Abstract
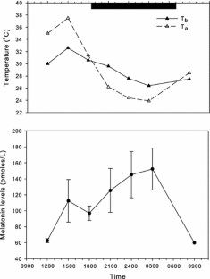
The vertebrate pineal gland is the primary source of melatonin, the rhythmic secretion of which is influenced by environmental light and temperature, thereby providing animals with information about seasonally changing photoperiod and thermoperiod. Although pineal glands are present in the majority of vertebrate species, a discrete organ is reported to be absent in the Crocodilia. However, if the melatonin rhythm is crucial to the survival of the organism, it would be expected that the rhythm would be present in crocodiles. In the present study, we measured blood plasma melatonin over a 30-h period in aestivating Australian freshwater crocodiles (Crocodylus johnstoni) in their natural habitat at the end of the dry season (November) and found no discernible melatonin rhythm. However, another group of captive-reared C. johnstoni, maintained under natural light and temperature cycles and sampled in the early dry season (June) showed a clear melatonin rhythm. These results suggest that there is either an extrapineal source of melatonin in this crocodile species or that there is melatonin producing tissue elsewhere which heretofore has not been discovered. Further studies are needed to determine why the melatonin rhythm is intermittently expressed and whether this may be related to seasonal changes in the expression of the rhythm linked to tropical environments.
This is a preview of subscription content, access via your institution.


References
Bertolucci C, Foa A, van’t Hof TJ (2002) Seasonal variations in circadian rhythms of plasma melatonin in ruin lizards. Horm Behav 41:414–419
Bertolucci C, Wagner G, Foa A, Gwinner E, Brandstatter R (2003) Photoperiod affects amplitude but not duration of in vitro melatonin production in the ruin lizard (Podarcis sicula). J Biol Rhythms 18:63–70
Christian KA, Green B, Kennett R (1996) Some physiological consequences of estivation by freshwater crocodiles, Crocodylus johnstoni. J Herpetol 30:1–9
Christian KA, Bedford GS, Schultz TJ (1999) Energetic consequences of metabolic depression in tropical and temperate-zone lizards. Aust J Zool 47:133–141
Earl CR, D’Occhio MJ, Kennaway DJ, Seamark RF (1985) Serum melatonin profiles and endocrine responses of ewes exposed to a pulse of light late in the dark phase. Endocrinol 117:226–230
Falcon J (1999) Cellular circadian clocks in the pineal. Prog Neurobiol 58:121–162
Firth BT, Kennaway DJ (1987) Melatonin content of the pineal, parietal eye and blood plasma of the lizard, Trachydosaurus rugosus: effect of constant and fluctuating temperature. Brain Res 404:313–318
Firth BT, Kennaway DJ (1989) Thermoperiod and photoperiod interact to affect the phase of the plasma melatonin rhythm in the lizard Tiliqua rugosa. Neurosci Lett 106:125–130
Firth BT, Turner JS (1982) Sensory, neural and hormonal aspects of thermoregulation. In: Gans C, Pough FH (eds) Biology of the reptilia, vol 12. Academic Press, New York, pp 213–274
Firth BT, Kennaway DJ, Rozenbilds MAM (1979) Plasma melatonin in the scincid lizard Trachydosaurus rugosus: diel rhythm, seasonality and the effect of constant light and darkness. Gen Comp Endocrinol 37:493–500
Firth BT, Thompson MB, Kennaway DJ, Belan I (1989) Thermal sensitivity of reptilian melatonin rhythms: “cold” tuatara vs. “warm” skink. Am J Physiol 256(Reg Int Comp Physiol 25):R1160–R1163
Firth BT, Belan I, Kennaway DJ, Moyer RW (1999) Thermocyclic entrainment of lizard blood plasma melatonin rhythms in constant and cyclic photic environments. Am J Physiol 277(Reg Int Comp Physiol 46): R1620–R1626
Firth BT, Belan I, Kennaway DJ (2006) Persistence of a plasma melatonin rhythm in constant darkness and its inhibition by constant light in the sleepy lizard, Tiliqua rugosa. J Pineal Res 41:15–20
Foa A, Bertolucci C (2003) Toward a seasonal model of the circadian system: the case for ruin lizards. Front Biosci 8:S236–S242
Foa A, Menaker M (1988) Contribution of the pineal and the retinae to the circadian rhythms of circulating melatonin in pigeons. J Comp Physiol A 104:25–30
Gundy GC, Ralph CL, Wurst GZ (1975) Parietal eyes in lizards: zoogeographical correlates. Science NY 190:671–673
Huether G (1993) The contribution of extrapineal sites of melatonin synthesis to circulating melatonin levels in higher vertebrates. Experientia 49:665–670
Innocenti A, Minutini L, Foa A (1993) The pineal and circadian rhythms of temperature selection and locomotion in lizards. Physiol Behav 53:911–915
Jessop TS, Limpus CJ, Whittier JM (2002) Nocturnal activity in the green sea turtle alters daily profiles of melatonin and corticosterone. Horm Behav 41:357–365
Jessop TS, Tucker AD, Limpus CJ, Whittier JM (2003) Interactions between ecology, demography, capture stress, and profiles of corticosterone and glucose in a free-living population of Australian freshwater crocodiles. Gen Comp Endocrinol 132:161–170
Kavaliers M, Ralph CL (1980) Circadian organization of an animal lacking a pineal organ; the young American alligator, Alligator mississippienses. J Comp Physiol 139:287–292
Kavaliers M, Ralph CL (1981) Encephalic photoreceptor involvement in the entrainment and control of circadian activity of young American alligators. Physiol Behav 26:413–418
Korf H-W (1994) The pineal organ as a component of the biological clock: phylogenetic and ontogenetic considerations. Ann NY Acad Sci 719:13–42
Lance VA, Morici LA, Elsey RM (2000) Physiology and endocrinology of stress in crocodilians. In: Grigg GC, Seebacher R, Franklin CE (eds) Crocodilian biology and evolution. Surrey Beatty and Sons, Chipping Norton, NSW Australia, pp 327–340
Lance VA, Elsey RM, Butterstein G, Trosclair PL (2004) Rapid suppression of testosterone secretion after capture in male American alligators (Alligator mississippienses). Gen Comp Endocrinol 135:217–222
Menaker M, Wisner S (1983) Temperature compensated circadian clock in the pineal of Anolis. Proc Natl Acad Sci USA Biol Sci 80:6119–6121
Mendonca MT, Tousignant AJ, Crews D (1995) Seasonal changes and annual variability in daily plasma melatonin in the red-sided garter snake (Thamnophis sirtalis parietalis). Gen Comp Endocrinol 100:226–237
Owens DW, Gern WA, Ralph CL (1980) Melatonin in the blood and cerebrospinal fluid of the green sea turtle (Chelonia mydas). Gen Comp Endocrinol 40:180–187
Quay WB (1979) The parietal eye—pineal complex. In: Gans C, Northcutt RG, Ulinski P (eds) Biology of the reptilia, vol 9. Academic Press, New York, pp 245–406
Revel FG, Herwig A, Garidou M-L, Dardente H, Menet JS, Masson-Pevet M, Simonneaux V, Saboureau M, Pevet P (2007) The circadian clock stops ticking during deep hibernation in the European hamster. Proc Natl Acad Sci USA 104:13816–13820
Rismiller PD, Heldmaier G (1987) Melatonin and photoperiod affect body temperature selection in the lizard Lacerta viridis. J Therm Biol 12:131–134
Roth JJ, Gern WA, Roth EC, Ralph CL, Jacobson E (1980) Nonpineal melatonin in the alligator (Alligator mississippienses). Science NY 210:548–550
Seebacher F (1999) Behavioural postures and the rate of body temperature change in wild freshwater crocodiles, Crocodylus johnstoni. Physiol Biochem Zool 72:57–63
Seebacher F, Grigg GC (1997) Patterns of body temperature in wild freshwater crocodiles, Crocodylus johnstoni: thermoregulation verus thermoconformity, seasonal acclimatization, and the effect of social interactions. Copeia 1997:549–557
Smith JG, Christian KA, Green B (2008) Physiological ecology of the mangrove dwelling varanid, Varanus indicus. Physiol Biochem Zool 81:561–569
Sorenson AD (1894) Comparative study of the epiphysis and roof the diencephalon. J Comp Neurol 4:153–170
Tast A, Halli O, Ahström S, Andersson H, Love RJ, Peltoniemi OAJ (2001) Seasonal alterations in circadian melatonin rhythms of the European wild boar and domestic gilt. J Pineal Res 30:43–49
Tilden AR, Hutchison VH (1993) Influence of photoperiod and temperature on serum melatonin in the diamondback water snake, Nerodia rhombifera. Gen Comp Endocrinol 92:347–354
Tosini G, Menaker M (1996) The pineal complex and melatonin affect the expression of the daily rhythm of behavioral thermoregulation in the green iguana. J Comp Physiol A 179:135–142
Tosini G, Menaker M (1998) Multioscillatory circadian organization in a vertebrate, Iguana iguana. J Neurosci 18:1105–1114
Underwood H (1977) Circadian organization in lizards: the role of the pineal organ. Science 195:587–589
Underwood H (1983) Circadian organization in the lizard Anolis carolinensis: a multioscillatory system. J Comp Physiol 152:265–274
Underwood H, Calaban M (1987) Pineal melatonin rhythms in the lizard Anolis carolinensis I. Response to light and temperature cycles. J Biol Rhythms 2:179–193
Underwood H, Harless M (1985) Entrainment of the circadian activity rhythm of a lizard to melatonin injections. Physiol Behav 35:267–270
Underwood H, Binkley S, Siopes T, Mosher K (1984) Melatonin rhythms in the eyes, pineal bodies, and blood of Japanese quail (Coturnix coturnix japonica). Gen Comp Endocrinol 56:70–81
Underwood H, Wassmer GT, Page T (1997) Daily and seasonal rhythms. In: Dantzler WH (ed) Handbook of physiology, section 13: comparative physiology, vol II. Oxford University Press, New York, pp 1653–1763
Van’t Hof TJ, Gwinner E (1998) A highly rudimentary circadian profile in a nocturnal bird, the barn owl (Tyto alba). Naturwissenschaften 85:402–404
Vivien-Roels B, Arendt J, Bradke J (1979) Circadian and circannual fluctuations of pineal indoleamines (serotonin and melatonin) in Testudo hermanni Gmelin (Reptilia, Chelonia) 1. Under natural conditions of photoperiod and temperature. Gen Comp Endocrinol 37:197–210
Acknowledgments
We thank Ajio Pereira for help in the field and Shawn Rowe for technical assistance with the melatonin assays. Financial support was provided by grants from the University of Adelaide Faculty of Health Sciences. This research was conducted with approval and permits from the Northern Territory University (now called Charles Darwin University) Animal Experimentation Ethics Committee and the Conservation Commission of the Northern Territory, Australia.
Author information
Authors and Affiliations
Corresponding author
Additional information
Communicated by G. Heldmaier.
Rights and permissions
About this article
Cite this article
Firth, B.T., Christian, K.A., Belan, I. et al. Melatonin rhythms in the Australian freshwater crocodile (Crocodylus johnstoni): a reptile lacking a pineal complex?. J Comp Physiol B 180, 67–72 (2010). https://doi.org/10.1007/s00360-009-0387-8
Received:
Revised:
Accepted:
Published:
Issue Date:
DOI: https://doi.org/10.1007/s00360-009-0387-8
Keywords
- Crocodylus johnstoni
- Freshwater crocodile
- Melatonin rhythm
- Pineal gland