Abstract
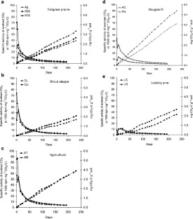
We compared lignocellulose (the second most abundant component of plant material) degradation over 8 months in contrasting soils from each of five sites across the United States with the aim of assessing which soils are likely to store more C. The soils were collected from a tallgrass prairie restoration (farmland, and plots restored in 1993 and 1979), the semiarid shrub-steppe (cool, moist upper slope and warm, dry lower slope soils), long-term farmland (no-till and conventional-till), and from two forest soils (loblolly pine and Douglas fir; fertilized and nonfertilized). Soils that rapidly metabolized freshly added C exploited endogenous and newly transformed C to a lesser degree over the course of the incubation (lower slope shrub-steppe, nonfertilized Douglas fir, and tallgrass prairie farmed and 1993 restorations). We also pooled the data to find a strong relationship between sand content and lignocellulose C remaining in the soil after 8 months (R=0.68) and also between short-term storage of lignocellulose C (at 7 days) and lignocellulose C remaining after 8 months (R=0.94). To predict C storage, models of C and soil properties must be modified to reflect the structure and function of microbial communities. Communities in richer soils may be more competent to use native C following fresh C additions when compared with communities in poorer soils.





Similar content being viewed by others
References
Amato M, Ladd JN (1992) Decomposition of 14C-labeled glucose and legume material in soils: properties influencing the accumulation of organic residue C and microbial biomass C. Soil Biol Biochem 24:455–464
Bailey VL, McGill WB (2002) Fate of 14C-labeled pyrene in a creosote- and octadecane in an oil-contaminated soil. Soil Biol Biochem 34:423–433
Bailey VL, Smith JL, Bolton H Jr (2002) Fungal-to-bacterial ratios in soils investigated for enhanced carbon sequestration. Soil Biol Biochem 34:1385–1389
Bingeman CW, Varner JE, Martin WP (1953) The effect of the addition of organic materials on the decomposition of an organic soil. Soil Sci Soc Am Proc 17:34–38
Bouyoucos G (1962) Hydrometer method improved for making particle size analysis of soils. Agron J 54:464–465
Chantigny MH, Angers DA, Rochette P (2002) Fate of carbon and nitrogen from animal manure and crop residues in wet and cold soils. Soil Biol Biochem 34:509–517
Côté L, Brown S, Paré D, Fyles J, Bauhus J (2000) Dynamics of carbon and nitrogen mineralization in relation to stand type, stand age and soil texture in the boreal mixedwood. Soil Biol Biochem 32:1079–1090
Cox P, Wilkinson SP, Anderson JM (2001) Effects of fungal inocula on the decomposition of lignin and structural polysaccharides in Pinus sylvestris litter. Biol Fertil Soils 33:246–251
Crawford DL, Crawford RL, Pometto AL III (1977) Preparation of specifically labeled 14C-(lignin)- and 14C-(cellulose)-lignocelluloses and their decomposition by the microflora of soil. Appl Environ Microbiol 33:1247–1251
Franzluebbers AJ, Arshad MA (1997) Particulate organic carbon content and potential mineralization as affected by tillage and texture. Soil Sci Soc Am J 61:1382–1386
Girisha GK, Condron LM, Clinton PW, Davis MR (2003) Decomposition and nutrient dynamics of green and freshly fallen radiata pine (Pinus radiata) needles. For Ecol Manag 179:169–181
Gregorich EG, Voroney RP, Kachanoski RG (1991) Turnover of carbon through the microbial biomass in soils with different texture. Soil Biol Biochem 23:799–805
Hook PB, Burke IC (2000) Biogeochemistry in a shortgrass landscape: control by topography, soil texture, and microclimate. Ecology 81:2686–2703
Jandl R, Kopeszki H, Bruckner A, Hager H (2003) Forest soil chemistry and mesofauna 20 years after an amelioration fertilization. Restor Ecol 11:239–246
Jastrow JD (1996) Soil aggregate formation and the accrual of particulate and mineral-associated organic matter. Soil Biol Biochem 28:665–676
Jenkinson DS (1966) The priming action. In: The use of isotopes in soil organic matter studies. FAO/IAEA technical meeting. Pergamon Press, Oxford, pp 199–208
Ladd JN, Monrozier LJ, Amato M (1992) Carbon turnover and nitrogen transformations in an Alfisol and Vertisol amended with [U-14C] glucose and [15N] ammonium sulfate. Soil Biol Biochem 24:359–371
Ladd JN, Foster RC, Nannipieri P, Oades JM (1996) Soil structure and biological activity. In: Stotzky G, Bollag JM (eds) Soil biochemistry, vol. 9. Marcel Dekker, New York, pp 23–78
Lang E, Nerud F, Zadrazil F (1998) Production of ligninolytic enzymes by Pleurotus sp. and Dichomitus squalens in soil and lignocellulose substrate as influenced by soil microorganisms. FEMS Microbiol Lett 167:239–244
Lang E, Kleeberg I, Zadrazil F (2000) Extractable organic carbon and counts of bacteria near the lignocellulose–soil interface during the interaction of soil microbiota and white rot fungi. Bioresour Technol 75:57–65
Link SO, Smith JL, Halvorson JJ, Bolton H (2003) A reciprocal transplant experiment within a climatic gradient in a semiarid shrub-steppe ecosystem: effects on bunchgrass growth and reproduction, soil carbon, and soil nitrogen. Glob Chang Biol 9:1097–1105
Paul EA, Collins HP, Paustian K, Elliott ET, Frey S, Juma N, Janzen H, Campbell CA, Zentner RP, Lafond GP, Moulin AP (2004) Management effects on the dynamics and storage rates of organic matter in long-term crop rotations. Can J Soil Sci 84:49–61
Saber N, Mrabet R (2002) Impact of no tillage and crop sequence on selected soil quality attributes of a vertic calcixeroll soil in Morocco. Agronomie 22:451–459
Saggar S, Parshotam A, Sparling GP, Feltham CW, Hart PBS (1996) 14C-labelled ryegrass turnover and residence times in soils varying in clay content and mineralogy. Soil Biol Biochem 28:1677–1686
Sauerbeck D (1966) A critical evaluations of incubation experiments on the priming effect of green manure. In: The use of isotopes in soil organic matter studies. FAO/IAEA technical meeting. Pergamon Press, Oxford, pp 209–222
Six J, Elliott ET, Paustian K, Doran JW (1998) Aggregation and soil organic matter accumulation in cultivated and native grassland soils. Soil Sci Soc Am J 62:1367–1377
Smith JL (1994) Cycling of nitrogen through microbial activity. In: Hatfield JL, Stewart BA (eds) Soil biology: effects on soil quality. CRC Press, Boca Raton, FL, pp 91–120
Smith JL, Halvorson JJ, Bolton H (2002) Soil properties and microbial activity across a 500 m elevation gradient in a semi-arid environment. Soil Biol Biochem 34:1749–1757
Sorensen H (1963) Studies on the decomposition of C14-labeled barley straw in soil. Soil Sci 95:45–51
Sorensen P, Ladd JN, Amato M (1996) Microbial assimilation of 14C of ground and unground plant materials decomposing in loamy sand and a clay soil. Soil Biol Biochem 28:1425–1434
Stott DE, Kassim G, Jarrell WM, Martin JP, Haider K (1983) Stabilization and incorporation into biomass of specific plant carbons during biodegradation in soil. Plant Soil 70:15–26
Tuomela M, Oivanen P, Hatakka A (2002) Degradation of synthetic C-14-lignin by various white-rot fungi in soil. Soil Biol Biochem 34:1613–1620
Vance ED, Brookes PC, Jenkinson DS (1987) An extraction method for measuring soil microbial biomass C. Soil Biol Biochem 19:703–707
Voroney RP, Winter JP, Beyaert RP (1993) Soil microbial biomass C and N. In: Carter MR (ed) Soil sampling and methods of analysis. Lewis Publishers, Boca Raton, pp 277–286
Yang XM, Kay BD (2001) Impacts of tillage practices on total, loose- and occluded-particulate, and humified organic carbon fractions in soils within a field in southern Ontario. Can J Soil Sci 81:149–156
Zibilske LM (1994) Carbon mineralization. In: Weaver RW, Angle JS, Bottomley PS (eds) Methods of soil analysis. Part 2. Microbiological and biochemical properties. Soil Science Society of America Book Series 5, Madison, WI, USA
Acknowledgements
The Consortium for Research on Enhanced Carbon Sequestration in Terrestrial Ecosystems is supported by the US Department of Energy (DOE), Office of Science, as part of the Terrestrial Carbon Sequestration program in the Office of Biological and Environmental Research. Additionally, we were also supported by the United States Department of Agriculture, Consortium for Agricultural Soils Mitigation of Greenhouse Gases. Pacific Northwest National Laboratory is operated for the DOE by Battelle Memorial Institute under contract number DE-AC05-76RL01830. We thank D. Bikfasy, S. Fansler, and H. Kostandarithes for their assistance on this project.
Author information
Authors and Affiliations
Corresponding author
Rights and permissions
About this article
Cite this article
Bailey, V.L., Smith, J.L. & Bolton, H. 14C Cycling in lignocellulose-amended soils: predicting long-term C fate from short-term indicators. Biol Fertil Soils 42, 198–206 (2006). https://doi.org/10.1007/s00374-005-0016-y
Received:
Revised:
Accepted:
Published:
Issue Date:
DOI: https://doi.org/10.1007/s00374-005-0016-y


