Abstract
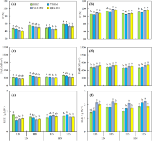
Although increased biomass production and radiation use efficiency (RUE) can effectively improve grain yield, information under nitrogen (N) and density conditions remains limited. A 2-year field experiment was conducted to compare the grain yield, interception percentage (IP), intercepted photosynthetically active radiation (IPAR), and RUE of hybrid rice (varieties: Y-liangyou 900 and Quanliangyou 681) and inbred rice (varieties: Huanghuazhan and Yuenongsimiao) grown under two N and two density treatments. Compared to the inbred varieties, the hybrid varieties had a higher average yield (by 8.1%), spikelets per panicle (by 20.7%), dry matter accumulation (by 15.4%), and IP (by 4.1%) and IPAR (by 10.0%) at the mature stage (MA), but lower IP (by 8.1%) and IPAR (by 14.3%) at the mid-tillering stage (MT). Additionally, the RUE of hybrid rice was 6.5% lower at MT but 19.0% higher at MA than inbred rice. The yield and IP and IPAR of rice were more highly correlated in inbred varieties at MT but were more highly correlated in hybrid varieties at MA. Compared to inbred rice, hybrid rice yield was more strongly correlation with RUE in both MT and MA, and the higher RUE of hybrid rice was due to higher IP and IPAR values. Our study revealed that a higher plant density with reduced N fertilization contributed to early canopy closure, and ultimately a higher biomass production and grain yield in hybrid rice.






Data Availability
All data supporting the conclusions of this manuscript are provided within the manuscript.
References
Acreche MM, Briceño-Félix G, Martín Sanchez JA, Slafer GA (2009) Radiation interception and use efficiency as affected by breeding in mediterranean wheat. Field Crops Res 110:91–97. https://doi.org/10.1016/j.fcr.2008.07.005
Chang S, Chang T, Song Q, Zhu XG, Deng Q (2016) Photosynthetic and agronomic traits of an elite hybrid rice Y-Liang-You 900 with a record-high yield. Field Crops Res 187:49–57. https://doi.org/10.1016/j.fcr.2015.10.011
Cheng SH, Cao LY, Chen SG, Zhu DF, Wang X, Min SK, Zhai HQ (2005) Conception of late-stage vigor super hybrid rice and its biological significance. Chin J Rice Sci 19:280–284. https://doi.org/10.3321/j.issn:1001-7216.2005.03.014
Food and Agriculture Organization (FAO) (2018) FAOSTAT database: agriculture production. http://faostat3.fao.org/. Accessed 5 Oct 2020
Fitzgerald MA, McCouch SR, Hall RD (2009) Not just a grain of rice: the quest for quality. Trends Plant Sci 14:133–139. https://doi.org/10.1016/j.tplants.2008.12.004
Godfray HC, Beddington JR, Crute IR et al (2010) Food security: the challenge of feeding 9 billion people. Science 327:812–818. https://doi.org/10.1126/science.1185383
Hou W, Khan MR, Zhang J, Lu J, Ren T, Cong R, Li X (2019) Nitrogen rate and plant density interaction enhances radiation interception, yield and nitrogen use efficiency of mechanically transplanted rice. Agric Ecosyst Environ 269:183–192. https://doi.org/10.1016/j.agee.2018.10.001
Huang M, Shan SL, Zhou XF, Chen J, Cao F, Jiang L, Zou Y (2016) Leaf photosynthetic performance related to higher radiation use efficiency and grain yield in hybrid rice. Field Crops Res 193:87–93. https://doi.org/10.1016/j.fcr.2016.03.009
Huang M, Chen JN, Cao FB, Zou YB (2017) Increased hill density can compensate for yield loss from reduced nitrogen input in machine-transplanted double-cropped rice. Field Crops Res 221:333–338. https://doi.org/10.1016/j.fcr.2017.06.028
Jiang YH, Xu K, Zhao K et al (2015) Canopy structure and photosynthetic characteristics of Yongyou series of indica-japonica hybrid rice under high-yielding cultivation condition. Acta Agron Sin 41:286–296. https://doi.org/10.3724/SP.J.1006.2015.00286
Katsura K, Maeda SH, Horie T, Shiraiwa T (2007) Analysis of yield attributes and crop physiological traits of Liangyoupeijiu, a hybrid rice recently bred in China. Field Crops Res 103:170–177. https://doi.org/10.1016/j.fcr.2007.06.001
Kiniry JR, McCauley G, Xie Y, Arnold JG (2001) Rice parameters describing crop performance of four U.S. cultivars. Agron J 93:1354–1361. https://doi.org/10.2134/agronj2001.1354
Li DQ, Tang QY, Zhang YB, Qin JQ, Li H, Chen LJ, Yang SH, Zou YB, Peng SB (2012) Effect of nitrogen regimes on grain yield, nitrogen utilization, radiation use efficiency, and sheath blight disease intensity in super hybrid rice. J Integr Agric 11:134–143. https://doi.org/10.1016/S1671-2927(12)60791-3
Li J, Zhang Y, Wu J, Shu Y, Zhou P, Deng Q (2014) Cultivation practices of super high-yielding combination Yliangyou900 with a maximum grain yield of 15.40 t ha−1. Chin J Rice Sci 20:1–4. https://doi.org/10.1016/S2095-3119(16)61561-7
Liu K, Yang R, Lu J, Wang X, Lu B, Tian X, Zhang Y (2019a) Radiation use efficiency and source-sink changes of super hybrid rice under shade stress during grain-filling stage. Agron J 111:1788–1798. https://doi.org/10.2134/agronj2018.10.0662
Liu Y, Li C, Fang BH, Fang Y, Chen K, Zhang Y, Zhang H (2019b) Potential for high yield with increased seedling density and decreased N fertilizer application under seedling-throwing rice cultivation. Sci Rep 9:731. https://doi.org/10.1038/s41598-018-36978-w
Liu K, Yang R, Deng J, Huang L, Wei Z, Ma G, Tian X, Zhang Y (2020) High radiation use efficiency improves yield in the recently developed elite hybrid rice Y-liangyou 900. Field Crops Res 253:107804. https://doi.org/10.1016/j.fcr.2020.107804
Lu J, Wang DY, Liu K, Chu G, Huang L, Tian X, Zhang Y (2020) Inbred varieties outperformed hybrid rice varieties under dense planting with reducing nitrogen. Sci Rep 10:8769. https://doi.org/10.1038/s41598-020-65574-0
Meek DW, Hatfield JL, Howell TA, Idso SB, Reginato RJ (1984) A generalized relationship between photosynthetically active radiation and solar radiation. Agron J 76:939–945. https://doi.org/10.2134/agronj1984.00021962007600060018x
Meng TY, Xu JW, Shao ZB et al (2015) Advantages and their formation characteristics of the highest population productivity of nitrogen fertilization in Japonica/Indica hybrid rice of Yongyou series. Acta Agron Sin 41:1711–1725. https://doi.org/10.3724/SP.J.1006.2015.01711
Mitchell LP, Sheehy JE, Woodward FI (1998) Potential yields and the efficiency of radiation use in rice. IRRI discussion paper series, pp 1–62
Peng SB, Khush GS, Virk P, Tang Q, Zou Y (2008) Progress in ideotype breeding to increase rice yield potential. Field Crops Res 108:32–38. https://doi.org/10.1016/j.fcr.2008.04.001
Sinclair TR, Muchow RC (1999) Radiation use efficiency. Adv Agron 65:215–265. https://doi.org/10.1016/S0065-2113(08)60914-1
Wei HY, Zhang HC, Blumwald E, Li HL, Cheng J, Dai Q, Huo Z, Xu K, Guo B (2016) Different characteristics of high yield formation between inbred japonica super rice and inter-sub-specific hybrid super rice. Field Crops Res 198:179–187
Wu P, Chen TY, Yuan JQ, Huang H, Xing Z, Hu Y, Zhu M, Li D, Liu G, Zhang HC (2019) Effects of interaction between nitrogen application rate and direct-sowing density on yield formation characteristics of rice. Chin J Rice Sci 33:269–281
Xie XB, Shan SL, Wang YM, Cao F, Chen J, Huang M, Zou Y (2019) Dense planting with reducing nitrogen rate increased grain yield and nitrogen use efficiency in two hybrid rice varieties across two light conditions. Field Crops Res 236:24–32. https://doi.org/10.1016/j.fcr.2019.03.010
Yamamoto HK, Iwaya K, Takasu Y (2003) Comparisons of efficiency of solar energy utilization and efficiency of solar energy conversion in high-yielding rice canopies. J Agric Meteorol 59:1–11. https://doi.org/10.2480/agrmet.59.1
Yuan LP (2017) Progress in super-hybrid rice breeding. Crop J 5:100–102. https://doi.org/10.1016/j.cj.2017.02.001
Zeng JM, Cui KH, Huang JL, He F, Peng S (2007) Responses of physio-biochemical properties to N-fertilizer application and its relationship with nitrogen use efficiency in rice (Oryza sativa L.). Acta Agron Sin 33:1168–1176
Zhang YB, Tang QY, Zou YB, Li D, Qin J, Yang S, Chen L, Xia B, Peng S (2009) Yield potential and radiation use efficiency of “super” hybrid rice grown under subtropical conditions. Field Crops Res 114:91–98. https://doi.org/10.1016/j.fcr.2009.07.008
Zhou W, Huang Y, Leng FQ, Lai Z, Ren W, Yang W (2013) Effects of postponing nitrogen applications on leaf senescence of indica hybrid rice. Res Crops 14:357–366
Acknowledgements
We acknowledge the funding provided by the National Key Research and Development Program of China [Nos. 2018YFD0301306 and 2016YFD0300108].
Funding
This work was funded by the National Key Research and Development Program of China [Nos. 2018YFD0301306 and 2016YFD0300108].
Author information
Authors and Affiliations
Contributions
YZ designed the experiments; KL, XX, XF, and JD investigated the traits; JL analyzed the data and wrote the manuscript; and JL, LH, XT, and YZ revised and edited the manuscript. All authors read and approved the final manuscript.
Corresponding author
Ethics declarations
Conflict of interest
The authors declare no conflicts of interest.
Additional information
Handling Editor: Rhonda Peavy.
Publisher's Note
Springer Nature remains neutral with regard to jurisdictional claims in published maps and institutional affiliations.
Supplementary Information
Below is the link to the electronic supplementary material.
Rights and permissions
About this article
Cite this article
Lu, J., Liu, K., Deng, J. et al. Evaluating the Effect of Population Density and the Contribution of Early Canopy Closure to Grain Yield of Hybrid Rice. J Plant Growth Regul 41, 830–839 (2022). https://doi.org/10.1007/s00344-021-10342-1
Received:
Accepted:
Published:
Issue Date:
DOI: https://doi.org/10.1007/s00344-021-10342-1