Skip to main content

Bestimmung der Konzentrationsverteilung des Makulapigmentes aus Reflexions- und Fluoreszenzaufnahmen

Zusammenfassung

Zielstellung

Das Makulapigment Xanthophyll schützt die Makula einerseits durch die Absorption kurzwelliger energiereicher Strahlung und anderseits durch seine Fähigkeit, freie Radikale zu binden. Eine geringe Konzentration von Xanthophyll in der Makula kann deshalb als ein möglicher Risikofaktor für die Erkrankung an altersbedingter Makuladegeneration (AMD) gelten. Die vorliegende Arbeit untersucht deshalb ein einfaches, für ein Screening geeignetes Verfahren der Bestimmung der Konzentration des Xanthophylls.

Methode

An 18 gesunden Probanden (mittleres Alter: 23,9 Jahre) wurde die örtliche Verteilung der optischen Dichte proportionalen Xanthophyllkonzentration aus monochromatischen Fundusfotografien im blauen Spektralbereich sowie aus Autofluoreszenzaufnahmen bestimmt. Die Aussagefähigkeit der Parameter Gesamtkonzentration, maximale und mittlere Konzentration wurden verglichen.

Ergebnis

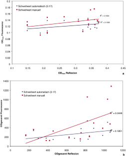
Im Mittel über alle Probanden wurde in guter Übereinstimmung mit der Literatur eine maximale optische Dichte des Makulapigmentes von 0,29±0,08 aus den Reflexionsaufnahmen bestimmt. Zur Einschätzung des globalen Xanthophyll-Status eines Patienten scheint jedoch die mit der Maximalkonzentration korrelierende Gesamtkonzentration geeigneter zu sein. Die geringe Intensität der Autofluoreszenzaufnahmen lässt diese als zur Bestimmung der Xanthophyllkonzentration weniger geeignet erscheinen.

Schlussfolgerung

Das hier verwendete Verfahren der Auswertung von Fundusaufnahmen zur Bestimmung der Xanthophyllkonzentration zeichnet sich durch besondere Einfachheit aus. Die Messung ist mit der Funduskamera durchführbar und kommt somit als Screeningverfahren in Betracht.

Abstract

Objective

The macular pigment xanthophyll protects the macula in two ways: firstly, it absorbs hazardous blue light and secondly, it acts as a radical scavenger. A low concentration of xanthophyll may be regarded as a risk factor for age-related macular degeneration (AMD). Therefore, we investigated a simple method to determine the xanthophyll concentration at the fundus which is suitable for patient screening.

Method

The local distribution of xanthophyll density was determined from monochromatic blue reflection images and autofluorescence images of the fundus in 18 healthy volunteers (mean age: 23.9 years). The significance of the parameters maximal, global, and mean concentration were compared.

Results

The maximal optical density of xanthophyll determined from reflection images was found to be 0.29±0.08 (mean for all test persons) which is in good agreement with literature data. The total xanthophyll concentration which is proportional to the maximal density, appeared to be appropriate to describe a person's overall xanthophyll status. Because of the low intensity of autofluorescence images, these are less useful for the determination of the xanthophyll concentration.

Conclusions

Because of it's simplicity, the determination of xanthophyll concentration as described here can be performed by every ophthalmologist using a fundus camera and is, therefore, suitable as a screening method.

This is a preview of subscription content, access via your institution.

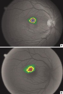
Abb. 1a,b.
Abb. 2a,b.
Abb. 3a,b.
Abb. 4a,b.

Literatur

  1. Alexander KR, Kilbride PE, Fishman GA, Fishman M (1987) Macular pigment and reduced foveal short wavelength sensitivity in retinitis pigmentosa. Vision Res 27:1077–1083

    Google Scholar 

  2. Berendschot TT, Goldbohm RA, Klopping WA et al. (2000) Influence of lutein supplementation on macular pigment, assessed with two objective techniques. Invest Ophthalmol Vis Sci 41:3322–3326

    Google Scholar 

  3. Bone RA, Landrum JT, Fernandez L, Tarsis SL (1988) Analysis of the macular pigment by HPLC: Retinal Distribution and Age Study. Invest Ophthalmol Vis Sci 29:843–849

    Google Scholar 

  4. Delori FC, Goger DG, Hammond BR et al. (2001) Macular pigment density measured by autofluorescence spectrometry: comparison with reflectometry and heterochromatic flicker photometry. J Opt Soc Am A 18:1212–1229

    Google Scholar 

  5. Delori FC, Pflibsen KP (1989) Spectral reflectance of the human ocular fundus. Appl Opt 28:1061–1077

    Google Scholar 

  6. Elsner AE, Burns SA, Beausencourt E, Weiter JJ (1998) Foveal cone photopigment distribution: small alterations associated with macular pigment distribution. Invest Ophthalmol Vis Sci 39:2394–404

    Google Scholar 

  7. Elsner AE, Burns SA, Delori FC, Webb RH (1990) Quantitative reflectometry with the SLO. Quintessenz, München, S 109–122

  8. Gerster H (1991) Antioxidant protection of the ageing macula. Age Ageing 20:60–69

    Google Scholar 

  9. Hammer M, Schweitzer D, Scibor M (1996) Local resolved spectroscopy at the human ocular fundus in vivo-technique and clinical examples. In: Birngruber R, Fercher AF (eds) Lasers in ophthalmology III. SPIE Proceedings Series 2632:79–90

  10. Hammond BR, Fuld K (1992) Interocular differences in macular pigment density. Invest Ophthalmol Vis Sci 33:350–355

    Google Scholar 

  11. Kilbride PE, Alexander KR, Fishman M, Fishman GA (1989) Human macular pigment assessed by imaging fundus reflectometry. Vision Res 29:663–674

    Google Scholar 

  12. Schalch W, Werner P (1994) Vitamins and carotenoids—a promising approach to reducing the risc of coronary heart disease, cancer, and eye disease. Adv Exp Med Biol 366:335–350

    Google Scholar 

  13. Schweitzer D, Hammer M, Scibor M, Leistritz L (1998) Confocal imaging spectrometry of the human fundus. Lasers Light 8:153–160

    Google Scholar 

  14. Schweitzer D, Lang GE, Beuermann B et al. (2002) Objektive Bestimmung der optischen Dichte von Xanthophyll nach Supplementation von Lutein. Ophthalmologe 99:270–275

    Google Scholar 

  15. Schweitzer D, Leistritz L, Hammer M, Donnerhacke KH (2001) Anordnung und Verfahren zur Bestimmung der zweidimensionalen Verteilung von Funduspigmneten, insbesondere des Makulapigments Xanthophyll. Patent DE 101 29 652

  16. Sommerburg O, Keunen JEE, Bird AC, van Kuijk FJGM (1998) Fruits and vegetables that are sources for lutein and zeaxantin: the macular pigment in human eyes. Br J Ophthalmol 82:907–910

    Google Scholar 

  17. van Norren D, Tiemeijer LF (1986) Spectral reflectance of the human eye. Vision Res 26:313–320

    Google Scholar 

  18. Wyszecki G, Stiles WS (1967) Colour science. John Wiley & Sons, New York

  19. Young RW (1988) Solar radiation and age related macular degeneration. Surv Ophthalmol 32:252–269

    Google Scholar 

Download references

Author information

Affiliations

Authors

Corresponding author

Correspondence to M. Hammer.

Rights and permissions

Reprints and Permissions

About this article

Cite this article

Hammer, M., Schweitzer, D. & Leistritz, L. Bestimmung der Konzentrationsverteilung des Makulapigmentes aus Reflexions- und Fluoreszenzaufnahmen. Ophthalmologe 100, 611–617 (2003). https://doi.org/10.1007/s00347-002-0782-y

Download citation

  • Issue Date:

  • DOI: https://doi.org/10.1007/s00347-002-0782-y

Schlüsselwörter

  • Makulapigment
  • Reflexion
  • Autofluoreszenz
  • Screening

Keywords

  • Macular pigment
  • Reflection
  • Autofluorescence
  • Screening