Abstract
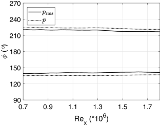
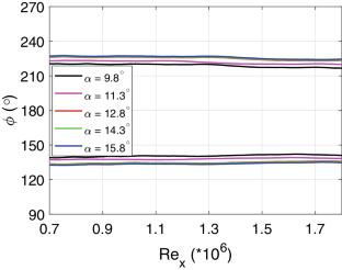
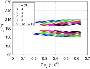
A measurement technique for identifying lee-side crossflow-induced boundary-layer separation on a blunt \(7^{\circ }\) half-angle circular cone at high angle of attack has been developed and tested. Previous work has shown that local minima in root-mean-squared (rms) pressure fluctuations on the surface are good identifiers of separation. These surface pressure fluctuations are measured with a temperature-corrected, high-frequency-response anodized-aluminum pressure-sensitive paint (AA-PSP). This AA-PSP was made in-house to provide the high frequency response required for this work. The sensor’s frequency response of 3 kHz proved to be fast enough to detect lines of local minimum rms pressure fluctuations indicative of separation on the lee side of the cone for angles of attack from \(9.8^{\circ }\) to \(15.8^{\circ }\). A shift in the separation location towards the windward side of the model was observed as angle of attack increased; however, the separation location converged to a constant azimuth for angles of attack greater than or equal to \(1.8\times\) the cone’s half angle.

















Abbreviations
- I :
-
Paint intensity (counts)
- M :
-
Mach number
- p :
-
Pressure (kPa)
- Re :
-
Unit Reynolds number (/m)
- T :
-
Temperature (K)
- w :
-
Uncertainty (%)
- x :
-
Streamwise distance(\(x=0\) at the model tip) (mm)
- y :
-
Spanwise distance (\(y=0\) on the model centerline) (mm)
- \(\alpha\) :
-
Angle of attack (\(^{\circ }\))
- \(\theta\) :
-
Cone half angle (\(^{\circ }\))
- \(\varPhi\) :
-
Gas concentration (\(\%\))
- \(\phi\) :
-
Azimuth (\(\phi =0^{\circ }\) along windward ray) (\(^{\circ }\))
- cal:
-
Value based on calibration
- cam:
-
Value based on camera
- ref:
-
Reference condition
- rms:
-
Root-mean-squared fluctuation
- temp:
-
Value based on temperature dependence
- total:
-
Total value
- uni:
-
Value based on uniformity
- x :
-
Value based on streamwise distance
- 0:
-
Stagnation condition
- −:
-
Mean component
- \('\) :
-
Fluctuating component
- \(\infty\) :
-
Freestream condition
References
Baccarella D, Liu Q, Passaro A, Lee T, Do H (2016) Development and testing of the ACT-1 experimental facility for hypersonic combustion research. Meas Sci Technol 27(4):045902
Bell JH, Schairer ET, Hand LA, Mehta RD (2001) Surface pressure measurements using luminescent coatings. Annu Rev Fluid Mech 33(1):155–206
Byun G, Simpson RL (2010) Surface-pressure fluctuations from separated flow over an axisymmetric bump. AIAA J 48(10):2397–2405
Cheng T, Deng D, Herman C (2012) Curvature effect quantification for in-vivo IR thermography. In: Proceedings, international mechanical engineering congress and exposition, Vol 2
Chesnakas CJ, Simpson RL (1997) Detailed investigation of the three-dimensional separation about a prolate spheroid. AIAA J 35(6):990–999
Feldhuhn RH, Winkelmann AE, Pasiuk L (1971) An experimental investigation of the flowfield around a yawed cone. AIAA J 9(6):1074–1081
Goody MC (1999) An experimental investigation of pressure fluctuations in three-dimensional turbulent boundary layers. PhD thesis, Department of Aerospace and Ocean Engineering Virginia Polytechnic Institute and State University, Blacksburg, VA
Goody MC, Simpson RL, Chesnakas CJ (1997) Surface pressure fluctuations and pressure-velocity correlations produced by a separated flow around a prolate spheroid at incidence. AIAA paper 97-0485
Goody MC, Simpson RL, Chesnakas CJ (2000) Separated flow surface pressure fluctuations and pressure-velocity correlations on prolate spheroid. AIAA J 38(2):266–274
Gregory JW, Sakaue H, Liu T, Sullivan JP (2014) Fast pressure-sensitive paint for flow and acoustic diagnostics. Annu Rev Fluid Mech 46:303–330
Hangai T, Kameda M, Nakakita K, Asai K (2002) Time response characteristics of pyrene-based pressure-sensitive coatings on anodic porous alumina. In: 10th International symposium on flow visualization (F0269)
InfraTec (2016) Infrared-thermographic camera ImageIR. User Manual
Juliano TJ, Peng D, Jensen C, Gregory J, Liu T, Montefort J, Palluconi S, Crafton J, Fonov S (2011) PSP measurements on an oscillating NACA 0012 airfoil in compressible flow. AIAA paper 2011-3728
Juliano TJ, Adamczak D, Kimmel RL (2014) HIFiRE-5 flight test heating analysis. AIAA paper 2014-0076
Juliano TJ, Kimmel RL, Willems S, Gülhan A, Wagnild RM (2015) HIFiRE-1 boundary-layer transition: ground test results and stability analysis. AIAA paper 2015-1736
Kameda M, Tezuka N, Hangai T, Nakakita K, Amao Y (2004) Adsorptive pressure-sensitive coatings on porous anodized aluminium. Meas Sci Technol 15(3):489–500
Kavandi JL, Callis JB, Gouterman MP, Khalil G, Wright D, Green E, Burns D, Mclachlan B (1990) Luminescent barometry in wind tunnels. Rev Sci Instrum 61(11):3340–3347
Kline SJ, McClintock FA (1953) Describing uncertainties in single-sample experiments. Mech Eng 75(1):3–8
Lemmon EW, Jacobsen RT (2004) Viscosity and thermal conductivity equations for nitrogen, oxygen, argon, and air. Int J Thermophys 25(1):21–69
Li F, Choudhari M, Chang CL, White J, Kimmel R, Adamczak D, Borg M, Stanfield S, Smith M (2012) Stability analysis for HIFiRE experiments. AIAA paper 2012-2961
Liu T, Sullivan JP (2005) Pressure and temperature sensitive paints, 1st edn. Springer, New York
Liu T, Campbell B, Bruns S, Sullivan JP (1997) Temperature- and pressure-sensitive luminescent paints in aerodynamics. Appl Mech Rev 50(4):227–246
Liu T, Guille M, Sullivan JP (2001) Accuracy of pressure sensitive paint. AIAA J 39(1):103–112
Morita K, Suzuki K, Imamura O, Sakaue H (2011) Temperature-cancelled anodized-aluminum pressure sensitive paint for hypersonic wind tunnel application. AIAA paper 2011-3724
Numata D, Fujii S, Nagai H, Asai K (2017) Ultrafast-response anodized-aluminum pressure-sensitive paints for unsteady flow measurement. AIAA J 55(4):1118–1125
Rainbird WJ (1968) Turbulent boundary-layer growth and separation on a yawed cone. AIAA J 6(12):2410–2416
Reda DC (2002) Review and synthesis of roughness-dominated transition correlations for reentry applications. J Spacecr Rock 39(2):161–167
Running CL (2018) Hypersonic boundary-layer separation measurements. Master’s thesis, University of Notre Dame
Running CL, Thompson MJ, Juliano TJ, Sakaue H (2017) Boundary-layer separation detection for a cone at high angle of attack in Mach 4.5 flow with pressure-sensitive paint. AIAA paper 2017-3120
Sakaue H (2005) Luminophore application method of anodized aluminum pressure sensitive paint as a fast responding global pressure sensor. Rev Sci Instrum 76(8):084101
Sakaue H, Ishii K (2010) A dipping duration study for optimization of anodized-aluminum pressure-sensitive paint. Sensors 10(11):9799–9807
Sakaue H, Ishii K (2010) Optimization of anodized-aluminum pressure-sensitive paint by controlling luminophore concentration. Sensors 10(7):6836–6847
Sakaue H, Sullivan JP (2001) Time response of anodized aluminum pressure-sensitive paint. AIAA J 39(10):1944–1949
Sakaue H, Matsumura S, Schneider SP, Sullivan JP (2002) Anodized aluminum pressure sensitive paint for short duration testing. AIAA paper 2002–2908
Stanfield SA, Kimmel RL, Adamczak D, Juliano TJ (2015) Boundary-layer transition experiment during reentry of HIFiRE-1. J Spacecr Rock 52(3):637–649
Stern O, Volmer M (1919) Uber die abklingungszeit der fluoresznez. Phys Z 20:183–188
Stetson KF (1972) Boundary-layer separation on slender cones at angle of attack. AIAA J 10(5):642–648
Tracy RR (1963) Hypersonic flow over a yawed circular cone. PhD thesis, California Institute of Technology, Pasadena, CA
Wetzel TG, Simpson RL, Chesnakas CJ (1998) Measurement of three-dimensional crossflow separation. AIAA J 36(4):557–564
Willems S, Gülhan A, Juliano TJ, Kimmel RL, Schneider SP (2014) Laminar to turbulent transition on the HIFiRE-1 cone at Mach 7 and high angle of attack. AIAA paper 2014-0428
Wylie S, Doherty L, McGilvray M (2018) Commissioning of the Oxford high density tunnel (HDT) for boundary layer instability measurements at Mach 7. AIAA paper 2018-3074
Acknowledgements
The authors would like to thank Prof. Sergey Leonov and Prof. Seong-Kyun Im for allowing access to their jointly operated ACT-1 wind-tunnel facility. In addition, thanks goes out to Notre Dame undergraduate research assistants E. Farnan and Michael Thompson for their work investigating anodization techniques and developing the image mapping technique, respectively. Notre Dame graduate research assistants Harrison Yates and Daiki Kurihara assisted with the surface roughness and frequency response measurements, respectively.
Author information
Authors and Affiliations
Corresponding author
Additional information
Publisher’s Note
Springer Nature remains neutral with regard to jurisdictional claims in published maps and institutional affiliations.
Rights and permissions
About this article
Cite this article
Running, C.L., Sakaue, H. & Juliano, T.J. Hypersonic boundary-layer separation detection with pressure-sensitive paint for a cone at high angle of attack. Exp Fluids 60, 23 (2019). https://doi.org/10.1007/s00348-018-2665-2
Received:
Revised:
Accepted:
Published:
DOI: https://doi.org/10.1007/s00348-018-2665-2