Skip to main content

Utility of the EORTC risk tables and CUETO scoring model for predicting recurrence and progression in non-muscle-invasive bladder cancer patients treated with routine second transurethral resection

Abstract

Purpose

Routine second transurethral resection (TUR) for non-muscle-invasive bladder cancer (NMIBC) is common practice in Germany. Applicability of European Organization for Research and Treatment of Cancer (EORTC) and Spanish Urological Club for Oncological Treatment (CUETO) models in NMIBC patients is still controversial. Aim of the study was to assess the performance of EORTC and CUETO predictive models in NMIBC patients treated with second TUR.

Methods

479 NMIBC patients with routine second TUR were analyzed retrospectively between 2003 and 2011, and investigated with clinical and pathological variables in regard to tumor recurrence and progression. Furthermore, recurrencefree survival (RFS) and progression-free survival (PFS) were evaluated according to EORTC and CUETO, and the discrimination of the models assessed.

Results

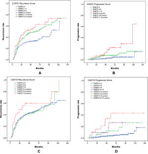
With a median follow-up of 60 months, prior recurrence rate, grade, and second TUR pathology were independent prognostic factors for the risk of disease recurrence and progression. The concordance index of the EORTC and the CUETO model was 0.563 and 0.516 for recurrence and 0.681 and 0.702 for progression, respectively. The positive pathology after second TUR was significantly associated with risk of disease recurrence and progression. EORTC and CUETO risk models estimated progression better than recurrence, especially with higherscore groups.

Conclusions

Improved predictive tools should be developed for optimal treatment selection.

This is a preview of subscription content, access via your institution.

Fig. 1

References

  1. Sievert KD, Amend B, Nagele U, Schilling D, Bedke J, Horstmann M et al (2009) Economic aspects of bladder cancer: what are the benefits and costs? World J Urol 27(3):295–300. https://doi.org/10.1007/s00345-009-0395-z

    CAS  Article  PubMed  PubMed Central  Google Scholar 

  2. Babjuk M, Böhle A, Burger M, Capoun O, Cohen D, Compérat EM et al (2016) EAU guidelines on non-muscle-invasive urothelial carcinoma of the bladder: update 2016. Eur Urol 71(3):447–461. https://doi.org/10.1016/j.eururo.2016.05.041

    Article  PubMed  Google Scholar 

  3. Dobruch J, Borówka A, Herr HW (2014) Clinical value of transurethral second resection of bladder tumour: systematic review. Urology 84(4):881–885. https://doi.org/10.1016/j.urology.2014.06.005

    Article  PubMed  Google Scholar 

  4. Guevara A, Salomon L, Allory Y, Ploussard G, de la Taille A, Paul A et al (2010) The role of tumour-free status in repeat resection before intravesical BCG for high grade Ta, T1 and CIS bladder cancer. J Urol 183(6):2161–2164. https://doi.org/10.1016/j.juro.2010.02.026

    Article  PubMed  Google Scholar 

  5. Herr HW (2011) Role of re-resection in non-muscle invasive bladder cancer. Sci World J 11:283–288. https://doi.org/10.1100/tsw.2011.29

    Article  Google Scholar 

  6. Sylvester RJ, van der Meijden AP, Oosterlinck W, Witjes JA, Bouffioux C, Denis L et al (2006) Predicting recurrence and progression in individual patients with stage Ta T1 bladder cancer using eortc risk tables: a combined analysis of 2596 patients from seven EORTC trials. Eur Urol 49(3):466–477. https://doi.org/10.1016/j.eururo.2005.12.031

    Article  PubMed  Google Scholar 

  7. Fernandez-Gomez J, Madero R, Solsona E, Unda M, Martinez-Piñeiro L, Gonzalez M et al (2009) Predicting nonmuscle invasive bladder cancer recurrence and progression in patients treated with Bacillus Calmette-Guerin: the Cueto Scoring Model. J Urol 182(5):2195–2203. https://doi.org/10.1016/j.juro.2009.07.016

    Article  PubMed  Google Scholar 

  8. Kohjimoto Y, Kusumoto H, Nishizawa S, Kikkawa K, Kodama Y, Ko M et al (2014) External validation of European Organization for Research and Treatment of Cancer and Spanish Urological Club for Oncological Treatment scoring models to predict recurrence and progression in Japanese patients with non-muscle invasive bladder cancer treated with bacillus Calmette-Guérin. Int J Urol 21(12):1201–1207. https://doi.org/10.1111/iju.12572

    Article  PubMed  Google Scholar 

  9. Burger M, Catto JW, Dalbagni G, Grossman HB, Herr H, Karakiewicz P, Kassouf W, Kiemeney LA, La Vecchia C, Shariat S, Lotan Y (2013) Epidemiology and risk factors of urothelial bladder cancer. Eur Urol. 63:234–241. https://doi.org/10.1016/j.eururo.2012.07.033

    Article  PubMed  Google Scholar 

  10. Burger M, Catto JW, Dalbagni G, Grossman HB, Herr H, Karakiewicz P et al (2009) Safety of active surveillance program for recurrent non-muscle-invasive bladder carcinoma. Urology 73(6):1306–1310. https://doi.org/10.1016/j.urolonc.2015.11.005

    Article  Google Scholar 

  11. Konety BR (2006) Molecular markers in bladder cancer: a critical appraisal. Urol Oncol 24(4):326–327. https://doi.org/10.1016/j.urolonc.2005.11.023

    CAS  Article  PubMed  Google Scholar 

  12. Baltacı S, Bozlu M, Yıldırım A, Gökçe Mİ, Tinay İ, Aslan G et al (2015) Significance of the interval between first and second transurethral resection on recurrence and progression rates in patients with high-risk non-muscle-invasive bladder cancer treated with maintenance intravesical Bacillus Calmette-Guérin. BJU Int 116(5):721–726. https://doi.org/10.1111/bju.13102

    Article  PubMed  Google Scholar 

  13. Babjuk M (2010) Second resection for non-muscle-invasive bladder carcinoma: current role and future perspectives. Eur Urol 58(2):191–192. https://doi.org/10.1016/j.eururo.2010.04.019

    Article  PubMed  Google Scholar 

  14. Hernández V, De La Peña E, Martin MD, Blázquez C, Diaz FJ, Llorente C (2011) External validation and applicability of the EORTC risk tables for non-muscle-invasive bladder cancer. World J Urol 29(4):409–414. https://doi.org/10.1007/s00345-010-0635-2

    Article  PubMed  Google Scholar 

  15. Xylinas E, Kent M, Kluth L, Pycha A, Comploj E, Svatek RS et al (2013) Accuracy of the EORTC risk tables and of the CUETO scoring model to predict outcomes in non-muscle-invasive urothelial carcinoma of the bladder. Br. J. Cancer 109(6):1460–1466. https://doi.org/10.1038/bjc.2013.372

    CAS  Article  PubMed  PubMed Central  Google Scholar 

  16. Ravvaz K, Walz ME, Weissert JA, Downs TM (2017) Predicting nonmuscle invasive bladder cancer recurrence and progression in a United States population. J Urol 198(4):824–831. https://doi.org/10.1016/j.juro.2017.04.077

    Article  PubMed  Google Scholar 

  17. Vedder MM, Márquez M, de Bekker-Grob EW, Calle ML, Dyrskjøt L, Kogevinas M et al (2014) Risk prediction scores for recurrence and progression of non-muscle invasive bladder cancer: an international validation in primary tumours. PLoS ONE 9(6):e96849. https://doi.org/10.1371/journal.pone.0096849

    CAS  Article  PubMed  PubMed Central  Google Scholar 

  18. Seo KW, Kim BH, Park CH, Kim CI, Chang HS (2010) The efficacy of the EORTC scoring system and risk tables for the prediction of recurrence and progression of non-muscle-invasive bladder cancer after intravesical bacillus calmette-guerin instillation. Korean J Urol 51(3):165–170. https://doi.org/10.4111/kju.2010.51.3.165

    Article  PubMed  PubMed Central  Google Scholar 

  19. Xu T, Zhu Z, Zhang X, Wang X, Zhong S, Zhang M et al (2013) Predicting recurrence and progression in Chinese patients with nonmuscle-invasive bladder cancer using EORTC and CUETO scoring models. Urology 82(2):387–393. https://doi.org/10.1016/j.urology.2013.04.007

    Article  PubMed  Google Scholar 

Download references

Acknowledgements

We thank Frau Ulrike Burger in cancer center at Jena University hospital. Special thanks to Dr Birgit Wilski, Dr Christian Knöpfel, Dr Ekkehard Hofmann, Dr Carldieter Bothor, Dr Gerlinde Finke, Dr Matthias Kühnert, Dr Stefan Göckeritz, and Dr Stefan Kowalik, for helping us collect the data of up.

Funding

No.

Author information

Affiliations

Authors

Contributions

Horstmann M,Grimm M–O and Zhang GX designed the research. Zhang GX and Steinbach D collected the data. Zhang GX and Horstmann M wrote the draft of the manuscript and performed the statistic works. Zhang GX, Horstmann M and Grimm M–O analyzed and interpreted the data. Horstmann M and Grimm M–O reviewed the article and made suggestions for revision. All authors reviewed the manuscript.

Corresponding author

Correspondence to Guoxian Zhang.

Additional information

Publisher’s Note

Springer Nature remains neutral with regard to jurisdictional claims in published maps and institutional affiliations.

Rights and permissions

Reprints and Permissions

About this article

Verify currency and authenticity via CrossMark

Cite this article

Zhang, G., Steinbach, D., Grimm, MO. et al. Utility of the EORTC risk tables and CUETO scoring model for predicting recurrence and progression in non-muscle-invasive bladder cancer patients treated with routine second transurethral resection. World J Urol 37, 2699–2705 (2019). https://doi.org/10.1007/s00345-019-02681-2

Download citation

  • Received:

  • Accepted:

  • Published:

  • Issue Date:

  • DOI: https://doi.org/10.1007/s00345-019-02681-2

Keywords

  • Second TUR
  • EORTC
  • CUETO
  • Recurrence
  • Progression
  • Bladder cancer