Central  Google Scholar 

  15. Valentova M, von Haehling S, Bauditz J, Doehner W, Ebner N, Bekfani T, Elsner S, Sliziuk V, Scherbakov N, Murín J, Anker SD, Sandek A (2016) Intestinal congestion and right ventricular dysfunction: a link with appetite loss, inflammation, and cachexia in chronic heart failure. Eur Heart J 37:1684–1691

    PubMed  Article  PubMed Central  Google Scholar 

  16. Pasini E, Aquilani R, Dioguardi FS, D’Antona G, Gheorghiade M, Taegtmeyer H (2008) Hypercatabolic syndrome: molecular basis and effects of nutritional supplements with amino acids. Am J Cardiol 101:11E-15E

    CAS  PubMed  Article  PubMed Central  Google Scholar 

  17. Sandek A, Bauditz J, Swidsinski A, Buhner S, Weber-Eibel J, von Haehling S, Schroedl W, Karhausen T, Doehner W, Rauchhaus M, Poole-Wilson P, Volk HD, Lochs H, Anker SD (2007) Altered intestinal function in patients with chronic heart failure. J Am Coll Cardiol 50:1561–1569

    CAS  PubMed  Article  PubMed Central  Google Scholar 

  18. Okita K, Kinugawa S, Tsutsui H (2013) Exercise intolerance in chronic heart failure—skeletal muscle dysfunction and potential therapies. Circ J 77:293–300

    CAS  PubMed  Article  PubMed Central  Google Scholar 

  19. Hirabayashi K, Kinugawa S, Yokota T, Takada S, Fukushima A, Suga T, Takahashi M, Ono T, Morita N, Omokawa M, Harada K, Oyama-Manabe N, Shirato H, Matsushima S, Okita K, Tsutsui H (2014) Intramyocellular lipid is increased in the skeletal muscle of patients with dilated cardiomyopathy with lowered exercise capacity. Int J Cardiol 176:1110–1112

    PubMed  Article  PubMed Central  Google Scholar 

  20. Kumar A, Ghai OP, Singh N (1977) Delayed nerve conduction velocities in children with protein-calorie malnutrition. J Pediatr 90:149–153

    CAS  PubMed  Article  PubMed Central  Google Scholar 

  21. Tsutsui H, Isobe M, Ito H, Ito H, Okumura K, Ono M, Kitakaze M, Kinugawa K, Kihara Y, Goto Y, Komuro I, Saiki Y, Saito Y, Sakata Y, Sato N, Sawa Y, Shiose A, Shimizu W, Shimokawa H, Seino Y, Node K, Higo T, Hirayama A, Makaya M, Masuyama T, Murohara T, Momomura S, Yano M, Yamazaki K, Yamamoto K, Yoshikawa T, Yoshimura M, Akiyama M, Anzai T, Ishihara S, Inomata T, Imamura T, Iwasaki YK, Ohtani T, Onishi K, Kasai T, Kato M, Kawai M, Kinugasa Y, Kinugawa S, Kuratani T, Kobayashi S, Sakata Y, Tanaka A, Toda K, Noda T, Nochioka K, Hatano M, Hidaka T, Fujino T, Makita S, Yamaguchi O, Ikeda U, Kimura T, Kohsaka S, Kosuge M, Yamagishi M, Yamashina A; Japanese Circulation Society and the Japanese Heart Failure Society Joint Working Group (2019) JCS 2017/JHFS 2017 guideline on diagnosis and treatment of acute and chronic heart failure—digest version. Circ J 83:2084–2184

    PubMed  Article  PubMed Central  Google Scholar 

  22. Kay R, Wong KS, Perez G, Woo J (1997) Dichotomizing stroke outcomes based on self-reported dependency. Neurology 49:1694–1696

    CAS  PubMed  Article  PubMed Central  Google Scholar 

  23. Yancy CW, Jessup M, Bozkurt B, Butler J, Casey DE Jr, Drazner MH, Fonarow GC, Geraci SA, Horwich T, Januzzi JL, Johnson MR, Kasper EK, Levy WC, Masoudi FA, McBride PE, McMurray JJ, Mitchell JE, Peterson PN, Riegel B, Sam F, Stevenson LW, Tang WH, Tsai EJ, Wilkoff BL (2013) 2013 ACCF/AHA guideline for the management of heart failure: a report of the American college of cardiology foundation/American heart association task force on practice guidelines. Circulation 128:e240–e327

    PubMed  PubMed Central  Google Scholar 

  24. Folstein MF, Folstein SE, McHigh PR (1975) “Mini-mental state”: a practical method of grading the cognitive function of patients for the clinician. J Psychiatr Res 12:189–198

    CAS  PubMed  Article  PubMed Central  Google Scholar 

  25. Guralnik JM, Simonsick EM, Ferrucci L, Glynn RJ, Berkman LF, Blazer DG, Scherr PA, Wallace RB (1994) A short physical performance battery assessing lower extremity function: association with self-reported disability and prediction of mortality and nursing home admission. J Gerontol 49:M85-94

    CAS  PubMed  PubMed Central  Article  Google Scholar 

  26. Izawa K, Hirano Y, Yamada S, Oka K, Omiya K, Iijima S (2004) Improvement in physiological outcomes and health-related quality of life following cardiac rehabilitation in patients with acute myocardial infarction. Cir J 68:315–320

    Article  Google Scholar 

  27. Toonstra J, Mattacola CG (2013) Test-retest reliability and validity of isometric knee-flexion and -extension measurement using 3 methods of assessing muscle strength. J Sport Rehabil. https://doi.org/10.1123/jsr.2013

    Article  PubMed  PubMed Central  Google Scholar 

  28. Goldman L, Hashimoto B, Cook EF, Loscalzo A (1981) Comparative reproducibility and validity of systems for assessing cardiovascular functional class: advantages of a new specific activity scale. Circulation 64:1227–1234

    CAS  PubMed  Article  PubMed Central  Google Scholar 

  29. Adachi Y, Konishi H, Fukui T, Noguchi T, Kawakami R, Nakanishi M, Ibuki M, Ohara T, Aihara N, Takaki H, Goto Y (2009) An examination of validity of modified specific activity scale. JJCR 14:115–118 ((in Japanese))

    Google Scholar 

  30. Mahoney FI, Barthel DW (1965) Functional evaluation: the Barthel Index. Maryland State Med J 14:61–65

    CAS  Google Scholar 

  31. Crary MA, Mann GD, Groher ME (2005) Initial psychometric assessment of a functional oral intake scale for dysphagia in stroke patients. Arch Phys Med Rehabil 86:1516–1520

    PubMed  Article  PubMed Central  Google Scholar 

  32. Maeda K, Akagi J (2015) Decreased tongue pressure is associated with sarcopenia and sarcopenic dysphagia in the elderly. Dysphagia 30:80–87

    PubMed  Article  PubMed Central  Google Scholar 

  33. Yokota J, Ogawa Y, Takahashi Y, Yamaguchi N, Onoue N, Shinozaki T, Kohzuki M (2019) Dysphagia hinders hospitalized patients with heart failure from being discharged to home. Tohoku J Exp Med 249:163–171

    PubMed  Article  PubMed Central  Google Scholar 

  34. Ignacio De Ulibarri J, González-Madroño A, De Villar N, González P, González B, Mancha A, Rodríguez F, Fernández G (2005) CONUT: a tool for controlling nutritional status. First validation in a hospital population. Nutr Hosp 20:38–45

    CAS  PubMed  PubMed Central  Google Scholar 

  35. Sze S, Pellicori P, Kazmi S, Rigby A, Cleland JGF, Wong K, Clark AL (2018) Prevalence and prognostic significance of malnutrition using 3 scoring systems among outpatients with heart failure: a comparison with body mass index. JACC Heart Fail 6:476–486

    PubMed  Article  PubMed Central  Google Scholar 

  36. Nohara R. Guidelines for rehabilitation in patients with cardiovascular disease (JCS 2012). 2012. http://www.j-circ.or.jp/guideline/pdf/JCS2012_nohara_h.pdf. Accessed 15 May 2020.

  37. Glantz SA, Slinker BK (2001) Multicollinearity and what to do about it. In: Glantz SA, Slinker BK (eds) Primer of applied regression and analysis of variance, 2nd edn. McGraw-Hill Education, New York, pp 185–240

    Google Scholar 

  38. Nii M, Maeda K, Wakabayashi H, Nishioka S, Tanaka A (2016) Nutritional improvement and energy intake are associated with functional recovery in patients after cerebrovascular disorders. J Stroke Cerebrovasc Dis 25:57–62

    PubMed  Article  PubMed Central  Google Scholar 

  39. Nip WFR, Perry L, McLaren S, Mackenzie A (2011) Dietary intake, nutritional status and rehabilitation outcomes of stroke patients in hospital. J Hum Nutr Diet 24:460–469

    CAS  PubMed  Article  PubMed Central  Google Scholar 

  40. Fülster S, Tacke M, Sandek A, Ebner N, Tschöpe C, Doehner W, Anker SD, von Haehling S (2013) Muscle wasting in patients with chronic heart failure: results from the studies investigating co-morbidities aggravating heart failure (SICA-HF). Eur Heart J 34:512–519

    PubMed  Article  CAS  PubMed Central  Google Scholar 

  41. LeMaitre JP, Harris S, Hannan J, Fox KA, Denvir MA (2006) Maximum oxygen uptake corrected for skeletal muscle mass accurately predicts functional improvements following exercise training in chronic heart failure. Eur J Heart Fail 8:243–248

    PubMed  Article  PubMed Central  Google Scholar 

  42. Clark BC, Manini TM, Bolanowski SJ, Ploutz-Snyder LL (2006) Adaptations in human neuromuscular function following prolonged unweighting: II. Neurological properties and motor imagery efficacy. J Appl Physiol 101:264–272

    PubMed  Article  PubMed Central  Google Scholar 

  43. Carrión S, Cabré M, Monteis R, Roca M, Palomera E, Serra-Prat M, Rofes L, Clavé P (2015) Oropharyngeal dysphagia is a prevalent risk factor for malnutrition in a cohort of older patients admitted with an acute disease to a general hospital. Clin Nutr 34:436–442

    PubMed  Article  PubMed Central  Google Scholar 

  44. Keys A, Brozek J, Henschel A, Mickelsen O, Taylor LH (1950) Chapter 9 morphology of some organs and tissues and chapter 10 morphology of the heart and blood vessels. The biology of human starvation, vol 1. University of Minnesota Press, Minneapolis, pp 184–208

    Chapter  Google Scholar 

  45. Leslie P, Drinnan MJ, Ford GA, Wilson JA (2005) Swallow respiratory patterns and aging: presbyphagia or dysphagia? J Gerontol A Biol Sci Med Sci 60:391–395

    PubMed  Article  PubMed Central  Google Scholar 

  46. Chen LK, Woo J, Assantachai P, Auyeung TW, Chou MY, Iijima K, Jang HC, Kang L, Kim M, Kim S, Kojima T, Kuzuya M, Lee JSW, Lee SY, Lee WJ, Lee Y, Liang CK, Lim JY, Lim WS, Peng LN, Sugimoto K, Tanaka T, Won CW, Yamada M, Zhang T, Akishita M, Arai H (2020) Asian working group for sarcopenia: 2019 consensus update on sarcopenia diagnosis and treatment. J Am Med Dir Assoc 21:300-307.e2

    PubMed  Article  PubMed Central  Google Scholar 

  47. Nakahara S, Takasaki M, Abe S, Kakitani C, Nishioka S, Wakabayashi H, Maeda K (2020) Aggressive nutrition therapy in malnutrition and sarcopenia. Nutrition 84:111109

    PubMed  Article  CAS  PubMed Central  Google Scholar 

Download references

Acknowledgements

The authors gratefully acknowledge the participation of all study patients and thank all colleagues in our department for their contribution to the medical care of the patients. We would also like to thank Editage (www.editage.jp) for English language editing.

Author information

Affiliations

Authors

Corresponding author

Correspondence to Junichi Yokota.

Ethics declarations

Conflict of interest

The authors declare that there is no conflict of interest. This research received no grant from any funding agency in the public, commercial, or not-for-profit sectors.

Additional information

Publisher's Note

Springer Nature remains neutral with regard to jurisdictional claims in published maps and institutional affiliations.

Rights and permissions

Reprints and Permissions

About this article

Verify currency and authenticity via CrossMark

Cite this article

Yokota, J., Endo, R., Takahashi, R. et al. Dysphagia and malnutrition limit activities of daily living improvement in phase i cardiac rehabilitation: a prospective cohort study for acute phase heart failure patients. Heart Vessels 36, 1306–1316 (2021). https://doi.org/10.1007/s00380-021-01814-1

Download citation

  • Received:

  • Accepted:

  • Published:

  • Issue Date:

  • DOI: https://doi.org/10.1007/s00380-021-01814-1

Keywords

  • Cardiac rehabilitation
  • Dysphagia
  • Malnutrition
  • Heart failure
  • Activities of daily living