Abstract
Global surface pressure measurements have been carried out on a 7° half-angle circular cone/flare model at nominally zero angle of attack using pressure-sensitive paint (PSP). These experiments were conducted to illustrate the PSP technique’s usefulness and effectiveness at measuring the unsteady structures inherent to hypersonic shock-wave/boundary-layer interactions (SWBLI) on a global scale. Mean and fluctuating surface pressure was measured with a temperature-corrected, high-frequency-response (\(\approx 10\) kHz) anodized-aluminum pressure-sensitive paint (AA-PSP). This AA-PSP was made in-house to provide the high frequency response required. Methodologies for tracking the boundary-layer separation and reattachment shock feet in both time-averaged and instantaneous senses are provided and discussed. Excellent agreement is observed between the different metrics. In addition, spectral analyses were conducted on a global scale providing insights into the unsteady dynamics of the shock feet and structures under the separated shear layer. These spectral analyses identified a smooth, low-frequency bandwidth centered at \(\approx 500\) Hz, which is characteristic of the shock-foot oscillations. These experimental findings validate the usefulness of AA-PSP to provide global physical insights of unsteady SWBLI surface behavior in the hypersonic flow regime. Similar methodologies can be incorporated in future experiments to investigate complex and novel SWBLI.
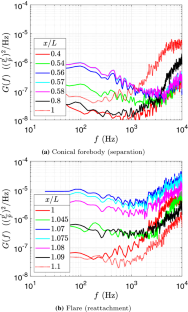
Graphic abstract
















References
Anderson J (2006) Hypersonic and high temperature gas dynamics, chap 7, 2nd edn. American Institute of Aeronautics and Astronautics Inc., Reston
Arnal D, Délery J (2005) Laminar-turbulent transition and shock wave/boundary layer interaction. Technical Report 116, RTO-EN-AVT
Asma C, Paris S, Tapsoba M (2002) Transitional shock-wave boundary layer interaction over a cone-flare model at hypersonic conditions. ESASP Paper 487
Babinsky H, Harvey J (2011) Shock wave-boundary-layer interactions. Cambridge University Press, New York
Baccarella D, Liu Q, Passaro A, Lee T, Do H (2016) Development and testing of the ACT-1 experimental facility for hypersonic combustion research. Meas Sci Technol 27:4
Bell JH, Schairer ET, Hand LA, Mehta RD (2001) Surface pressure measurements using luminescent coatings. Annu Rev Fluid Mech 33(1):155–206
Benay R, Chanetz B, Mangin B, Vandomme L, Perraud J (2006) Shockwave/transitional boundary-layer interactions in hypersonic flow. AIAA J 44(6):1243–1254
Bogdonoff SM (1955) Some experimental studies of the separation of supersonic boundary layers. Princeton University, Dept. of Aeronautical Engineering, Report 336
Bur R, Chanetz B (2009) Experimental study on the PRE-X vehicle focusing on the transitional shock-wave/boundary-layer interactions. Aerosp Sci Technol 13(7):393–401
Casper KM, Beresh SJ, Henfling JF, Spillers RW, Hunter P, Spitzer S (2018) Hypersonic fluid–structure interactions on a slender cone. AIAA Paper 2018-1825
Cheng T, Deng D, Herman C (2012) Curvature effect quantification for in-vivo IR thermography. In: Proceedings, international mechanical engineering congress and exposition, vol 2
Clemens NT, Narayanaswamy V (2014) Low-frequency unsteadiness of shock wave/turbulent boundary layer interactions. Annu Rev Fluid Mech 46:469–492
Currao GMD, McQuellin LP, Neely AJ, Zander F, Buttsworth DR, McNamara JJ, Iahn I (2019) Oscillating shock impinging on a flat plate at Mach 6. AIAA Paper 2019-3077
de Luca L, Cardone G, de la Chevalerie D, Fonteneau A (1995) Viscous interaction phenomena in hypersonic wedge flow. AIAA J 33(12):2293–2298
de la Chevaleria DA, Fonteneau A, Luca LD, Cardone G (1997) Görtler-type vortices in hypersonic flows: the ramp problem. Exp Therm Fluid Sci 15(2):69–81
Degrez G, Simeonides G, Delery J, Vandromme D, Dolling D, Knight D (1993) Shock-wave/boundary-layer interaction in supersonic and hypersonic flows. Report 792. Advisory Group for Aerospace Research and Development
Dieudonne W, Boerrigter H, Charbonnier J (1997) Hypersonic flow on a blunted cone-flare model and in the VKI-H3 Mach 6 wind tunnel. von Karman Institute Technical Note 193
Dolling DS (2001) Fifty years of shock-wave/boundary-layer interaction research: What next? AIAA J 39(8):1517–1531
Dupont P, Haddad C, Debiéve JF (2006) Space and time organization in a shock-induced separated boundary layer. J Fluid Mech 559:255–277
Dussauge JP, Piponniau S (2008) Shock/boundary-layer interactions: possible sources of unsteadiness. J Fluid Struct 24:1166–1175
Dwivedi A, Sidharth GS, Nichols JW, Candler GV, Jovanovic MR (2019) Reattachment streaks in hypersonic compression ramp flow: an input–output analysis. J Fluid Mech 880:113–135
Erengil ME, Dolling DS (1990) Unsteady wave structure near separation in a Mach 5 compression ramp interaction. AIAA J 29(5):728–735
Funderburk ML, Narayanaswamy V (2019) Spectral signal quality of fast pressure sensitive paint measurements in turbulent shock-wave/boundary layer interactions. Exp Fluids 60(154):1–20
Gaitonde D (2015) Progress in shock wave/boundary layer interactions. Prog Aerosp Sci 72:80–99
Ginoux JJ (1971) Streamwise vortices in reattaching high-speed flows: a suggested approach. AIAA J 9(4):759–760
Green J (1970) Interactions between shock waves and turbulent boundary layers. Prog Aerosp Sci 11:235–340
Gregory JW, Sakaue H, Liu T, Sullivan JP (2014) Fast pressure-sensitive paint for flow and acoustic diagnostics. Annu Rev Fluid Mech 46:303–330
Hangai T, Kameda M, Nakakita K, Asai K (2002) Time response characteristics of pyrene-based pressure-sensitive coatings on anodic porous alumina. In: 10th International symposium on flow visualization 222(F0269)
Hedlund B, Houpt A, Gordeyev S, Leonov S (2017) Measurement of plasma induced flow perturbations affecting a Mach 4.5 corner separation zone. AIAA Paper 2017-0154
Heffner K, Chpoun A, Lengrand J (1993) Experimental study of transitional axisymmetric shock-boundary layer interactions at Mach 5. AIAA Paper 1993-3131
Hoberg EM, Huffman C, Sanchez-Plesha N, Running CL, Kato N, Im S, Juliano TJ (2019) Characterization of test conditions in the Notre Dame Arc-Heated Wind Tunnel. AIAA Paper 2019-3093
Holden M (1991) Studies of the mean and unsteady structure of turbulent boundary layer separation in hypersonic flow. AIAA Paper 1991-1778
Holden M (1998) Shock interaction phenomena in hypersonic flows. AIAA Paper 1998-2751
Holden M, Carr Z, MacLean M, Wadhams T (2018) Measurements in regions of shock wave/turbulent boundary layer interactions from Mach 5 to 6 at flight duplicated velocities to evaluate and improve the models of turbulence in CFD codes. AIAA Paper 2018-3706
Juliano TJ, Peng D, Jensen C, Gregory JW, Liu T, Montefort J, Palluconi S, Crafton J, Fonov S (2011) PSP measurements on an oscillating NACA 0012 airfoil in compressible flow. AIAA Paper 2011-3728
Kameda M, Tezuka N, Hangai T, Nakakita K, Amao Y (2004) Adsorptive pressure-sensitive coatings on porous anodized aluminium. Meas Sci Technol 15(3):489–500
Kaufman LG, Korkegi RH, Morton L (1972) Shock impingement caused by boundary layer separation ahead of blunt fins. ARL 72-0118
Kavandi JL, Callis JB, Gouterman MP, Khalil G, Wright D et al (1990) Luminescent barometry in wind tunnels. Rev Sci Instrum 61:3340–3347
Kimmel RL, Adamczak DW, Paull A, Shannon J, Pietsch R, Frost M, Alesi H (2011) HIFiRE-1 preliminary aerothermodynamic measurements. AIAA Paper 2011-3413
Kistler AL (1964) Fluctuating wall pressure under a separated supersonic flow. J Acoust Soc Am 36(3):543–550
Kline SJ, McClintock FA (1953) Describing uncertainties in single-sample experiments. Mech Eng 75(1):3–8
Lash LE, Combs CS, Kreth PA, Schmisseur JD (2017) Study of the dynamics of transitional shock wave-boundary layer interactions using optical diagnostics. AIAA Paper 2017-3123
Leinemann M, Radespiel R, Muñoz F, Esquieu S, McKiernan G, Schneider SP (2019) Boundary layer transition on a generic model of control flaps in hypersonic flow. AIAA Paper 2019-1908
Lemmon EW, Jacobsen RT (2004) Viscosity and thermal conductivity equations for nitrogen, oxygen, argon, and air. Int J Thermophys 25(1):21–69
Liu T, Sullivan JP (2005) Pressure and temperature sensitive paints, 1st edn. Springer, Berlin
Liu T, Campbell B, Bruns S, Sullivan JP (1997) Temperature- and pressure-sensitive luminescent paints in aerodynamics. Appl Mech Rev 50(4):227–246
Liu T, Guille M, Sullivan JP (2001) Accuracy of pressure sensitive paint. AIAA J 39(1):103–112
Maclean M, Wadhams T, Holden M, Johnson H (2008) Ground test studies of the HIFiRE-1 transition experiment Part 2: computational analysis. J Spacecr Rockets 45(6):1149–1164
Mears LJ, Baldwin A, Ali MY, Kumar R, Alvi FS (2020) Spatially resolved mean and unsteady surface pressure in swept SBLI using PSP. Exp Fluids 61(92):1–14
Morita K, Suzuki K, Imamura O, Sakaue H (2011) Temperature-cancelled anodized-aluminum pressure sensitive paint for hypersonic wind tunnel application. AIAA Paper 2011-3724
Numata D, Fujii S, Nagai H, Asai K (2017) Ultrafast-response anodized-aluminum pressure-sensitive paints for unsteady flow measurement. AIAA J 55(4):1118–1125
Olivier F, Jacques C, Jean-Paul C (2016) Numerical analysis of a separated flow on a supersonic cone-flare model. AIAA Paper 2016-3424
Pandey A, Casper KM, Spillers R, Soehnel M, Spitzer S (2020) Hypersonic shock wave-boundary-layer interaction on the control surface of a slender cone. AIAA Paper 2020-0815
Piponniau S, Dussauge JP, Debiéve JF, Dupont P (2009) A simple model for low-frequency unsteadiness in shock-induced separation. J Fluid Mech 629:87–108
Poggie J, Bisek NJ, Kimmel RL, Stanfield SA (2015) Spectral characteristics of separation shock unsteadiness. AIAA J 53(1):200–214
Price AE, Stallings RL (1967) Investigation of turbulent separated flows in the vicinity of fin type protuberances at supersonic Mach numbers. NASA TN D-3840
Priebe S, Tu JH, Rowley CW, Martin MP (2016) Low-frequency dynamics in a shock-induced separated flow. J Fluid Mech 807:441–477
Roghelia A, Olivier H, Egorov I, Chuvakhov P (2017) Experimental investigation of Görtler vortices in hypersonic ramp flows. Exp Fluids 58(139)
Running CL (2019) Hypersonic boundary-layer separation measurements. Master’s thesis, University of Notre Dame, Notre Dame, IN
Running CL (2020) Global measurements of axisymmetric hypersonic shock-wave/boundary-layer interactions. PhD thesis, University of Notre Dame, Notre Dame, IN
Running CL, Thompson MJ, Juliano TJ, Sakaue H (2017) Boundary-layer separation detection for a cone at high angle of attack in Mach 4.5 flow with pressure-sensitive paint. AIAA Paper 2017-3120
Running CL, Juliano TJ, Jewell JS, Borg MP, Kimmel RL (2019a) Hypersonic shock-wave/boundary-layer interactions on a cone/flare. Exp Therm Fluid Sci 109:109911
Running CL, Sakaue H, Juliano TJ (2019) Hypersonic boundary-layer separation detection with pressure-sensitive paint for a cone at high angle of attack. Exp Fluids 60(23):1–13
Running CL, Juliano TJ, Borg MP, Kimmel RL (2020) Characterization of post-shock thermal striations on a cone/flare. AIAA J 58(5):2352–2358
Sakaue H (2005) Luminophore application method of anodized aluminum pressure sensitive paint as a fast responding global pressure sensor. Rev Sci Instrum 76(084101)
Sakaue H, Ishii K (2010) A dipping duration study for optimization of anodized-aluminum pressure-sensitive paint. Sensors 10:9799–9807
Sakaue H, Ishii K (2010) Optimization of anodized-aluminum pressure-sensitive paint by controlling luminophore concentration. Sensors 10:6836–6847
Sakaue H, Sullivan JP (2001) Time response of anodized aluminum pressure-sensitive paint. AIAA J 39(10):1944–1949
Sakaue H, Matsumura S, Schneider SP, Sullivan JP (2002) Anodized aluminum pressure sensitive paint for short duration testing. AIAA Paper 2002-2908
Sansica A, Sandham ND, Hu Z (2016) Instability and low-frequency unsteadiness in a shock-induced laminar separation bubble. J Fluid Mech 798:5–26
Schairer E (2001) Optimum thickness of pressure-sensitive paint for unsteady measurements. AIAA J 40(11):2312–2318
Schrijer F, Scarano F (2003) Experiments on hypersonic boundary layer separation and reattachment on a blunted cone-flare using quantitative infrared thermography. AIAA Paper 2003-6967
Schülein E (2014) Effects of laminar-turbulent transition on the shock-wave/boundary-layer interaction. AIAA Paper 2014-3332
Souverein LJ, Bakker PG, Dupont P (2013) A scaling analysis for turbulent shock-wave/boundary-layer interactions. J Fluid Mech 714:505–535
Stanfield SA, Kimmel RL, Adamczak DW (2012) HIFiRE-1 flight data analysis: Turbulent shock-boundary-layer interaction experiment during ascent. AIAA Paper 2012-2703
Stern O, Volmer M (1919) Uber die abklingungszeit der fluoresznez. Phys Z 20:183–188
Taira K, Brunton SL, Dawson STM, Rowley CW, Colonius T, McKeon BJ, Schmidt OT, Gordeyev S, Theofilis V, Ukeiley LS (2017) Modal analysis of fluid flows: an overview. AIAA J 55(12):4013–4041
Thiele T, Gülhan A, Olivier H (2018) Instrumentation and aerothermal postflight analysis of the rocket technology flight experiment ROTEX-T. J Spacecr Rockets 55(5):1050–1073
Thomas FO, Putnam CM, Chu HC (1994) On the mechanism of unsteady shock oscillation in shock wave/turbulent boundary layer interactions. Exp Fluids 18:69–81
Vandomme L, Chanetz B, Benay R, Perraud J (2003) Transitional shock wave boundary layer interactions in hypersonic flow at Mach 5. AIAA Paper 2003-6966
Vanstone L, Goller T, Clemens NT, Mears LJ (2019) Separated flow unsteadiness in a Mach 2 swept compression-ramp interaction using high-speed PSP. AIAA Paper 2019-3647
Varigonda SV, Narayanaswamy V, Boxx I (2020) Investigations of FSI generated by an impinging SBLI on a thin panel using multivariate imaging of flow/structural properties. AIAA Paper 2020-3001
Vermeulen JP, Simeonides G (1992) Parametric studies of shock wave/boundary layer interactions over 2D compression corners at Mach 6. Tech. Rep. 181, von Karman Institute for Fluid Dynamics
Wadhams T, Mundy E, Maclean M, Holden M (2008) Ground test studies of the HIFiRE-1 transition experiment Part 1: experimental results. J Spacecr Rockets 45(6):1134–1148
Welch PD (1967) The use of fast Fourier transform for the estimation of power spectra: a method based on time averaging over short, modified periodograms. IEEE Trans Audio Electroacoust 15(2):70–73
Whalen T, Kennedy R, Laurence S, Sullivan B, Bodony D, Buck G (2019) Unsteady surface and flowfield measurements in ramp-induced turbulent and transitional shock-wave boundary-layer interactions at Mach 6. AIAA Paper 2019-1127
Willems S, Gülhan A (2013) Experiments on shock induced laminar-turbulent transition on a flat plate at Mach 6. Technical Report. European conference for aeronautics and space sciences (EUCASS)
Willems S, Gülhan A, Steelant J (2015) Experiments on shock induced laminar-turbulent transition on the SWBLI in H2K at Mach 6. Exp Fluids 6:56
Winkelmann AE (1972) Experimental investigations of a fin protuberance partially immersed in a turbulent boundary layer at Mach 5. NOLTR-72-33
Acknowledgements
The authors would like to thank Prof. Hirotaka Sakaue and graduate research assistant Daiki Kurihara for their assistance developing the AA-PSP. In addition, thanks goes out to Prof. Sergey Leonov and Prof. Seongkyun Im for allowing access to ACT-1.
Author information
Authors and Affiliations
Corresponding author
Additional information
Publisher's Note
Springer Nature remains neutral with regard to jurisdictional claims in published maps and institutional affiliations.
Rights and permissions
About this article
Cite this article
Running, C.L., Juliano, T.J. Global measurements of hypersonic shock-wave/boundary-layer interactions with pressure-sensitive paint. Exp Fluids 62, 91 (2021). https://doi.org/10.1007/s00348-021-03194-8
Received:
Revised:
Accepted:
Published:
DOI: https://doi.org/10.1007/s00348-021-03194-8