Abstract
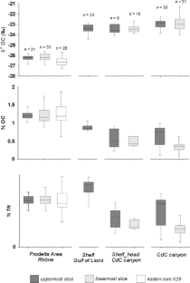
New coring data have been acquired along the western Gulf of Lions showing anomalous concentrations of methane (up to 95,700 ppm) off the Rhône prodelta and the head of the southern canyons Lacaze-Duthiers and Cap de Creus. Sediment cores were acquired with box and kasten cores during 2004–2005 on several EuroSTRATAFORM cruises. Anomalous methane concentrations are discussed and integrated with organic carbon data. Sampled sites include locations where previous surveys identified acoustic anomalies in high-resolution seismic profiles, which may be related to the presence of gas. Interpretation of the collected data has enabled us to discuss the nature of shallow gas along the Gulf of Lions, and its association with recent sedimentary dynamics. The Rhône prodelta flood deposits deliver significant amounts of terrigenous organic matter that can be rapidly buried, effectively removing this organic matter from aerobic oxidation and biological uptake, and leading to the potential for methanogenesis with burial. Away from the flood-related sediments off the Rhône delta, the organic matter is being reworked and remineralized on its way along the western coast of the Gulf of Lions, with the result that the recent deposits in the canyon contain little reactive carbon. In the southernmost canyons, Lacaze-Duthiers and Cap de Creus, the gas analyses show relatively little shallow gas in the core samples. Samples with anomalous gas (up to 5,000 ppm methane) are limited to local areas where the samples also show higher amounts of organic matter. The anomalous samples at the head of the southern canyons may be related to methanogenesis of recent drape or of older sidewall canyon infills.






Similar content being viewed by others
References
Aloïsi JC (1986) Sur un modèle de sédimentation deltaïque. Contribution à la connaissance des marges passives. Thèse, Université de Perpignan
Aloïsi JC, Monaco A (1980) Etude des structures sédimentaires dans les milieux deltaïques (Rhône). Apport à la connaissance des conditions de sédimentation et de diagenèse. C R Acad Sci Paris 290 D:159–162
Aloïsi JC, Millot C, Monaco A, Pauc H (1979) Dynamique des suspensions et mécanismes sédimentologiques sur le plateau continental du Golfe du Lion. C R Acad Sci Paris 289 D:879–882
Baztan J, Berné S, Olivet J-L, Rabineau M, Aslanian D, Gaudin M, Rehault J-P, Canals M (2005) Axial incision: the key to understand submarine canyon evolution (in the western Gulf of Lion). Mar Pet Geol 22(6/7):805–826
Castellon A, Salat J, Maso M (1985) Some observations on Rhone fresh water plume in the Catalan coast. In: CIES, Rapp Comm Int Mer Medit Monaco, pp 119–121
Chassefiere B (1990) Mass-physical properties of surficial sediments on the Rhône continental margin: implications for the nepheloid benthic layer. Cont Shelf Res 10(9/10):857–867
Courp T, Monaco A (1990) Sediment dispersal and accumulation on the continental margin of the Gulf of Lions: sedimentary budget. Cont Shelf Res 10:1063–1087
Diaz F, Raimbault P, Boudjellal B, Garcia N, Moutin T (2001) Early phosphorus limitation during spring in the Gulf of Lions. Mar Ecol, Progr Ser 211:51–62
Estournel C, Kondrachoff V, Marsaleix P, Vehil R (1997) The plume of the Rhône: numerical simulation and remote sensing. Cont Shelf Res 17(8):899–924
Fry B, Sherr EB (1984) δ13C measurements as indicators of carbon flow in marine and freshwater ecosystems. Mar Sci 27:13–47
García-García A, Orange D, Lorenson T, Radakovitch O, Tesi T, Miserocchi S, Berné S, Friend PL, Nittrouer C, Normand A (2006) Shallow gas studies off the Rhône prodelta, Gulf of Lions. Mar Geol 234:215–231
García-García A, Orange D, Lorenson T, Tesi T, Miserocchi S, Schoolmeester T, Levey M, Fabres J, Herbert I, Sansoucy M (2005) Shallow gas and high-resolution studies in an active canyon: Cap de Creus, Gulf of Lions. In: Abstr Vol AGU Fall Meeting, San Francisco, 5–9 December, no OS33C–1483
Gaudy R, Youssara F, Diaz F, Raimbault P (2003) Biomass, metabolism and nutrition of zooplankton in the Gulf of Lions (NW Mediterranean). Oceanol Acta 26(4):357–372
Goñi MA, Ruttenberg KC, Eglinton TI (1998) A reassessment of the sources and importance of land-derived organic matter in surface sediments from the Gulf of Mexico. Geochim Cosmochim Acta 62:3055–3075
Gordon ES, Goñi MA, Roberts QN, Kineke GC, Allison MA (2001) Organic matter distribution and accumulation on the inner Louisiana shelf west of the Atchafalaya River. Cont Shelf Res 21:1691–1721
Guieu C, Zhang J, Thomas AJ, Martin JM, Brun-cottan JC (1993) Significance of atmospheric fallout on the upper layer water chemistry of the North Western Mediterranean. J Atmos Chem 17:45–60
Hedges JI, Keil RG, Benner R (1997) What happens to terrestrial organic matter in the ocean? Org Geochem 27:195–212
Kettner AJ, Hutton EWH, Syvitski JPM (2004) Simulating the impact of the 2003 flood event of the Rhone river on the Gulf of Lions, France. In: Abstr Vol EOS Trans AGU Fall Meet 04
Leithold EL, Hope RS (1999) Deposition and modification of a flood layer on the northern California shelf: lessons from and about the fate of terrestrial particulate organic carbon. Mar Geol 154:183–195
Millot C (1981) La dynamique marine du plateau continental du Golfe du Lion en été. Doctor Thesis, University of Paris 6
Millot C (1999) Circulation in the Western Mediterranean Sea. J Mar Syst 20:423–442
Millot C, Crépon M (1981) Inertial oscillations on the continental shelf of the Gulf of Lions. Observations and theory. J Phys Oceanogr 11:639–657
Moutin T, Raimbault P, Golterman HL, Coaste B (1998) The input of nutrients by the Rhône river into the Mediterranean Sea: recent observations and comparison with earlier data. Hydrobiologia 373–374:237–246
Park R, Epstein S (1961) Metabolic fractionation of 13C and 12C in plants. Plant Physiol 36:133–138
Petrenko A, Leredde Y, Marsaleix P (2005) Circulation in a stratified and wind-forced Gulf of Lions, NW Mediterranean Sea: in situ and modeling data. Cont Shelf Res 25:7–27
Pinazo C, Marsaleix P, Millet B, Estournel C, Véhil R (1996) Coupled modelling of physical and biological processes in the Gulf of Lions (northwestern Mediterranean): spatial and temporal variability. J Phys Oceanogr 23:164–171
Popp BN, Laws EA, Bidigare RR, Dore JE, Hanson KL, Wakheman SG (1998) Effect of phytoplankton cell geometry on carbon isotopic fractionation. Geochim Cosmochim Acta 62:69–77
Rabineau M, Berné S, Ledrezen É, Lericolais G, Marsset T, Rotunno M (1998) 3D architecture of lowstand and transgressive Quaternary sand bodies on the outer shelf of the Gulf of Lion, France. Mar Pet Geol 15:439–452
Rabineau M, Berné S, Aslanian D, Olivet J-L, Joseph P, Guillocheau F, Bourillet J-F, Ledrezen E, Granjeon D (2005) Sedimentary sequences in the Gulf of Lion: a record of 100,000 years of climatic cycles. Mar Pet Geol 22(6/7):775–804
Raimbault P, Durrieu de Madron X (2003) Research activities in the Gulf of Lion (NW Mediterranean) within the 1997–2001 PNEC Project. Oceanol Acta 26(4):291–298
Redfield AC, Ketchum BH, Richards FA (1963) The influence of organisms on the composition of seawater. In: Hill MN (ed) The sea, vol 2. Wiley, New York, pp 26–77
Roussiez V, Aloisi JC, Monaco A, Ludwig W (2005) Early muddy deposits along the Gulf of Lions shoreline: a key for a better understanding of land-to-sea transfer of sediments and associated pollutant fluxes. Mar Geol 222–223:345–358
Teeri JA, Stowe LG (1976) Climatic patterns and the distribution of C4 grasses in North America. Oecologia 23:1–12
Tesi T, Miserocchi S, Goñi MA, Langone L (2006) Comparative organic geochemistries in surficial sediments from the Rhône (France) and Po (Italy) prodelta area. In: Abstr Vol Ocean Science Meet, Honolulu (HI), 20–24 February, no OS16A–34
Tesi T, Miserocchi S, Goñi MA, Langone L (2007) Source, transport and fate of terrestrial organic carbon on the western Mediterranean Sea, Gulf of Lions, France. Mar Chem (in press). DOI 10.1016/j.marchem.2007.01.005
Thill A, Moustier S, Garnier JM, Estournel C, Naudin JJ, Bottero JY (2001) Evolution of particle size and concentration in the Rhône river mixing zone: influence of salt flocculation. Cont Shelf Res 21:2127–2140
Thomas AJ (1997) Input of artificial radionuclides to the Gulf of Lions and tracing the Rhône influence in marine surface sediments. Deep Sea Res Pt II 44:577–595
Acknowledgements
We thank all of the scientific staff and crews from the R/V Oceanus, R/V Endeavor, R/V Antedon II and R/V Tethys II cruises as well as our EuroSTRATAFORM colleagues for their collaboration and assistance. We thank IFREMER for sharing the regional bathymetric dataset. The research herein was funded by the U.S. Navy through the Office of Naval Research EuroSTRATAFORM project (contract number N00014-03-1-142, D. Orange) and also funded by the contract number N00014-98-1-0073. We thank the University of Victoria (M. Whiticar) for isotopic analyses of headspace gases. This is ISMAR-Bologna contribution number 1529. Constructive reviews by Dr. Upstill-Goddard and an anonymous reviewer have improved the manuscript. We also thank the editors of this special issue Dr. S. García-Gil and Dr. A. Judd for their help along the revision process.
Author information
Authors and Affiliations
Corresponding author
Rights and permissions
About this article
Cite this article
García-García, A., Tesi, T., Orange, D. et al. Understanding shallow gas occurrences in the Gulf of Lions. Geo-Mar Lett 27, 143–154 (2007). https://doi.org/10.1007/s00367-007-0067-1
Received:
Accepted:
Published:
Issue Date:
DOI: https://doi.org/10.1007/s00367-007-0067-1


