Abstract
Purpose
White light (WL) is the traditional imaging modality for transurethral resection of bladder tumour (TURBT). IMAGE1S is a likely addition. We compare 18-mo recurrence rates following TURBT using IMAGE1S versus WL guidance.
Methods
Twelve international centers conducted a single-blinded randomized controlled trial. Patients with primary and recurrent non-muscle-invasive bladder cancer (NMIBC) were randomly assigned 1:1 to TURBT guided by IMAGE1S or WL. Eighteen-month recurrence rates and subanalysis for primary/recurrent and risk groups were planned and compared by chi-square tests and survival analyses.
Results
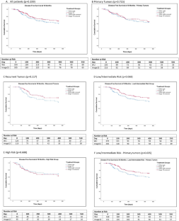
689 patients were randomized for WL-assisted (n = 354) or IMAGE1S-assisted (n = 335) TURBT. Of these, 64.7% had a primary tumor, 35.3% a recurrent tumor, and 4.8%, 69.2% and 26.0% a low-, intermediate-, and high-risk tumor, respectively. Overall, 60 and 65 patients, respectively, completed 18-mo follow-up, with recurrence rates of 31.0% and 25.4%, respectively (p = 0.199). In patients with primary, low-/intermediate-risk tumors, recurrence rates at 18-mo were significantly higher in the WL group compared with the IMAGE1S group (31.9% and 22.3%, respectively: p 0.035). Frequency and severity of adverse events were comparable in both treatment groups. Immediate and adjuvant intravesical instillation therapy did not differ between the groups. Potential limitations included lack of uniformity of surgical resection, central pathology review, and missing data.
Conclusion
There was not difference in the overall recurrence rates between IMAGE1S and WL assistance 18-mo after TURBT in patients with NMIBC. However, IMAGE1S-assisted TURBT considerably reduced the likelihood of disease recurrence in primary, low/intermediate risk patients.
Registration
ClinicalTrials.gov Identifier NCT02252549 (30-09-2014).
This is a preview of subscription content, access via your institution.


References
Fitzmaurice C, Allen C, Barber RM et al (2017) Global, regional, and national cancer incidence, mortality, years of life loss, years lived with disability, and disability adjusted life-years for 32 cancer groups, 1990–2015: a systematic analysis for the Global Burden of Disease Study. JAMA 3:524–548. https://doi.org/10.1001/jamaoncol.2016.5688
Mostafid H, Kamat AM, Daneshmand S et al (2021) Best Practices to optimise quality and outcome of transurethral resection of bladder tumours. Eur Urol Oncol 4:12–19. https://doi.org/10.1016/j.euo.2020.06.010
Babjuk M, Burger M, Comperat EM et al (2019) European Association of urology guidelines on non-muscle-invasive bladder cancer (Ta, T1 and carcinoma In Situ) - 2019 update. Eur Urol 76:639–657. https://doi.org/10.1016/j.eururo.2019.08.016
Ozono S, Hinotsu S, Tabat S et al (2001) Treated natural history of superficial bladder cancer. Jpn J Clin Oncol 31:536–540. https://doi.org/10.1093/jjco/hye114
Jichlinski P, Leisinger H-J (2005) Fluorescence cystoscopy in the management of bladder cancer: a help for the urologist! Urol Int 74:97–101. https://doi.org/10.1159/000083277
Gakis G, Ngamsri T, Rausch S, Mischinger J, Todenhöfer T, Schwentner C, Schmid MA, Hassan FA, Renninger M, Stenzl A (2015) Fluorescence-guided bladder tumour resection: impact on survival after radical cystectomy. World J Urol 33(10):1429–1437. https://doi.org/10.1007/s00345-015-1485-8
Grossman HB, Stenzl A, Fradet Y, Mynderse LA, Kriegmair M, Witjes JA, Soloway MS, Karl A, Burger M (2012) Long-term decrease in bladder cancer recurrence with hexaminolevulinate enabled fluorescence cystoscopy. J Urol 188(1):58–62. https://doi.org/10.1016/j.juro.2012.03.007
Kausch I, Sommerauer M, Montorsi F et al (2010) Photodynamic diagnosis in non-muscle-invasive bladder cancer: a systematic review and cumulative analysis of prospective studies. Eur Urol 57:595–606. https://doi.org/10.1016/j.eururo.2009.11.041
Naito S, Algaba F, Babjuk M et al (2016) The clinical research office of the endourological society (CROES) Multicentre randomised trial of narrow band imaging- assisted transurethral resection of bladder tumour (TURBT) versus conventional white light imaging- assisted TURBT in primary non-muscle-invasive bladder cancer patients: Trial protocol and 1-year results. Eur Urol 70:506–515. https://doi.org/10.1016/j.eururo.2016.03.053
Howard JM, Woldu SL, Daneshmand S, Lotan Y (2021) Enhanced endoscopy with IMAGE1 S chroma improves detection of nonmuscle invasive bladder cancer during transurethral resection. J Endourol 35(5):647–651. https://doi.org/10.1089/end.2020.0821
Kamphuis G, de Bruin D, Fallert J et al (2016) Storz professional image enhancement system: A new technique to improve endoscopic bladder imaging. J Cancer Sci Ther 8(3):71–77. https://doi.org/10.4172/1948-5956.1000394
Kamphuis GM, de Bruin DM, Brandt MJ et al (2016) Comparing image perception of bladder tumors in four different storz professional image enhancement system (SPIES) modalities using the iSPIES app. J Endourol 30:602–608. https://doi.org/10.1089/end.2015.0687
Dindo D, Demartines N, Clavien PA (2004) Classification of surgical complications: a new proposal with evaluation in a cohort of 6336 patients and results of a survey. Ann Surg 240:205–213. https://doi.org/10.1097/01.sla.0000133083.54934.ae
Common Terminology Criteria for Adverse Events v3.0. (CTCAE). National Cancer Institute Cancer Therapy Evaluation Program Web site. http://ctep.cancer.gov/protocolDevelopment/electronic_applications/docs/ctcaev3.pdf
Sylvester RJ, van der Meijden AP, Oosterlinck W et al (2006) Predicting recurrence and progression in individual patients with stage Ta T1 bladder cancer using EORTC risk tables: a combined analysis of 2596 patients from seven EORTC trials. Eur Urol 49:466–477. https://doi.org/10.1016/j.eururo.2005.12.031
Witjes JA (2020) Follow-up in non-muscle invasive bladder cancer: facts and future. WJU. https://doi.org/10.1007/s00345-020-03569-2
Todenhöfer T, Lodde M, van Kessel K et al (2020) Urinary-based markers for bladder cancer detection. Soc Int Urol J 1(1):49–61
Miyaka M, Nishimura N, Nakai Y et al (2021) Photodynamic diagnosis-assisted transurethral resection using oral 5-aminolevulinic acid decreases the risk of repeated recurrence in non-muscle-invasive bladder cancer: a cumulative incidence analysis by the Person-Time method. Diagnostics 11:185–194. https://doi.org/10.3390/diagnostics11020185
Stenzl A, Burger M, Fradet Y, Mynderse LA, Soloway MS, Witjes JA, Kreigmair M, Karl A, Shen Y, Grossmann HB (2010) Hexaminolevulinate guided fluorescence cystoscopy reduces recurrence in patients with nonmuscle invasive bladder cancer. J Urol 184(5):1907–1913. https://doi.org/10.1016/j.juro.2010.06.148
Naselli A, Introini C, Timossi L et al (2012) A randomized prospective trial to assess the impact of transurethral resection in narrow band imaging modality on non-muscle-invasive bladder cancer recurrence. Eur Urol 61:908–913. https://doi.org/10.1016/j.eururo.2012.01.018
Acknowledgements
The authors acknowledge AUA Data Management and Statistical Analysis providing statistical support for the analyses reported in this manuscript. The work of Dr. Estefania Linares-Espinós and Dr. Carlos R. Trelles Guzmán was supported by grants from Madrid Regional Government ‘Immunothercan’ [B2017/BMD-3733-2]
Funding
The study was funded by the Karl Storz company through an unrestricted educational grant to the CROES.
Author information
Authors and Affiliations
Contributions
JR: Protocol/project development, data collection or management, data analysis, manuscript writing/editing. AM: Protocol/project development, data collection or management. RH: Data collection or management. GF: Data collection or management. CM: Protocol/project development, data collection or management. MCO: Protocol/project development, data collection or management. AS: Protocol/project development, data collection or management, Manuscript writing/editing. ELE: Data collection or management. CRTG: Data collection or management. SG: Protocol/project development, data collection or management. TK: Protocol/project development, data collection or management. MYB: Data collection or management. TH: Protocol/project development, data collection or management. PL: Protocol/project development, data collection or management, manuscript writing/editing.
Corresponding author
Ethics declarations
Conflict of interest
Jean de la Rosette: none, Pilar Laguna: none, Thomas Herrmann: Company Consultant, Honoraria, Stipendium, Research Collaboration and Grant—Karl Storz; Advisory board, honoraria—Boston Scientific; Advisory, Research Collaboration, Honoraria—Lisa Laser GmbH, Alexey Martov: none, Charalampos Mamoulakis: none, Thomas Knoll: Speaker/Advisor Karl Storz Endoscopes—Manuel Castanheira de Oliveira: none, Mustafa Yucel Boz: none, Stavros Gravas: none, Linares-Espinós: none, Trelles Guzmán: none, Arnulf Stenzl: Ad Board/Consultant, Ipsen Pharma, Roche; Ad Board/Consultant, Janssen; Ad Board/Synergo; Ad Board/Ferring; Ad Board/Astellas; Ad Board/AstraZeneca; Institution Research grant, Amgen Inc; Institution Research grant, Ipsen Pharma; Institution Research grant, Karl Storz AG.
Research involving human participants and/or animals
The trial was registered at ClinicalTrials.gov (Identifier NCT02252549). The trial was approved by the ethics committee of the Amsterdam UMC (NL50451.018.14), University of Amsterdam, Amsterdam, the Netherlands.
Informed consent
The trial was performed in accordance to the Declaration of Helsinki. Patients were included after information and signing of the informed consent form.
Additional information
Publisher's Note
Springer Nature remains neutral with regard to jurisdictional claims in published maps and institutional affiliations.
Supplementary Information
Below is the link to the electronic supplementary material.
Rights and permissions
About this article
Cite this article
de la Rosette, J., Martov, A., Hurle, R. et al. Conventional white light imaging-assisted transurethral resection of bladder tumour (TURBT) versus IMAGE1S-assisted TURBT in non-muscle-invasive bladder cancer patients: trial protocol and 18 months results. World J Urol 40, 727–738 (2022). https://doi.org/10.1007/s00345-021-03866-4
Received:
Accepted:
Published:
Issue Date:
DOI: https://doi.org/10.1007/s00345-021-03866-4
Keywords
- Image 1S imaging
- White light imaging
- Tumour recurrence
- Transurethral resection of bladder tumour
- Non-muscle-invasive bladder